Lipoprotein and metabolite associations to breast cancer risk in the HUNT2 study

Published in Cancer

Like

Share this post

Choose a social network to share with, or copy the URL to share elsewhere

This is a representation of how your post may appear on social media. The actual post will vary between social networks

Where did we start?

Breast cancer is the most common cancer diagnosis among women worldwide, with an increasing incidence rate, and 2.3 million new women were diagnosed with this disease in 2020 [1]. There are several well-established risk factors for developing breast cancer, of which the highest risk factors are age and sex, as the risk increases with increased age, and only 1% of breast cancers are diagnosed in men. Other factors increasing the risk include alcohol consumption, smoking, hormonal replacement therapy, being overweight (in post-menopausal women, but not in pre-menopausal women), late menopause and possessing genetic mutations [2-4]. Factors decreasing the risk include having children at a young age, having multiple pregnancies, breast feeding, staying physically active. However, known modifiable risk factors are estimated to be responsible for only a fraction of breast cancers in high-income countries [5-7].

The prognosis is good for most patients; however, it is highly dependent on the stage of the disease at diagnosis and the presence of a distant metastasis. A better understanding of the etiology of the disease and the underlying biological mechanisms are necessary to reduce the incidence rate, as well as for earlier diagnosis.

Cancer cells have a reprogrammed metabolism for conversion of nutrients to biomass while maintaining a high energy production, and as the serum metabolome reflects endogenous processes as well as environmental and lifestyle factors, it gives a detailed snapshot of the current state of the body [8, 9]. Subtle differences in metabolic composition of prediagnostic serum samples have been associated with breast cancer risk [10-12].

Also lipid levels are altered in many types of cancers, however the mechanisms governing dysregulated lipid metabolism in cancer cell development are not fully understood. The two main forms of circulating lipids in the body are triglycerides and cholesterol, which are transported through the bloodstream in lipoproteins [13]. There are five main fractions of circulating lipoproteins, ranging from very-low (VLDL) to high-density (HDL) lipoproteins, each with its own characteristic protein and lipid composition.

This study is the first to report associations between lipoprotein subfractions and long-term breast cancer risk.

What did we do?

In this study we chose to use data from the second wave of data gathering (HUNT2) in the longitudinal population-based HUNT study conducted in Norway. Around 75 000 people participated in HUNT2 (1995-97) and it was the first wave to include biological material. In 2019 we matched the HUNT2 participants with the Norwegian Cancer Registry and identified all female participants of HUNT2 that developed breast cancer after inclusion. We found 1208 breast cancer cases, and for each case, a participant that remained free of breast cancer during follow-up was randomly selected as a control, matched for age in intervals of 5 years. We applied nuclear magnetic spectroscopy (NMR) on the blood samples to obtain concentrations of metabolites and lipoprotein subfractions. In total, 28 circulating metabolites and 89 lipoprotein subfractions were included in this study. To test for significant associations between the measured variables and long-term breast cancer risk, we used logistic regression.

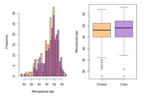
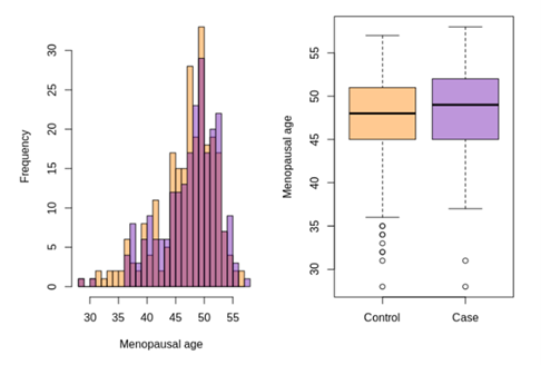
Only about 20% of the participants had reported menopausal age, even though the mean age at baseline was 52.7 years, thus it is reasonable to believe that more than half of the study cohort was in fact postmenopausal at baseline. For those that had reported menopausal age, the average age was lower for the controls than for the cases, however, the difference did not reach statistical significance.

Distribution of self-reported menopausal age for the cases and controls of the study cohort.

For women with missing menopausal age, menopausal status we imputed using the age at baseline, and all participants aged 51 years or older were defined as post-menopausal. The menopausal status of the control was determined by the menopausal status of the case, to prevent an age-bias with a population of controls younger than the population of cases.

What did we find?

We were able to confirm many of the already established risk factors in our cohort. The controls had a higher number of full-term pregnancies than the cases and had their first pregnancy at a younger age. The frequency of alcohol intake was significantly higher for the cases.

From the full study cohort, 554 cases were classified as premenopausal and 645 as postmenopausal at inclusion into HUNT2. Postmenopausal women had significantly different lipid profiles compared to premenopausal women, with elevated levels of most lipoprotein subfraction, except for HDL-3 and HDL-4 cholesterol and phospholipids in postmenopausal women.

