Leveraging DNA Methylation in White Blood Cells for Enhanced Early Detection of Hepatocellular Carcinoma.

Detecting hepatocellular carcinoma (HCC) early can save lives, but current tools like ultrasound and AFP tests often fail in the early stages. Our research focuses on DNA methylation in blood cells, offering a more reliable, non-invasive method to improve early diagnosis and patient outcomes.

Published in Cancer and Cell & Molecular Biology

Leveraging DNA Methylation in White Blood Cells for Enhanced Early Detection of Hepatocellular Carcinoma.
Like

Share this post

Choose a social network to share with, or copy the URL to share elsewhere

This is a representation of how your post may appear on social media. The actual post will vary between social networks

Particularly for serious illnesses like liver cancer, early diagnosis is essential. This is especially true for hepatocellular carcinoma (HCC), one of the most aggressive and difficult cancers to treat. In its early stages, it is almost always asymptomatic, making it difficult to detect. Over 800,000 new cases of HCC are diagnosed globally each year. Regretfully, more than 700,000 people die from this kind of cancer each year. It is among the main reasons why people die from cancer. These figures demonstrate how urgently improved diagnostic and therapeutic approaches are needed.

A particularly important factor is that if HCC can be detected at an early stage, it can significantly improve the chances of survival for patients. However, current screening methods such as ultrasound, computed tomography (CT) and magnetic resonance imaging (MRI) have low sensitivity for detecting early stages of HCC. Moreover, biopsy, which is often used to confirm the diagnosis, is associated with risks and discomfort for patients. Thus, there is an urgent need for new, non-invasive and more accurate methods for early diagnosis of liver cancer.

Alpha-fetoprotein (AFP) has long been used as a serological marker for the diagnosis of HCC. However, its sensitivity is also insufficient for the early stages of the disease. Statistics show that AFP has a sensitivity of less than 60% in the early stages of HCC, which makes it an insufficiently reliable tool for detecting the disease at those stages when treatment could be most effective.

The study of circulating tumour DNA (ctDNA), which enters the circulation when tumour cells are killed, has emerged as one of the most promising diagnostic techniques in recent years. But there are also some serious drawbacks to this approach. First of all, it is difficult to detect ctDNA mutations in the early stages of cancer because of their extremely low frequency. Second, it is challenging to amplify and study ctDNA because most of the ctDNA molecules are in the range of 145–201 bp which is approximately the size of nucleosome. Its identification is further complicated by the fact that the amount of ctDNA in the blood changes according to the cancer's stage and the tumor's closeness to blood vessels.

 

Bisulfite conversion, which is necessary for DNA methylation analysis, destroys up to 90% of the available DNA, leaving only small fragments that are extremely difficult to detect, especially in the early stages. This makes ctDNA an imperfect tool for diagnosing cancer at the early stages of its development.

That is why one of the most promising areas of diagnostics has become the study of blood, namely peripheral blood mononuclear cells (PBMC), which are part of the body's immune system. It has been known for many years that the immune system reacts to the development of cancer cells in the body. In our previous studies, we demonstrated that DNA methylation in PBMCs can be an indicator of the presence of liver cancer even at early stages. This discovery gave us grounds for further research in this direction.

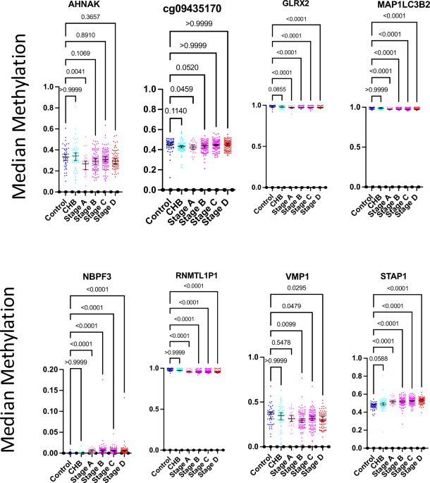
In our current study, we focused on the genes that showed the highest change in DNA methylation in PBMC during liver cancer progression. These studies led to development of a new diagnostic method based on four genes, the so-called M4, which demonstrates high sensitivity in detecting HCC. In combination with the traditional marker AFP, our M4 method increases the diagnostic sensitivity to 88.2-95.7% at all stages of HCC, which significantly exceeds the efficiency of using each marker separately.

