Appearance of staircase phenomena in a dipolar mediated centrosymmetric magnetic thin film

We report about the appearance of staircase pattern in a dipolar mediated centrosymmetric magnetic thin-film system where the periodicity of the achiral stripe-domains changes in integer multiple of the exchange length (Lex) and show the role of anisotropy as the dominant cause for this pattern.

Published in Chemistry and Physics

Appearance of staircase phenomena in a dipolar mediated centrosymmetric magnetic thin film
Like

Share this post

Choose a social network to share with, or copy the URL to share elsewhere

This is a representation of how your post may appear on social media. The actual post will vary between social networks

Appearance of staircase-like structure is a fascinating phenomenon that is observed in a variety of condensed matter systems, for example in quantum Hall effect, modulated periodicities in charge density wave systems, modulated frequencies in dynamical systems (which incidentally was first observed by Christian Huygens around 1670!). Recently, staircase structures have also been observed in Dzyaloshinskii-Moriya interaction (DMI) based non-centrosymmetric magnetic system whose origin was explained as due to annihilation of a DMI mediated topologically protected spin kink. The ground state spin structure of such systems consists of spin-helices or periodic stripe domains, while skyrmions are observed in presence of an externally applied magnetic field. Apart from applications in spintronics and memory devices due to the presence of magnetic skyrmions, the staircase feature can provide additional technological applications such as in metrology, sensing devices etc. Here in this work, we report about the appearance of similar staircase phenomena in a dipolar mediated centrosymmetric magnetic thin-film system where the periodicity of the achiral stripe-domains changes in integer multiple of the exchange length (Lex). Using Landau-Lifshitz calculation on a model 1D achiral spin-chain that doesn’t have DMI reproduces steps in magnetization and elucidates the role of anisotropy as the dominant cause for the staircase pattern. Our results show that even though appearance of steps in the amorphous Fe/Gd system looks similar to a single crystal DMI material, the physical origin of the steps in the two systems is contrastingly different.

Experimental Observations

A typical description of the scattering pattern of the stripe lattice along with the projection of the in-plane Q-vectors.

Figure 1: (a) A typical scattering pattern of the stripe lattice along with the projection of the in-plane Q-vectors. (b) Enlarged image of the stripe-diffraction spot in Q-space. (c) Schematic real space view of stripe-domain orientation according to scattering image of Fig.1(a), where blue circles with dot resemble the spin along the field direction while the red small circles with cross resemble the spins opposite to the field direction and 'L' corresponds to the periodicity of the stripe domains. Plot of the evolution of periodicity (d) at 85 K along x-direction.

Competition between dipole-dipole interaction and magnetic anisotropy in thin-films can result in periodic arrangement of magnetic structures such as a spin-helix and vortex-like spin-textures as skyrmions, bubbles and biskyrmions. To date a very limited number of studies have been done to gain insights into the evolution process of achiral magnetic phases related to its stability and the underlying mechanisms in centrosymmetric thin films lacking DMI. In this article we report on the appearance of staircase structure with applied magnetic field of the scattering wave vector Q due to the ordered stripe lattice in an amorphous Fe/Gd thin film. Fe/Gd is a dipolar system and has no net chirality. The competing interactions present in the Fe/Gd system are exchange interaction, dipolar interaction and the perpendicular magnetic anisotropy (PMA) which results in the formation of highly ordered achiral stripe-lattice and skyrmion lattice. The [Fe (0.34 nm)/Gd (0.4 nm) ×80] multilayer is a prototype centrosymmetric system which comprises of the dominant stripe phase at lower temperatures, and it shows transition to the skyrmion phase above 200K at higher applied magnetic fields.

