Flux-flow instability across Berezinskii Kosterlitz Thouless phase transition in KTaO3 (111) based superconductor

The nature of energy dissipation processes in two-dimensional superconductors at high current drives remains largely unexplored. In this study, the authors investigate this for an interfacial superconductor and find distinct behaviors across the Berezinskii Kosterlitz Thouless phase transition.

Published in Physics

Flux-flow instability across Berezinskii Kosterlitz Thouless phase transition in KTaO3 (111) based superconductor
Like

Share this post

Choose a social network to share with, or copy the URL to share elsewhere

This is a representation of how your post may appear on social media. The actual post will vary between social networks

In the field of modern condensed matter physics, a significant and unresolved question over the past two decades has been the comprehension of dissipation in two-dimensional (2D) superconductors when subjected to external perturbations. Previous research efforts have primarily focused on investigating energy dissipation under the influence of a perpendicular magnetic field, using small current excitations. Unfortunately, the behavior of 2D superconductors under large current excitations remains largely unexplored.

The phenomenon of pair-breaking imposes an upper theoretical limit on the maximum current that a superconductor can sustain without experiencing dissipation [1]. However, in actual experimental conditions, finite dissipation always sets in at much lower current densities, well before reaching the pair-breaking limit. Understanding this discrepancy is not only crucial for addressing fundamental questions regarding the nature and origin of superconductivity but also holds great importance in realizing future applications such as superconducting digital memory, particle accelerator cavities, terahertz radiation sources, etc.

In one dimension, phase slip centers are the primary cause of dissipation [2]. In 2D, an additional complication arises due to a topological phase transition belonging to the Berezinskii Kosterlitz Thouless (BKT) universality class [3]. Below the BKT phase transition temperature (TBKT), bound vortex-antivortex pairs are the bare topological excitations that become unbound above the TBKT. Nonetheless, some bound pairs still exist even in the temperature range TBKTTTC (TC is superconducting transition temperature)  under zero electrical current. Application of current leads to a further increase in free vortex density due to unbinding of bound vortex-antivortex pairs. Subsequently, these free vortices begin to move due to the Magnus force induced by the applied current, becoming a significant source of dissipation. As the current continues to increase, these vortices can reach extremely high velocities. Although the existence of ultra-fast moving vortices has been demonstrated previously, what happens to these topological defects just before the system undergoes breakdown remains an enigma. 

In the context of bulk type II superconductors in the mixed state, Larkin and Ovchinnikov (LO) [4] had proposed that when a vortex core passes through a specific location (Fig. 1), the spectrum of quasiparticles undergoes a rapid transition from the superconducting (S) branch to the normal (N) branch. However, due to the finite inelastic scattering time, this switching process does not occur instantaneously. Consequently, at large vortex velocities, the normal vortex core exhibits more superconducting characteristics (S-like), compared to the equilibrium case where the vortex velocity is zero. This enhanced S-like quality of the vortex core can be visualized as an effective contraction of the vortex diameter leading to flux flow instability (FFI). When FFI occurs, the voltage drop across the sample increases abruptly, which can be measured through current-voltage (I-V ) characteristics measurements. Further, the voltage instability under the backward current sweep happens at a lower current than in the forward sweep leading to an anticlockwise hysteresis.

Figure 1: Motion of a vortex from point A to B through the superconductor under an application of transport current. The normal vortex core and the superconducting phase are indicated by N and S, respectively.

