Coherent memory for microwave photons based on long-lived mechanical excitations

Mechanical resonators are particularly attractive memory elements in conjunction with quantum computing and communication networks. The itinerant coherent microwave field is captured, stored, and retrieved from a mechanical memory oscillator which is pre-cooled to the ground state.

Published in Physics

Coherent memory for microwave photons based on long-lived mechanical excitations
Like

Share this post

Choose a social network to share with, or copy the URL to share elsewhere

This is a representation of how your post may appear on social media. The actual post will vary between social networks

The superconducting cavity optomechanical device configuration

In recent years, manipulating the state of macroscopic mechanical resonators through the radiation pressure of light has become one of the most popular research fields in the world. Based on the physical characteristics of different systems that are coupling each other, the mechanical resonators can be flexibly designed in structure and material selection. Therefore, cavity optomechanical systems possess perspective compatibility and scalability, making them pivotal in many fields of measurement and sensing. Through the sideband transitions assisted by the cavity field, thermal phonons are transported and quickly dissipated, enabling the cooling of mechanical resonators to their quantum ground state.

The quantization of mechanical vibrations is also known as phonons. Relying on the quantum acoustic system of mechanical resonators, they can be coupled with various natural or artificial quantum systems, providing an ideal and efficient quantum coherent interface for communication, interconnection, and expansion among different quantum systems. Meanwhile, quantum memory is one of the key modules in quantum information processing and universal quantum network. For example, long-lifetime memory can be applied to error-tolerant coding and relays for quantum state long-distance transmission. Cavity optomechanical devices with ultra-long lifetime mechanical modes are ideal candidates for quantum state storage, electronic quantum computing, and coherent interconnection for laser band communications. The manipulation of optical radiation pressure also provides a new technical method for on-demand controllable reading and writing of quantum states.  

Fig. 1 Schematic diagram of on-chip superconducting cavity optomechanical device and the pulse sequence. (a) Superconducting cavity optomechanical device is composed of metallized silicon nitride film and Nb film superconducting circuit; (b) membrane vibration shape; (c) schematic diagram of the lumped element model; (d) state storage and pulse sequence of state tomography.

Fig. 1 Schematic diagram of on-chip superconducting cavity optomechanical device and the pulse sequence. (a) Superconducting cavity optomechanical device is composed of metallized silicon nitride film and Nb film superconducting circuit; (b) membrane vibration shape; (c) schematic diagram of the lumped-element model; (d) state storage and pulse sequence of state tomography.

Figure 1(a) shows the structure of the microwave cavity optomechanical device, which is mainly composed of a superconducting microwave circuit resonator with an ouroboros structure and a metalized silicon nitride membrane mechanical resonator. Different from the traditional flip-chip bonding process, a reversed process of first flip-chip bonding and then metallization is adopted here, which optimizes the controls of the vacuum gap size between the membrane and circuit capacitator. The metalized silicon nitride membrane and the coupling capacitance of the bottom circuit of the Ouroboros structure form a space capacitance structure. The reversed process proposed by the researchers in this work can further reduce the vacuum gap of the mechanical capacitance and increase the optomechanical coupling strength, which is one of the key technologies to achieve its quantum ground state. The mechanical resonator is provided by a highly stressed silicon nitride film, and the finite element simulation of the first-order out-of-plane resonance mode is shown in Fig. 1(b). The lumped parameter model of the device is shown in Fig. 1(c). The vibrating silicon nitride membrane will change the size of the space capacitance, further causing a shift of the intrinsic frequency of the microwave cavity, forming radiation-pressure coupling in the form of dispersion. Figure 1(d) shows the time-domain sequence of the pulse for microwave state storage and retrieval.