Our work shows that the use of PBMC as a biological sample provides significant advantages over ctDNA. Unlike ctDNA, the number of PBMC does not depend on the stage of cancer or its proximity to blood vessels, which makes this method more universal and applicable at all stages of the disease. We were able to overcome the main limitations associated with low availability and fragmentation of ctDNA by developing a reliable technique based on DNA methylation in cells of the immune system. Our results not only confirm the high sensitivity of the method but also demonstrate its significant advantages for use in clinical practice. For instance, the sensitivity of M4 and AFP combined reaches 88.2% at the early stage of HCC (stage A), which is much higher than when AFP is used alone. This is particularly crucial because liver cancer can still be successfully treated at this stage, and patients' prognoses are much improved by early discovery. Furthermore, our approach demonstrated its universality by being successful in later stages of liver cancer. The sensitivity reaches 89.5% at level B and 90.6% and 95.7%, respectively, at more advanced stages C and D. These findings suggest that our method can be used to diagnose liver cancer at any stage, offering a precise and timely diagnosis that greatly improves the likelihood of a favourable outcome.

 

Prognostic markers including the positive predictive value (PPV) and negative predictive value (NPV) are also markedly improved by using the M4+AFP approach. The M4+AFP combination has a PPV of 100% and an NPV of 99.3% in groups that are at a high risk of developing HCC, such as those with chronic hepatitis B and C. This means that the probability of false positive and false negative results is minimized, making our method an extremely reliable screening tool. Our work demonstrates that liver cancer diagnostics can be advanced by using DNA methylation in PBMCs. This approach not only improves early diagnostics but also offers a reliable solution to the problem of low ctDNA availability in early cancer stages. Our M4 and AFP-based approach offers a safe, non-invasive, and very successful technique for detecting HCC at any stage, and it has a lot of potential for practical application. To verify the adaptability of our approach, we intend to extend our research in the future to larger populations and different forms of cancer. Additionally, we anticipate that this approach will be incorporated into routine liver cancer diagnostic procedures, greatly enhancing patient survival and quality of life.

Please sign in or register for FREE

If you are a registered user on Research Communities by Springer Nature, please sign in

Follow the Topic

Hepatocellular Carcinoma
Life Sciences > Biological Sciences > Cancer Biology > Cancers > Gastrointestinal Cancer > Liver Cancer > Hepatocellular Carcinoma
Cancer Epigenetics
Life Sciences > Biological Sciences > Cancer Biology > Cancer Genetics and Genomics > Cancer Epigenetics
Oncology
Life Sciences > Health Sciences > Clinical Medicine > Oncology
DNA methylation
Life Sciences > Biological Sciences > Molecular Biology > Epigenetics > DNA methylation
Epigenetics
Life Sciences > Biological Sciences > Molecular Biology > Epigenetics

Related Collections

With Collections, you can get published faster and increase your visibility.

Healthy Aging

This collection welcomes submissions based on studying preclinical models, as well as population-wide and clinical studies. Studies that advance our understanding of mechanisms behind healthy aging are also welcomed. Clinical research of interest will include epidemiological studies, observational studies, longitudinal cohort studies, systematic reviews and clinical trials.

Publishing Model: Open Access

Deadline: Jun 01, 2026

Public health and health governance in China

This collection welcomes submissions related to public health and health governance in China. We invite contributions that investigate the dynamics of health economics, analyze health policymaking processes, and explore the implications of public health interventions.

Publishing Model: Open Access

Deadline: Jul 31, 2026