Defining the role of salvage transplant in crowded therapeutic space in relapsed myeloma

Published in Cancer

Like

Share this post

Choose a social network to share with, or copy the URL to share elsewhere

This is a representation of how your post may appear on social media. The actual post will vary between social networks

Multiple myeloma (MM), a cancer of antibody producing plasma cell, has seen a sea change in the therapeutic landscape with the introduction of thalidomide and analogues and proteasome inhibitors.  Despite these interventions, MM invariably relapses after a period requiring additional therapy for disease control. In the last few years, MM therapeutic arsenals have been enriched with several novel options including the renaissance of immunotherapy. All these have undoubtedly resulted in unprecedented response rates and survival in MM patients.

The role of autologous hematopoietic cell transplantation (AHCT), despite several randomized trials in the context of modern therapies, continue to remain strong since its inception in 1980s. For eligible patients, several guidelines endorse this option not only in newly diagnosed setting, but also in relapsed setting if they have never done before or if they have had an excellent remission of at least 2 years. Given the emergence of several new therapies in relapsed setting, and the lack of prospective studies, we decided to analyze the real-world outcomes of salvage transplant in the current era.

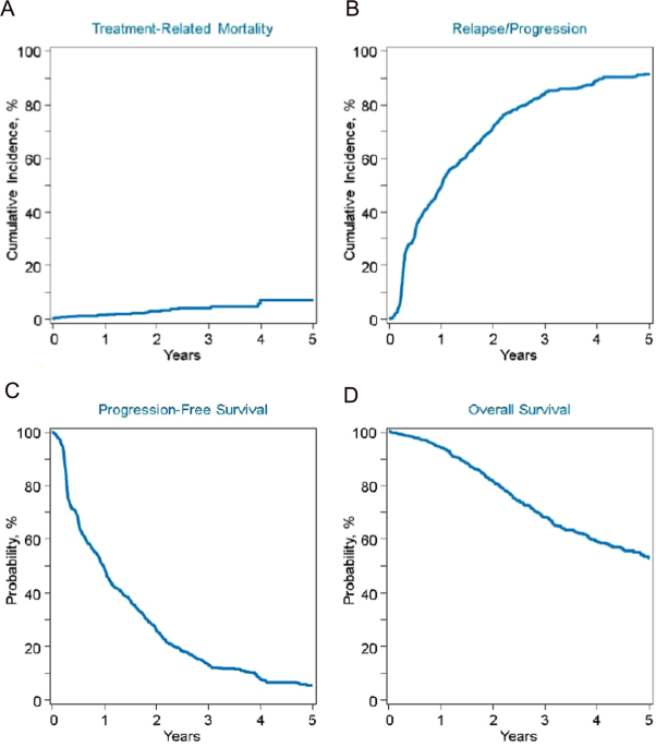
Our study comprised of 975 patients who were in excellent remission for more than 2 years since the first transplant. Of available data, almost half of them received at least a novel therapy prior to transplant. Several clinically relevant observations can be made from our study results; 1) Non relapse mortality of 1% at 1 year establishes the safety of the modality 2) Progression-free survival (PFS) and overall survival (OS) at 1 year of 50% and 94% respectively demonstrates the efficacy of this approach 3) Underscores the importance of novel combinations to achieve deep response prior to transplant as deeper response correlated to better PFS and OS in our study. And lastly 4) the risk of second primary malignancies after salvage transplant was 7% (slightly higher than reported in the other studies but did not lead to higher deaths.

Choosing therapy in relapsed MM is becoming increasingly complex in the crowded space of emerging and existing therapies. The evidence on the significance is mainly derived from retrospective studies and very few prospective studies. With the ever changing landscape of MM treatment, specially with the introduction of several new agents like chimeric antigen receptor T cell therapy (CAR-T), T- cell engagers (TCEs), antibody drug conjugates (ADCs), the significance and its role needs to be defined further. Despite the limitations inherent to retrospective study, this study, one of the largest studies reporting the role of salvage transplant in relapsed MM in a contemporary era and establishes the safety and efficacy of this modality. The outcomes reported in our study are comparable to some of the new approved FDA regimens in that space and calls for randomized trials to establish its definite role against those agents.

Please sign in or register for FREE

If you are a registered user on Research Communities by Springer Nature, please sign in

Follow the Topic

Cancer Biology
Life Sciences > Biological Sciences > Cancer Biology
  • Leukemia Leukemia

    This journal publishes high quality, peer reviewed research that covers all aspects of the research and treatment of leukemia and allied diseases. Topics of interest include oncogenes, growth factors, stem cells, leukemia genomics, cell cycle, signal transduction and molecular targets for therapy.