A novel age-related gene expression signature associates with proliferation and disease progression in breast cancer
Published in Cancer
Ingebriktsen LM, Wik E
Background
Breast cancer (BC) in young patients (aged <40 years at diagnosis) is reported associated with more aggressive tumor subtypes and adverse prognostic features (1, 2). Relatively few studies have approached the age-dependent BC biology, with the young in focus. Additionally, there are few reports addressing whether the disease outcome affected by age varies across breast cancer subtypes (3). Therefore, in this work, we wanted to sharpen the attention both the age-related BC alterations, adding the molecular subtypes to the perspectives. We asked questions like: Does young breast cancer patient have a unique biology? Can we learn more about the aggressive characteristics seen in young breast cancer by exploring genes differentially expressed between young and older patients? We regarded the differences in molecular subtype distribution as part of the age-related biology and hypothesized that subtype-independent factors contribute to the age-dependent clinico-pathologic phenotypes and clinical course.
The Covid-19 pandemic initiated the story
At Centre for Cancer Biomarkers CCBIO, University of Bergen (Norway), we have established the research group Breast Cancer of The Young – Bergen (BCY-B), headed by Assoc Prof. Elisabeth Wik, aiming to provide diagnostic and prognostic tools to BC patients – the studies being focused on the young. As a pathology-based lab, we primarily apply tissue-based methods in our research projects.
First author of this paper, MSc Lise M. Ingebriktsen, was only a few months into her PhD project when the Covid-19 pandemic started. Due to closed labs and mandatory home office - Lise had to reschedule her lab plans for the first months of the pandemic – a perfect window to dive into large-scale mRNA gene expression analyses of the METABIRC datasets (4), exploring the age-related BC biology.
What we found
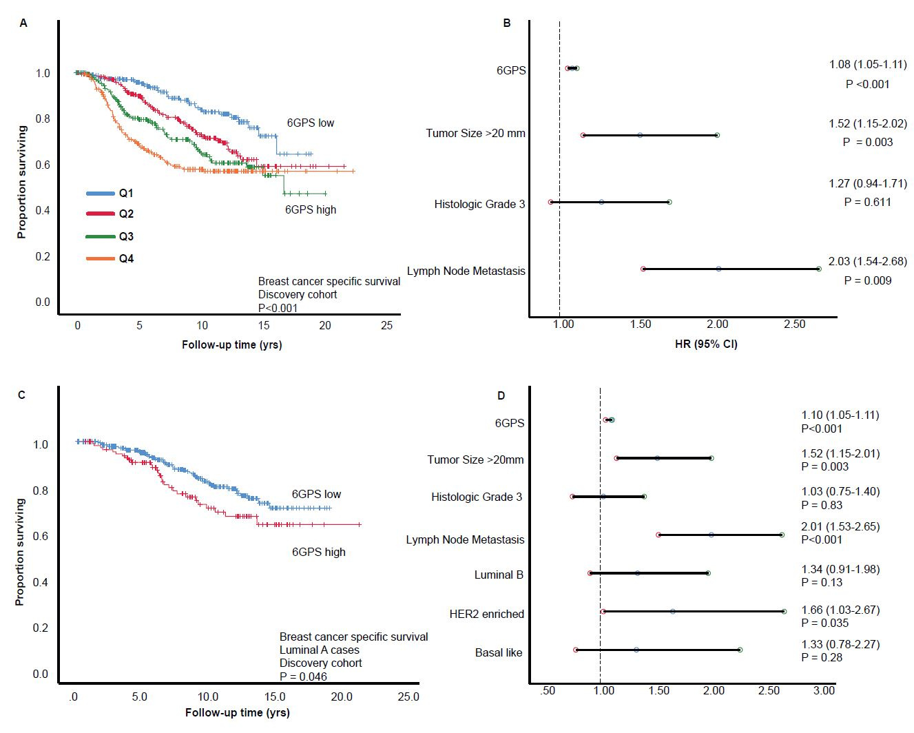
We began our explorative journey by identifying genes differentially expressed in patients aged <40 vs ≥40, comparing the outputs from SAM analysis performed in both METABRIC cohorts, identifying 203 up-regulated and 196 down-regulated genes (DEGs) among the young. With such a list, it is not as easy to draw lines between genes and see the interplay between them, nor to weed out interesting candidate genes that may be worth studying closer. Therefore, we visualized the list of identified DEGs in protein-protein interaction (PPI) network analyses by using Cytoscape. Cytoscape is a tool that makes it easier to see the relationship between the genes, their relevance and interaction. Herein, we performed MCODE analysis and identified sub-clusters within the network. To further explore the functional relationship in our age-related PPI-networks, we applied the CytoHubba app to identify hub genes (highly connected nodes). We thereby identified six genes that were selected for further analysis and assembled to generate an age-related mRNA gene expression signature: CyclinB2 (CCNB2), Cell-division cycle protein 20 (CDC20), Budding uninhibited by benzimidazoles 1 (BUB1), Ubiquitin-conjugating enzyme E2C (UBE2C), Cyclin-dependent kinase 1 (CDK1), and Aurora Kinase A (AURKA). All six signature genes were known to be strongly related to proliferation – the signature was established as the 6 Gene Proliferation Score (6GPS), with a strong prognostic value in BC (Figure 1).