Vibrational Modes and Ground State Cooling

Through the energy relaxation characterization and spectrum analysis of the mechanical resonator, the energy relaxation time of the mechanical resonator is obtained as close to 16 seconds, the corresponding energy spectrum linewidth is as small as 10.2 mHz, and the quality factor of the mechanical oscillator reaches 73 million, as shown in Fig. 2(a). If microwave signals can be stored in the mechanical resonator by the type of mechanical energy, the energy storage lifetime of microwave photons will represent the highest level in the world at present, which is also one of the ideas for this work to build quantum memories based on mechanical resonators. In order to ensure the phase coherence of the stored microwave state, the researchers also overcome the key technical bottleneck of sideband cooling of low-frequency mechanical vibration and successfully cooled the mechanical resonator to its ground state, which is a prerequisite for quantum manipulation based on mechanical resonators.

Fig.2 Characterization of mechanical energy dissipation (a) time-domain ringdown test.
(b) energy spectrum analysis.

Quantum state tomography and mechanical rethermalization

Based on the prepared mechanical quantum ground state, The researchers conducted systematic research on the capture, storage, and retrieval of itinerant microwave photons. In the experiment, the mechanical resonator was first prepared to its ground state by sideband drive with constant intensity. Under the action of the write pulse, the amplitude and phase information of the signal pulse will be mapped to the mechanical storage device (that is the mechanical mode), and then the write pulse is turned off and the writing process is stopped. The written signals will experience energy decoherence as well as quantum decoherence caused by the ambient heat reservoir. A readout pulse will be applied to revive the stored signal if the target microwave pulse signal of interest is required to be further processed.

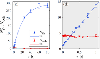
Fig.3 Time domain evolution of thermal phonons and coherent microwave photons in
mechanical memory

It is worth noting that both the write and read pulses are sideband driving fields of constant amplitude. The sideband driving field plays multiple roles in the experiment, including resonator initialization, writing, and reading. In order to improve the writing efficiency of the signal, the signal pulse is modulated into an exponentially rising envelope to resist the optical damping introduced by the writing field. The quantum efficiency of writing is highest when the exponential gain rate of the signal matches the decay rate induced by the write field. After repeating reading and writing thousands of times and projecting the signal in the orthogonal direction, the phase space distribution of the macroscopic quantum state can be obtained. Since thermal noise is random and obeys a Gaussian distribution with an average value of zero, the variance of the phase space distribution represents the number of thermal phonons, and the average value represents the coherent component of the signal. Through the characterization of the time-domain variation of the state distribution, the researchers found that the device can store microwave photons with a decoherence time as high as 55.7 milliseconds, as shown in Fig. 3. Towards coherent storage of quantum states at the single-photon level, follow-up work will require further cooling of mechanical oscillators to a lower number of thermal phonons.

According to the experimental results, the resonator thermal noise is greatly suppressed when the mechanical resonance mode cools to its quantum ground state. The research on quantum memory based on mechanical resonators has become a hot field at present. Current work realized on-demand storage and reading of microwave states, the energy decoherence time of stored microwave states was nearly 16 seconds, and the quantum decoherence time was 55 milliseconds, creating a new record for optical-mechanical coherent storage time. This technological breakthrough will bring new opportunities for superconducting quantum code storage, interconnection based on microwave photon relay, basic testing of quantum gravity, and even the search for dark matter.

Please sign in or register for FREE

If you are a registered user on Research Communities by Springer Nature, please sign in

Follow the Topic

Physics and Astronomy
Physical Sciences > Physics and Astronomy

Related Collections

With Collections, you can get published faster and increase your visibility.

Quantum-Enabled Bioimaging

This collection aims to foster interdisciplinary collaboration, bridging the gap between quantum physics and biomedicine, and to encourage innovative quantum-enabled approaches that can redefine our understanding of complex biological processes.

Publishing Model: Open Access

Deadline: Aug 04, 2026

Algorithms, Protocols and Architectures for Early Fault Tolerance

This collection will serve as a platform to explore how quantum advantage could be best achieved using the early fault-tolerant machines that are expected to emerge in the coming years and may enable us to perform millions to trillions of quantum gate operations.

Publishing Model: Open Access

Deadline: Jun 25, 2026