Using resonant coherent soft x-ray scattering technique at the Berkeley Lab’s Advanced Light Source (ALS) we observed that the scattering wave vector Q in the stripe phase changes in steps with the applied magnetic field, and interestingly, the stripe-periodicity (2π/Q) increases in integer multiple of 7 nm minimum step size, which closely resembles the exchange length (Lex) of the sample. Thus, not only DMI, but even dipolar systems can also, exhibit periodicity staircase structure. Intuitively, due to the achiral spin texture of the domains, as the magnetic field is increased, the minority domains start to shrink, resulting in two "like-domains" to come closer. The minimum distance between the two domains is guided by two spin-kinks on either side which should be equivalent to the length of two domain walls. Using the well-known formula, lw = √(J/K) where J, K and lw represents exchange coupling, anisotropy and the domain wall width respectively, the domain wall width for Fe/Gd comes out ≈ 3.2 nm, twice of which is 6.4 nm, which is in close agreement to the experimental value of 7 nm. Thus, the minimum distance between the two like-domains comes out to be equivalent to the exchange length (Lex) of the system from our experimental study.

Theoretical calculations

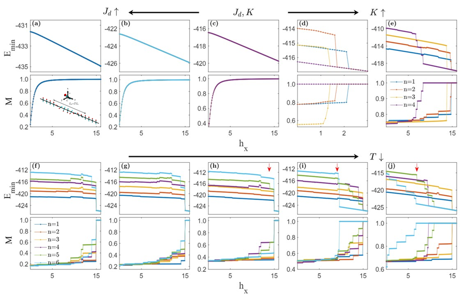
In the upper panel, dipolar parameter is J_d= 0.00934 and the anisotropy parameter is K= 0.2 (c). J_d= 0.00962, 0.01004 in (b) and (a) while anisotropy parameter K remains the same as the one in (c). Anisotropy parameter K=  0.1, 0.2 in (d) and (e) while dipolar parameter remains the same as the one in (e). In the lower panel, J_d= 0.00962 and K= 0.2. The inset in lower panel (a) shows the achiral magnetic order, where L_d is the length of the achiral domain area and L_c  is the chain length. The local coefficients from the left to the right are T=  7/8, 7/9, 2/3, 1/2, 1/3 respectively. Red arrows in (h)-(j) represent the first jump for energy curve with n=  5. The corresponding magnetic fields are h_x=  10.3, 9.2, 6.9. All results are calculated with the number of sites N= 216.

Figure 2: In the upper panel, dipolar parameter is Jd =0.00934 and the anisotropy parameter is K=0.2 (c). Jd =0.00962, 0.01004 in (b) and (a) while anisotropy parameter remains the same as the one in (c). Anisotropy parameter K =0.1, 0.2 in (d) and (e) while dipolar parameter K remains the same as the one in (e). In the lower panel, Jd =0.00962 and K =0.2. The inset in lower panel (a) shows the achiral magnetic order, where Ld is the length of the achiral domain area and Lis the chain length. The local coefficients from the left to the right are T =7/8,7/9, 2/3, 1/2, 1/3 respectively. Red arrows in (h)-(j) represent the first jump for energy curve with n =5. The corresponding magnetic fields are hx = 10.3, 9.2, 6.9. All results are calculated with the number of sites N =216.

Our x-ray scattering studies have been complemented by spin dynamics calculations that take account of the achiral nature of the system. Depending on the rotation of the atomic spins the chirality in a 1D spin-helix structure can be positive chiral, negative chiral, anti-chiral or achiral. We have simulated (as experimentally observed) a non-equilibrium process, where the total periodicity of the stripes diverges with increasing fields, while the minority stripe width cannot fall below a certain size. Instead of motion of domain walls over macroscopic distances to the edge of the film, the pressure exerted on minority domains leads to local annihilation of some of these half- periods and local re adjustment of the domains. By defining two length scales related to global and local achirality, we have been able to theoretically generate steps as a function of applied magnetic field and show the important role that anisotropy plays in generating the steps in these systems.