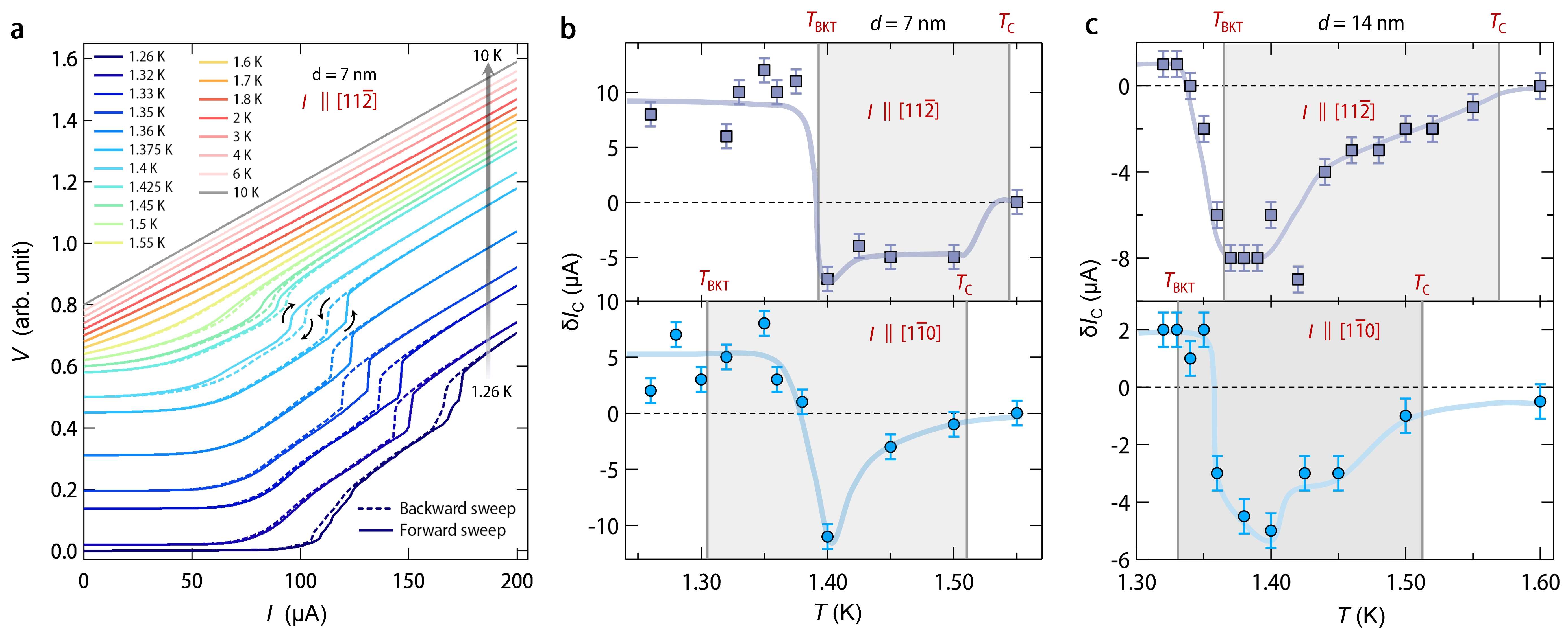
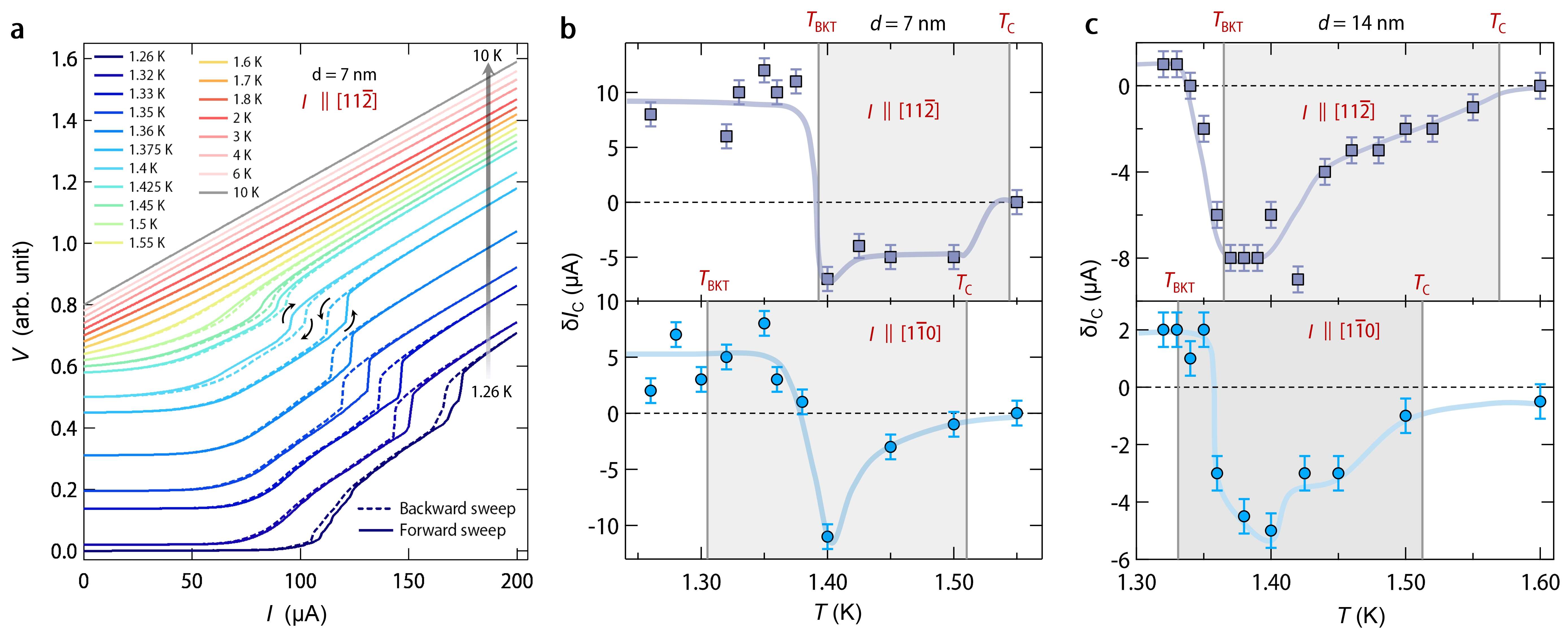
In this work, through extensive transport measurements and analysis, we successfully demonstrate that the newly discovered KTaO3 (111) based interfacial superconductors could serve as an ideal platform for understanding dissipation mechanisms under large current drives. Fig. 2a shows one representative set of I-V curves taken in forward and backward sweeps at several fixed temperatures from 1.26 K to 10 K under zero magnetic field for a 7 nm AlOx/KTaO3 (111) sample which exhibits 2D interfacial superconductivity with TC ∼ 1.55 K. While the features at low temperatures and low currents are well understood in context of BKT systems, the dissipation at large currents (especially before going to normal state) happens via discrete jumps followed by an anticlockwise hysteresis. Our comprehensive analysis of temperature and magnetic field data strongly suggests the presence of LO-type FFI in association with some Joule heating effects which becomes more dominant below the TBKT. Most surprisingly. the nature of hysteresis changes completely from anticlockwise to clockwise above a certain temperature (highlighted by arrows in Fig. 2a). Such clockwise hysteresis is extremely rare [5] and has been never observed in any interfacial superconductors to the best of our knowledge. 