Scores and loading plots of orthogonalized partial-least squares discriminant analysis (OPLS) on lipid profiles comparing lipid profiles of pre- and postmenopausal women.

We found inverse associations between very low-density lipoprotein (VLDL) subfractions and breast cancer risk among premenopausal women, revealing an altered metabolism in the endogenous lipid pathway many years prior to a breast cancer diagnosis. VLDLs are triglyceride-rich compounds synthesized by the liver which supply the body tissues with fat. They thus function as the body’s internal lipid transport mechanism. Previous studies have shown that estrogen levels play an important role in the regulation of lipid metabolism and are shown to be negatively correlated with triglycerides and VLDLs. We thus hypothesize that our found associations reflect hormonal activity.

No associations were found among post-menopausal women and for our panel of measured metabolites in both pre- and post-menopausal groups.

Where do we go from here?

We are currently working on validation of our results by expanding our panel of metabolites using mass spectrometry on left-over material through the SEMPRA project, which is a collaboration between our university and the National Institute of Oncology in Gliwice in Poland.

 References

  1. Ferlay, J., M. Colombet, I. Soerjomataram, D.M. Parkin, M. Piñeros, A. Znaor, et al., Cancer statistics for the year 2020: An overview. International Journal of Cancer, 2021. 149(4): p. 778-789.
  2. Breastcancer.org. Breast Cancer Risk Factors. 2020 [cited 2022 08.08.2022]; Available from: https://www.breastcancer.org/symptoms/understand_bc/risk/factors.
  3. Coughlin, S.S., Epidemiology of Breast Cancer in Women. Adv Exp Med Biol, 2019. 1152: p. 9-29.
  4. Society, A.C. Lifestyle-related Breast Cancer Risk Factors. 2021 [cited 2022 2022-08-08]; Available from: https://www.cancer.org/cancer/breast-cancer/risk-and-prevention/lifestyle-related-breast-cancer-risk-factors.html.
  5. Gaudet, M.M., G.L. Gierach, B.D. Carter, J. Luo, R.L. Milne, E. Weiderpass, et al., Pooled Analysis of Nine Cohorts Reveals Breast Cancer Risk Factors by Tumor Molecular Subtype. Cancer Res, 2018. 78(20): p. 6011-6021.
  6. Parkin, D.M., L. Boyd, and L.C. Walker, 16. The fraction of cancer attributable to lifestyle and environmental factors in the UK in 2010. Br J Cancer, 2011. 105 Suppl 2(Suppl 2): p. S77-81.
  7. Brown, K.F., H. Rumgay, C. Dunlop, M. Ryan, F. Quartly, A. Cox, et al., The fraction of cancer attributable to modifiable risk factors in England, Wales, Scotland, Northern Ireland, and the United Kingdom in 2015. Br J Cancer, 2018. 118(8): p. 1130-1141.
  8. van Roekel, E.H., L. Trijsburg, N. Assi, M. Carayol, D. Achaintre, N. Murphy, et al., Circulating Metabolites Associated with Alcohol Intake in the European Prospective Investigation into Cancer and Nutrition Cohort. Nutrients, 2018. 10(5).
  9. Carayol, M., M.F. Leitzmann, P. Ferrari, R. Zamora-Ros, D. Achaintre, M. Stepien, et al., Blood Metabolic Signatures of Body Mass Index: A Targeted Metabolomics Study in the EPIC Cohort. J Proteome Res, 2017. 16(9): p. 3137-3146.
  10. Lecuyer, L., C. Dalle, S. Lefevre-Arbogast, P. Micheau, B. Lyan, A. Rossary, et al., Diet-Related Metabolomic Signature of Long-Term Breast Cancer Risk Using Penalized Regression: An Exploratory Study in the SU.VI.MAX Cohort. Cancer Epidemiol Biomarkers Prev, 2020. 29(2): p. 396-405.
  11. Lecuyer, L., A. Victor Bala, M. Deschasaux, N. Bouchemal, M. Nawfal Triba, M.P. Vasson, et al., NMR metabolomic signatures reveal predictive plasma metabolites associated with long-term risk of developing breast cancer. Int J Epidemiol, 2018. 47(2): p. 484-494.
  12. His, M., V. Viallon, L. Dossus, A. Gicquiau, D. Achaintre, A. Scalbert, et al., Prospective analysis of circulating metabolites and breast cancer in EPIC. BMC Med, 2019. 17(1): p. 178.
  13. Feingold, K.R. and C. Grunfeld, Introduction to Lipids and Lipoproteins, in Endotext, K.R. Feingold, et al., Editors. 2000: South Dartmouth (MA).

 

Please sign in or register for FREE

If you are a registered user on Research Communities by Springer Nature, please sign in

Follow the Topic

Cancer Biology
Life Sciences > Biological Sciences > Cancer Biology