Magnetically-aligned hydroxide-conducting channels in anion exchange membranes for fuel cells with high durability
Published in Materials
Practical anion exchange membrane fuel cells (AEMFCs) rely on efficient hydroxide anion transport from cathode to anode through anion exchange membranes (AEMs). However, most AEMs exhibit isotropic anion conductivity, or worse, unfavorable anisotropy with lower anion conductivity in the through-plane (TP) direction compared with the in-plane (IP) direction, leading to inefficient transport. Even commonly used strategies such as phase-separated morphology often fail to address this problem. Some efforts toward enhancing anion conductivity specifically in the TP direction using electric field or magnetic field alignment have achieved only limited success.
We address this challenge to make TP-aligned channels in a paramagnetic ferrocenium AEM by using a magnetic field. Such strategy extends our recently developed membrane materials with both magnetic responsiveness and conducting ability for the proton exchange counterpart (Nature Communications, 2019 10, 842; Energy & Environmental Science, 2020 13, 297‒309). High-molecular-weight backbone-chemically-inert poly(vinyl ferrocene) (PF) is synthesized according to Figure 1. Ligand exchange on PF activates the alkyl-substituent effect to improve stability and provides the corresponding ligand-exchanged PF (LPF). Partial oxidation (i.e. ionization to create a positive charge) from ferrocene to ferrocenium renders polymers with appropriate ion exchange capacity, which aims to balance satisfactory conductivity with appropriate dimensional swelling and mechanical strength. The partially ionized PF and LPF are exchanged to hydroxide counter ions, denoted as PF-OH and LPF-OH, respectively.
Figure 1. Synthetic pathway to ferrocenium polymers
The paramagnetic polymers are solution cast under a magnetic field, giving TP-oriented highly conductive PF-OH and LPF-OH AEMs (MMs – magnetically-cast membranes), denoted as MM-PF-OH and MM-LPF-OH. Comparative membranes made without magnetic field (NMs – non-magnetically-cast membranes) are denoted as NM-PF-OH and NM-LPF-OH. Figure 2 shows the remarkable morphology differences between MMs and NMs observed by transmission electron microscopy (TEM), demonstrating the efficacy of the magnetic field in creating oriented hydroxide channel structures.

Figure 2. TEM images and graphical illustration for the microstructure of NMs and MMs
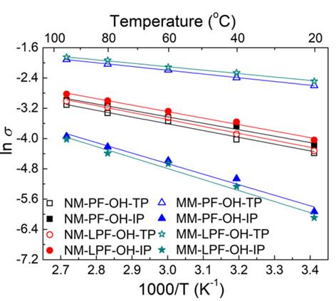
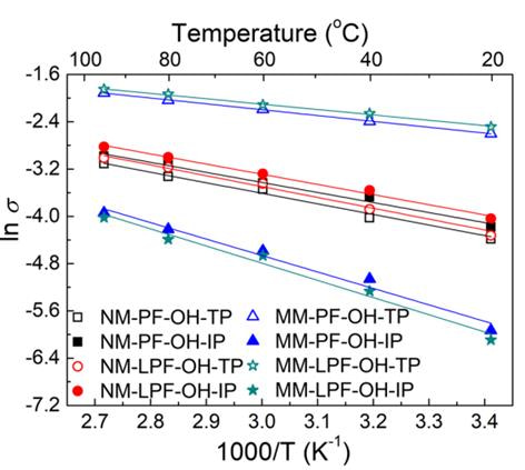
MMs with TP-oriented channels have remarkably higher hydroxide ion conductivities (σ) in the TP direction than the IP direction (Figure 3), with σTP/σIP ratios of 8.9 ~ 36.8, depending on the temperature. The σTP/σIP ratio for MM-LPF-OH is also slightly higher than MM-PF-OH, because of the higher degree of polymer orientation. Moreover, the TP hydroxide ion conductivities of MMs vs. NMs are 3.1 ~ 6.3 higher at various temperatures, suggesting more efficient transport across the membrane in an AEMFC configuration.