Figure 2: (a) Temperature-dependent I-V curves measured in current bias mode for a  7 nm AlOx/KTaO3 (111) sample. Curves have been shifted upward for visual clarity. (b) Maximum width of hysteresis (δIc) [δIc=(Ic)forward- (Ic)backward, (Ic)forward and (Ic)backward are the values of critical current in the middle of hysteresis in the forward and backward sweep, respectively] for two configurations of current. (c) Similar data for another sample with double the thickness d=14 nm of AlOx. The change in the width of the hysteresis upon multiple cycling has been used to estimate the error bar.

To visualize this drastic change in I-V hysteresis, we further plot the maximum width of hysteresis (δIc) as a function of temperature for two samples (Fig. 2b and Fig. 2c). As clearly evident, hysteresis always changes its sign around the TBKT and vanishes around TC. Long back in 1995, Samoilov et. al. [5] had proposed that, once the superconductor is driven into the normal resistive state in the forward current sweep, the electron-electron (inelastic) scattering rate becomes higher. Within the framework of LO theory, it can be shown that such a phenomenon would move the I-V curve towards the higher current under the backward sweep, resulting in a clockwise hysteresis. Further, with increasing temperature, the evolution of hysteresis from anticlockwise to clockwise should be smooth as observed here. We also note that the vanishing of clockwise hysteresis near TC is consistent with the fact that vortices do not exist above TC.

Several recent studies, including those focused on magic-angle twisted bilayer graphene, MoS2, and NbSe2, have observed anomalies in high current I-V characteristics, which have been explained qualitatively in terms of vortex instability/phase-slip events. Our findings of FFI across the BKT phase transition could serve as a framework for comprehending dissipation in such a diverse class of 2D superconductors subjected to large currents. Further exploration of this highly non-equilibrium phenomenon in other systems that exhibit BKT transition, such as trapped atomic gases and neutral superfluids, would be of significant interest.

[1] Bardeen, J. Critical fields and currents in superconductors. Rev. Mod. Phys. 34, 667–681 (1962). 
[2] Tinkham, M. Introduction to superconductivity (Courier Corporation, 2004).
[3] Jos, J. V. 40 Years of Berezinskii-Kosterlitz-Thouless Theory (World Scientific, 2013).
[4] Larkin, A. & Ovchinnikov, Y. Nonlinear conductivity of superconductors in the mixed state. Sov. Phys. JETP 41, 960–965 (1975).
[5] Samoilov, A. V., Konczykowski, M., Yeh, N. C., Berry, S. & Tsuei, C. C. Electric-field-induced electronic instability in amorphous Mo3Si superconducting films. Phys. Rev. Lett. 75, 4118–4121 (1995).
[6] Ovadyahu, Z. Transition to zero vorticity in a two-dimensional superconductor. Phys. Rev. Lett. 45, 375–378 (1980). 

Please sign in or register for FREE

If you are a registered user on Research Communities by Springer Nature, please sign in

Follow the Topic

Physics and Astronomy
Physical Sciences > Physics and Astronomy

Related Collections

With Collections, you can get published faster and increase your visibility.

Advances in Quantum Networking: QKD and beyond

Communications Physics invites translational and pioneering work that describes the evolving capabilities in QKD and sets the stage for applications of quantum networking and distributed quantum technologies. Looking beyond the UNESCO International Year of Quantum Technologies, we hope to curate a cross-section of state-of-the-art research that showcases the rapid development of the quantum networking stack and its applications.

Publishing Model: Open Access

Deadline: Apr 30, 2026

Relativistic Astrophysical Plasmas in space and the lab

From particle acceleration near the speed of light to plasma dynamics in the presence of intense electromagnetic fields, this collection highlights the transformative discoveries and innovative techniques pushing the boundaries of modern plasma physics. We aim to showcase new horizons in the study of the fundamental processes that govern high-energy astrophysical phenomena, providing a deeper understanding of the universe and driving progress in relativistic and ultrarelativistic laboratory astrophysics.

Publishing Model: Open Access

Deadline: Jun 30, 2026