A cytopenic phenotype has differential prognostic impact in prefibrotic vs overt primary myelofibrosis

Published in Cancer

A cytopenic phenotype has differential prognostic impact in prefibrotic vs overt primary myelofibrosis
Like

Share this post

Choose a social network to share with, or copy the URL to share elsewhere

This is a representation of how your post may appear on social media. The actual post will vary between social networks

Where did we start?

Classical Philadelphia-negative myeloproliferative neoplasms (MPNs) are clonal hematopoietic stem cell-derived disorders characterized by dysregulation of myeloid proliferation and differentiation secondary to the acquisition of somatic mutations in driver genes (i.e., JAK2, CALR, MPL)1. Compared to polycythemia vera (PV) and essential thrombocythemia (ET), primary myelofibrosis (PMF) is characterized by greater biologic and clinical heterogeneity. An exemplary point is the distinction between prefibrotic/early (pre-PMF) and overt PMF, that has been formally delineated in the 2016 revision to the World Health Organization (WHO) classification of myeloid neoplasms1.

Cytopenias are among the most frequent and distinctive features of PMF. Anemia is by far the most characteristic and has consistently been associated with impairment of quality-of-life and shortened survival; therefore, anemia is an integral component of several prognostic models (IPSS, DIPSS/-plus MIPSS70/-plus)2-5. Albeit less frequent, also thrombocytopenia was included in the DIPSS-plus and MIPSS70/-plus scores as independent predictor of reduced survival4,5. Leukopenia is the least frequent and has been inconsistently associated with inferior survival.

Overall, the balance between myeloproliferative and myelodysplastic traits in PMF results in two main clinical phenotypes that are characterized by distinct presentations: the proliferative phenotype, that exhibits features of myeloproliferation including elevated cell counts, mainly leukocytes and platelets; and the cytopenic phenotype, that is marked by myelodysplastic traits such as cytopenias involving one or more hematopoietic lineages6,7.

What did we do?

This study was prompted by the following considerations: the cytopenic phenotype has been largely associated with poor prognosis; however, it was never strictly defined, cytopenias have been usually considered individually, and PMF subtypes have never been analyzed separately. Therefore, we aimed at investigating the phenotypic and prognostic correlates of a cytopenic phenotype with a specific focus on the distinction between pre-PMF and overt PMF. We studied 431 consecutive patients with WHO-defined PMF referring to the CRIMM (Center for Research and Innovation of Myeloproliferative Neoplasms, Florence, Italy). The study cohort included 216 (50%) pre-PMF and 215 (50%) overt PMF. A cytopenic phenotype was defined by the presence of at least one cytopenia, whereas patients not included in the cytopenic group were considered as having a proliferative phenotype.

What did we find?