Figure 3. Comparative Arrhenius plots of TP and IP OH− conductivity of NMs and MMs in water. The magnetically-aligned membranes show remarkably higher conductivity in the TP direction compared with the IP direction.
Apart from high anion conductivity, alkali stability is of vital importance for AEMs. The majority of AEMs employ quaternary ammonium (QA) anion-conducting groups, which usually have inferior alkali stability, especially at elevated temperatures. Current studies on AEMFCs mostly employ operating temperatures of 60 ~ 80 oC, which are less realistic temperatures for practical operation. The importance and benefits of elevating AEMFC operating temperatures to at least 80 oC, and preferably higher has been well recognized by some of the influential AEMFC research groups and by the US Department of Energy. This calls for effective materials that can withstand use in AEMFCs running at higher temperatures. Gratifyingly, the ferrocenium-based AEMs in this work appear to satisfy this very demand. On the one hand, the particular nature of this ferrocenium metallocene salt may allow higher temperature endurance; on the other hand, the magnetic field-induced mixed-valence state facilitates improved alkali stability. Thus, the magnetic field applied on this ferrocenium system has a dual function, contributing to both conductivity and stability. The MMs may allow a higher AEMFC operating temperature of 120 oC, while achieving substantial durability (Figure 4), where the low extent of both voltage loss and high frequency resistance (HFR) are evident. Higher operating temperature suggests a possible paradigm shift to circumvent the long-standing temperature limitations for AEMFC operation due to the use of conventional QA-based AEM/ionomer materials.

Figure 4. Constant current density test (500 mA cm-2) with real-time monitored HFR of the AEMFCs based on MMs at 120 oC and 40% RH.
The TP-oriented morphology structure and mixed-valence metallocene chemical structure is an alternative approach for performance optimization in AEMs beyond conventional phase-separated morphology strategies. The magnetic field-induced mixed-valence state displays unexpected alkali and redox stability, which is not accessible under normal conditions, giving an instructive perspective toward further materials innovation. Due to the wide practicability of AEMs in fuel cells, as well as CO2 and water electrolyzers, this archetypal material may also find utilization in various fields of renewable and clean energy. Moreover, other areas that require oriented mass transfer, including battery separators and membranes, may see substantial performance improvements if oriented transport channel structures could be constructed.
To conclude, this work reveals promising avenues for developing next generation AEMs with an attractive combination of high performance and robust durability. Several original scientific contributions to AEMFC research field are: (A) magnetic field to create oriented AEM ion transport channels, (B) much higher membrane conductivity in the TP versus IP direction, (C) no appreciable conductivity loss for the duration of the longest alkali stability test reported so far, (D) simultaneous improvements in membrane conductivity and stability, (E) lowest AEM thickness-normalized HFR beyond those with phase-separated morphology, and (F) AEMFC operation and substantial durability at 120 oC and 40% RH, which are the harshest conditions and highest temperature reported until now. Operating AEMFCs at elevated temperature (120 oC) and low RH (40% RH) may lead to a number of further possible benefits. These may include, (A) promoting the reaction kinetics on electrodes, (B) mitigating catalyst poisoning by CO and membrane carbonation from CO2 by high temperature desorption/purging, (C) reducing water flooding in the anode, (D) enhancing water diffusivity through the membrane, overcoming water management issues, (E) improving the efficiency of waste heat utilization because of a bigger temperature difference between cell stack and coolant, and (F) simplifying of cooling and humidifying systems.
For detailed information, please see our published article in Nature Energy:
Follow the Topic
-
Nature Energy
Publishing monthly, this journal is dedicated to exploring all aspects of this on-going discussion, from the generation and storage of energy, to its distribution and management, the needs and demands of the different actors, and the impacts that energy technologies and policies have on societies.
Related Collections
With Collections, you can get published faster and increase your visibility.
Microgrids and Distributed Energy Systems
Publishing Model: Hybrid
Deadline: Mar 31, 2026
Please sign in or register for FREE
If you are a registered user on Research Communities by Springer Nature, please sign in