1. Introduction
The double-slit interference experiment was first done in 1801 by Thomas Young. The modern double-slit experiment, a laser is commonly used as a coherent source. When a laser beam passing through two narrow slits and creates an interference pattern of bright and dark fringes on the screen (see patterns below).

FIG.1. A modern version of Young's double slit experiment, a laser is commonly used as a coherent source.

FIG.2. A laser beam passing through two narrow slits and creates an interference pattern of bright and dark fringes on a distant screen.
We place magnifying glasses between the double-slit and the screen, and when a laser beam passes through the double-slit and magnifying glasses, strange patterns will appear on the screen.
2. Experiment
We placed three magnifying glasses between the double-slit and the screen as in Fig.3.

FIG.3. Three magnifying glasses are placed between the double-slit and the screen..
We rotated magnifying glasses A and B to an angle as in Fig.4, and when a laser beam passing through the double-slit and three magnifying glasses, four curves appeared on the screen of Fig.5.

FIG.4. Magnifying glasses A and B are rotated to an angle.

FIG.5. Comparing Fig.2, straight lines have curved into curves.
We placed three magnifying glasses between the double-slit and the screen as in Fig.6, three magnifying glasses parallel to the screen. When a laser beam passing through the double-slit and three magnifying glasses, some points appear on the screen of Fig.7.

FIG.6. Three magnifying glasses are placed between the double-slit and the screen.

FIG.7. Comparing Fig.2, bright fringes became bright points on the screen, light waves have changed into light particles.
We placed two magnifying glasses between the double-slit and the screen as in Fig.8.

FIG.8. Two magnifying glasses are placed between the double-slit and the screen.
We rotated the magnifying glass A to an angle as in Fig.9, and when a laser beam passing through the double-slit and two magnifying glasses, strange patterns appeared on the screen of Fig.10.

FIG.9. The magnifying glass A is rotated to an angle.

FIG.10. Comparing Fig.2, bright fringes became two strange patterns on the screen.
3. Conclusion and Analysis
When a laser beam passes through the double-slit, an original pattern create on the screen. If we place magnifying glasses between the double-slit and the screen, and rotate magnifying glasses to an angle, and when a laser beam passes through the double-slit and magnifying glasses, the original pattern on the screen is changed.
Why does light exhibit strange phenomena when passing through magnifying glasses? Let's analyze the reason below.
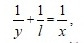
For the convenience of calculation, we combine the three magnifying glasses into one lens. The path of the light P passing through the lens equation

where l = distance from the light to the lens, y = distance from the lens to the image, and
x = length of the focus of the lens, as shown in Fig.11.

FIG.11. This is a hypothetical diagram of the optical path.
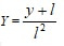
Let us calculate y
(1)
or
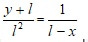
(2)
Because three magnifying glasses are combined into one lens, the magnifying glasses are rotated, and the focal length of the lens changes, thus x is a variable, whereas l is a constant.
Let
, X = l – x,
then Eq(2) is transformed into

this is an Equilateral_hyperbola, as shown in Fig.12.

FIG.12. This is a diagram of the Equilateral_hyperbola.
The orbit of the light_particle is an Equilateral_hyperbola. The combined trajectories of these light_particles, when projected onto the screen, form complex images.
4. Suggestion
If we replace the laser source with an electron emission instrument in the above experiment, and when electrons pass through the double-slit and magnifying glasses, what pattern will be created on the screen? I don’t have an electron emission instrument, so I can't do this experiment. Research workers who have an electron emission instrument able to do this experiment, there will be new discoveries.
References
1. David Halliday, Robert Resnick, and Kenneth S.Krane, Physics,
John Wiley & Sons, Inc. New York (1992), pp. 947–968.
2. Claus Jönsson, “Elektroneninterferenzen an mehreren künstich hergestellten Feinspalten,”
Zeitschrift für Physik 161, 454–474 (1961).
3. P. G. Merli, G. F. Missiroli, and G. Pozzi, “On the statistical aspect of electron interference phenomena,” American Journal of Physics 44, 306–307 (1976).
Tao Tang
Email: TangTao-xw-yn@outlook.com
https://orcid.org/0009-0001-9619-0042
The preprint of paper posted in <Optica Open>:
https://doi.org/10.1364/opticaopen.30244783
Please sign in or register for FREE
If you are a registered user on Research Communities by Springer Nature, please sign in