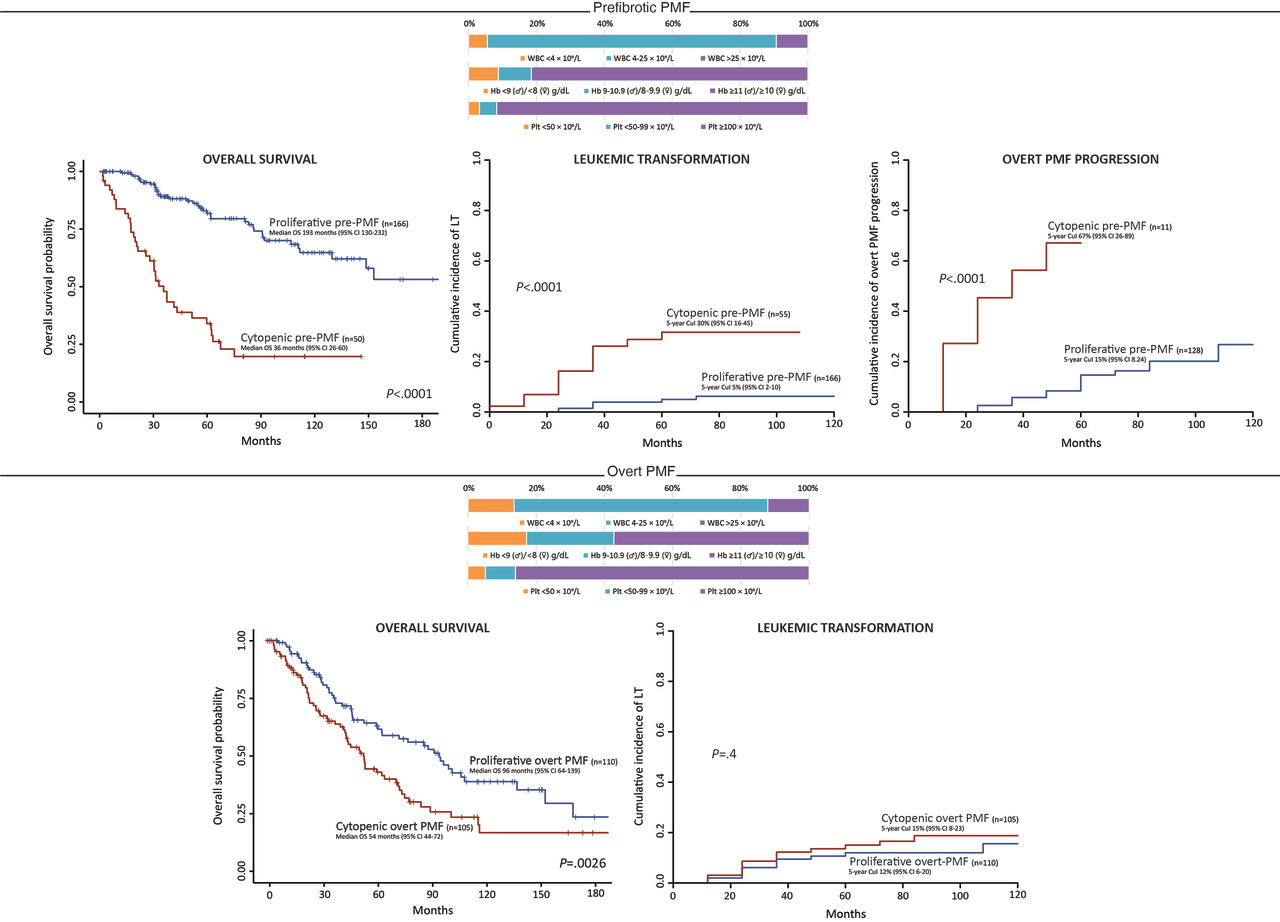
In pre-PMF,  a cytopenic phenotype was identified in 50 (23%) patients and was associated with male gender, older age, higher peripheral blood blasts, and higher prevalence of splenomegaly, hepatomegaly, constitutional symptoms, and bone marrow fibrosis grade 1. Pre-PMF patients with cytopenic phenotype were more likely to be JAK2-unmutated and triple negative, while among non-driver mutations the cytopenic group was enriched in mutations in ASXL1, N/KRAS, U2AF1, RUNX1, SETBP1, and CUX1. In univariate analysis, pre-PMF patients with cytopenic phenotype had a remarkably inferior overall survival (OS) compared to their proliferative counterpart, with median of 36 and 193 months, respectively. After competing risk analysis, the 5-year cumulative incidence of leukemic transformation was significantly higher in cytopenic patients compared to their proliferative counterparts (30% vs 5%, respectively). Finally, we aimed at assessing whether the risk of progression to overt PMF was affected by cytopenic traits. Among 139 (64%) informative patients, 32 (23%) progressed to overtly fibrotic phase. A cytopenic phenotype was associated with a significantly shorter fibrotic progression-free survival compared the proliferative counterpart (median 33 vs 193 months, respectively). Accordingly, in competing risk analysis the 5-year cumulative incidence of overt PMF progression was significantly higher in pre-PMF patients with cytopenic phenotype compared to their proliferative counterparts (67% vs 15%, respectively). Of note, anemia and thrombocytopenia were significantly more prevalent among pre-PMF patients who progressed to overt-PMF within 5 years from diagnosis (respectively: 26% vs 3%; 16% vs 0%).