 Outlook

Our study shows the role of local chirality length scale and how it relates coherently to global achirality. We show that even though dipolar system can show a similar staircase behavior like that of a DMI system, the underlying physics is different. Our study provides evidence and further impetus to perform “anisotropy engineering” as additional degree of freedom to provide additional functionality in spintronic applications. Such a system can be of significant technological and theoretical prospect in future since engineering of chiral or magnetic topological states via dipolar or other related mechanisms different to DMI can exhibit larger advantages over the choice of constraints set by the requirements to have DMI.

 References:

  • K. von Klitzing, T. Chakraborty, P. Kim, V. Madhavan, X. Dai, J. McIver, Y. Tokura, L. Savary, D. Smirnova, A. M. Rey, C. Felser, J. Gooth, and X. Qi, Nature Reviews Physics 2, 397589 (2020).
  • P. Bak and R. Bruinsma, Phys. Rev. Lett. 49, 249 (1982).
  • J-i. Kishine, I. G. Bostrem, A. S. Ovchinnikov, and V. E. Sinitsyn, Phys. Rev. B 89, 014419 (2014).
  • Y. Togawa, T. Koyama, Y. Nishimori, Y. Matsumoto, S. McVitie, D. McGrouther, R. L. Stamps, Y. Kousaka, J. Akimitsu, S. Nishihara, K. Inoue, I. G. Bostrem, V. E. Sinitsyn, A. S. Ovchinnikov, and J. Kishine, Phys. Rev. B 92, 220412 (2015).
  • M. N. Wilson, E. A. Karhu, D. P. Lake, A. S. Quigley, S. Meynell, A. N. Bogdanov, H. Fritzsche, U. K. R ̈oßler, and T. L. Monchesky, Phys. Rev. B 88, 214420 (2013).
  • S. A. Montoya, S. Couture, J. J. Chess, J. C. T. Lee, N. Kent, D. Henze, S. K. Sinha, M.-Y. Im, S. D. Kevan, P. Fischer, B. J. McMorran, V. Lomakin, S. Roy, and E. E. Fullerton, Phys. Rev. B 95, 024415 (2017).
  • J. C. T. Lee, J. J. Chess, S. A. Montoya, X. Shi, N. Tamura, S. K. Mishra, P. Fischer, B. J. McMorran, S. K. Sinha, E. E. Fullerton, S. D. Kevan, and S. Roy, Applied Physics Letters 109, 022402 (2016).
  • A. Singh, J. C. T. Lee, K. E. Avila, Y. Chen, S. A. Montoya, E. E. Fullerton, P. Fischer, K. A. Dahmen, S. D. Kevan, M. K. Sanyal, and S. Roy, Nature Communications 10, 1988 (2019).
  • J. Miguel, J. F. Peters, O. M. Toulemonde, S. S. Dhesi, N. B. Brookes, and J. B. Goedkoop, Phys. Rev. B 74, 094437 (2006).
  • S. A. Montoya, M. V. Lubarda, and V. Lomakin, Communications Physics 5, 293 (2022).

Please sign in or register for FREE

If you are a registered user on Research Communities by Springer Nature, please sign in

Follow the Topic

Magnetism
Physical Sciences > Materials Science > Condensed Matter > Magnetism
X-Ray Scattering
Physical Sciences > Chemistry > Analytical Chemistry > Surface Chemistry > X-Ray Scattering

Related Collections

With Collections, you can get published faster and increase your visibility.

Intertwined Orders in Quantum Materials – In Memory of Daniel Khomskii

This special collection brings together research papers and reviews exploring various intertwined orders across the orbital, charge, spin, or lattice sectors, serving as a tribute to Daniel Khomskii.

Publishing Model: Open Access

Deadline: May 13, 2026

Altermagnetic Materials and Phenomena

This collection aims to bring together researchers working on altermagnets from all different fields, including but not limited to crystallography, condensed matter physics, chemistry, and materials science.

Publishing Model: Open Access

Deadline: Apr 30, 2026