When we analyzed gene sets differentially enriched in BC from patients <40 years at time of diagnosis (GSEA; MsigDB (5)), signatures reflecting proliferation were repeatedly enriched in BC of the young. These findings were supported when we employed the Cytoscape App BiNGO (20), to assess the overrepresentation of gene ontology categories (GO/biological processes) within the identified up-regulated PPI-based network in BC of the young. Adding to this, BiNGO analyses demonstrated enrichment of GO categories reflecting cell cycle activation, mitotic activity, and cell proliferation. Taken together, our multi-view approaches to interpretation of gene expression patterns in BC of the young jointly and strongly supported increased tumor cell proliferation in young compared to older BC patients.
Our knowledge about breast cancer is mainly based on studies in older women (aged >50 years at diagnosis), whereas young women are underrepresented in BC studies assessing risk-stratification models and molecular tools. Commercially available genomic tests (e.g., Oncotype Dx, MammaPrint, Prosigna) have been developed and validated in large cohorts comprising few or no BC patients aged ≤40 years at diagnosis. Based on this, we compared our recent discovery, 6GPS, with the 21-gene signature Oncotype Dx. We demonstrated prognostic value of the 6GPS within the luminal (HR+), lymph node negative, Oncotype Dx intermediate risk subset. When examining proliferation signatures across age groups, subtype-stratified, we validated our primary results in the Luminal A subset (METABRIC cohorts), as to provide further evidence of subtype-independent increased proliferation in breast cancer of the young. Also, by multivariate logistic regression analysis, we pointed to age and molecular subtypes as independent predictors of the 6GPS, further supporting its role of 6GPS in the young and across molecular subtypes (Figure 2 A-D).

Future perspectives
The 6GPS showed independent prognostic value in patients with luminal tumors, and association with reduced survival in the Luminal A subset, supporting our findings that the 6GPS can identify subgroups of patients with more aggressive cancer than current diagnostic methods are able to determine – and thus may serve as a supplementary tool to gene panels and standard diagnostic tools applied today. We believe that increased knowledge about breast cancer biology among the young may ensure improved management and follow-up of this young patient group.
References
- Anders CK, Hsu DS, Broadwater G, Acharya CR, Foekens JA, Zhang Y, et al. Young age at diagnosis correlates with worse prognosis and defines a subset of breast cancers with shared patterns of gene expression. J Clin Oncol. 2008;26(20):3324-30.
- Azim HA, Jr., Partridge AH. Biology of breast cancer in young women. Breast Cancer Res. 2014;16(4):427.
- Partridge AH, Hughes ME, Warner ET, Ottesen RA, Wong YN, Edge SB, et al. Subtype-Dependent Relationship Between Young Age at Diagnosis and Breast Cancer Survival. J Clin Oncol. 2016;34(27):3308-14.
- Curtis C, Shah SP, Chin SF, Turashvili G, Rueda OM, Dunning MJ, et al. The genomic and transcriptomic architecture of 2,000 breast tumours reveals novel subgroups. Nature. 2012;486(7403):346-52.
- Subramanian A, Tamayo P, Mootha VK, Mukherjee S, Ebert BL, Gillette MA, et al. Gene set enrichment analysis: a knowledge-based approach for interpreting genome-wide expression profiles. Proc Natl Acad Sci U S A. 2005;102(43):15545-50.
Follow the Topic
-
British Journal of Cancer
This journal is devoted to publishing cutting edge discovery, translational and clinical cancer research across the broad spectrum of oncology.
Please sign in or register for FREE
If you are a registered user on Research Communities by Springer Nature, please sign in