In the overt PMF cohort, a cytopenic phenotype was found in 105 (49%) patients and was associated with older age, higher prevalence of BM fibrosis grade 3, lower JAK2 mutant burden, TN status, and U2AF1 mutations. The OS of patients with cytopenic phenotype was significantly shorter compared to the proliferative group (median 54 vs 96 months, respectively). ). Patients harboring ≥2 cytopenias had an inferior OS compared to patients with one sole cytopenia (median 43 vs 64 months, respectively). Remarkably, a severe CP was associated with significantly inferior OS compared to patients with not-severe cytopenias , with median of 28 and 72 months, respectively. After competing risk analysis, the cumulative incidence of leukemic transformation was not statistically different among cytopenic and proliferative patients, with 5-year rates of 15% and 12%, respectively.

What are our conclusions?

In this study, we showed that the cytopenic phenotype is associated with distinct high-risk clinical and molecular features, with a higher impact in pre-PMF. In particular, U2AF1 mutations emerged as a distinct abnormality of cytopenic phenotype, reinforcing their contribution to ineffective hematopoiesis8,9. A cytopenic phenotype is associated with inferior overall survival in both PMF subtypes, and with a higher risk of leukemic transformation in pre-PMF. Of note, we highlighted that a cytopenic phenotype is an important risk factor for fibrotic progression in patients with pre-PMF. Despite the limitations associated with its arbitrary definition, identification of the cytopenic phenotype is straightforward, does not require invasive or advanced technologies and, above all, can be performed longitudinally.

What is next?

Cytopenias represent a significant challenge in the contemporary management of PMF. Currently, there are few agents aimed at treating cytopenic PMF, and development of new agents specifically tailored to this patient population remains an unmet need. The association with U2AF1 mutations may prompt the study of splicing modulators9.

References

1   Arber DA, Orazi A, Hasserjian R, et al. The 2016 revision to the World Health Organization (WHO) classification of myeloid neoplasms and acute leukemia. Blood. 2016:blood-2016-2003-643544.

2   Cervantes F, Dupriez B, Pereira A, Passamonti F, Reilly JT, Morra E, et al. New prognostic scoring system for primary myelofibrosis based on a study of the International Working Group for Myelofibrosis Research and Treatment. Blood. 2009;113(13):2895-901.

3   Passamonti F, Cervantes F, Vannucchi AM, Morra E, Rumi E, Pereira A, et al. A dynamic prognostic model to predict survival in primary myelofibrosis: a study by the IWG-MRT (International Working Group for Myeloproliferative Neoplasms Research and Treatment). Blood. 2010;115(9):1703-8.

4   Gangat N, Caramazza D, Vaidya R, George G, Begna K, Schwager S, et al. DIPSS plus: a refined Dynamic International Prognostic Scoring System for primary myelofibrosis that incorporates prognostic information from karyotype, platelet count, and transfusion status. Journal of Clinical Oncology. 2010;29(4):392-7.

5   Guglielmelli P, Lasho TL, Rotunno G, Mudireddy M, Mannarelli C, Nicolosi M, et al. MIPSS70: mutation-enhanced international prognostic score system for transplantation-age patients with primary myelofibrosis. Journal of Clinical Oncology. 2017;36(4):310-8.

6   Vainchenker W, Constantinescu SN, Plo I. Recent advances in understanding myelofibrosis and essential thrombocythemia. F1000Research. 2016;5.

7   Marcellino BK, Verstovsek S, Mascarenhas J. The myelodepletive phenotype in myelofibrosis: clinical relevance and therapeutic implication. Clinical Lymphoma Myeloma and Leukemia. 2020;20(7):415-21.

8   Zhu Y, Song D, Guo J, Jin J, Tao Y, Zhang Z, et al. U2AF1 mutation promotes tumorigenicity through facilitating autophagy flux mediated by FOXO3a activation in myelodysplastic syndromes. Cell death & disease. 2021;12(7):1-12.

9   Biancon G, Joshi P, Zimmer JT, Hunck T, Gao Y, Lessard MD, et al. Multi-omics profiling of U2AF1 mutants dissects pathogenic mechanisms affecting RNA granules in myeloid malignancies. bioRxiv. 2021.

Please sign in or register for FREE

If you are a registered user on Research Communities by Springer Nature, please sign in