Probe for bound states of SU(3) fermions and colour deconfinement

Published in Physics

Like

Share this post

Choose a social network to share with, or copy the URL to share elsewhere

This is a representation of how your post may appear on social media. The actual post will vary between social networks

Ultracold atoms have emerged as strong contenders amongst the various quantum systems relevant for developing and implementing quantum technologies due to the unprecedented degree of control and enhanced flexibility of the operating conditions. Recent breakthroughs in micro-optics technology paved the way for engineering atomic circuits in various architectures [1]. Ring-shaped geometries, which are the simplest instances of these circuits, are particularly interesting. In such circuits, a guided matter-wave, specifically a persistent current, can be generated by applying an effective magnetic field [2]. One of the peculiar knobs that can be exploited in cold atoms is the statistics of the quantum fluid flowing in the ring, be they bosons, fermions, or a mixture thereof. Naturally, the persistent current can exhibit specific dependencies and attributes depending on the nature of the quantum matter constituting it. Indeed, such quantum fluids enjoy specific physical properties and quantization rules, which are expected to be harnessed in atomic circuital elements with unique features [1,2].

Figure 1: Schematic picture of persistent currents in an attracting SU(3) fermionic system.  A bound state of attractive SU(3) fermions, depicted by blue, green, and red spheres enclosed in a transparent one, residing on a ring-shaped optical lattice, pierced an effective magnetic flux  (green arrows).

In this work, we explore persistent currents generated in a ring-shaped quantum gas of strongly interacting N-component fermions, the so-called SU(N) fermions. These multicomponent fermionic systems, provided by alkaline earth-like atoms such as strontium and ytterbium, extend beyond the physics of the ubiquitous two-component fermions found in condensed matter systems [3,4]. Multicomponent fermions with attractive interactions are particularly interesting since they can form bound states of different types and natures due to the relaxation of the Pauli exclusion principle. 

Here, we consider multicomponent fermions with attractive interactions. Specifically, we focus our attention on SU(3) fermions for two reasons: (i) On one hand, they can provide us with the characteristic features of bound states that can be formed for the general cases of N>2; (ii) On the other, three-component fermions are especially interesting since their bound states are potentially able to mimic quarks and specific aspects of quantum chromodynamics (QCD). To be precise, SU(3) fermions are capable of forming two types of bound states: colour superfluids (CSFs), where two colours are paired and one is unpaired; and trions in which all colours are bounded. CSFs and trions are the analogues of mesons and hadrons in quantum chromodynamics (QCD) [3], providing a potential avenue to study and analyse specific aspects of QCD in ultracold atom platforms. Despite these bound states being thoroughly analysed in the literature, devising physical observables paving the way to explore the nature of the SU(3) bound states in cold atoms systems remains a challenging problem. Our work demonstrates how the persistent current, an experimentally accessible quantity generated in a ring-shaped gas of strongly attracting three-component fermions (see Fig. 1), can provide the sought-after observable to study the problem. 

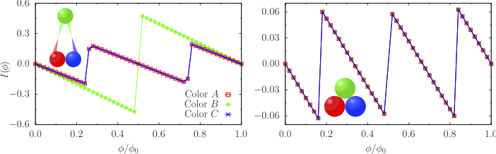
Figure 2: Persistent currents of colour superfluids (CSFs) and trions. Persistent current of the three colours (red squares, green circles, blue crosses) against the effective magnetic flux. Panels (a) and (b) depict the persistent current of a CSF and trion, respectively.

Our analysis hinges on the fact that the periodicity of the persistent current displays distinctive properties inherently reflecting important aspects of the system [1,2]. For our specific system of attractive three-component fermions, a reduced tri-partite periodicity indicates that three-colour bound states are formed, irrespective of the number of particles (right panel of Fig. 2). Such is the case of N=3, which can be extended for SU(N) attracting fermions with bound states formed by N particles. However, the CSF case paints a different picture (left panel of Fig. 2). Since we are in the canonical ensemble, we can only obtain CSFs by breaking the SU(3) symmetry explicitly by choosing asymmetric interactions between the colours. For the strongly interacting colours (A and C as depicted in Fig. 2), the current experiences a halved periodicity reflecting the formation of a two-body bound state. The other colour, which is essentially free, retains its single-particle frequency. 

Figure 3: Persistent current dependence on the interplay between temperature and interaction. Persistent current of SU(3) symmetric fermions for various interactions  (temperatures) in the upper (lower) panel. Top panels (a)-(c) for fixed temperature and varying interaction: persistent current fractionalizes with increasing interaction with the bare period being reduced by 1/3 at strong interactions. Bottom panels (d)-(f) for fixed interaction and increasing temperature, the current regains its original period.

Additionally, we performed a quantitative analysis of the persistent current dependence on the interplay between interaction and temperature, obtaining specific laws describing it —see Fig. 3. For fixed interactions and increasing temperature (lower panel of Fig. 3), besides the generic smoothening of the current, we observe that it re-acquires its single-particle frequency. Qualitatively the temperature mimics a reduction in interaction strength, a sort of ‘de-fractionalization’. Essentially, we have a crossover from a colourless bound state to coloured multiplets without explicit SU(3) symmetry breaking, mediated by the interplay between temperature and interaction. 

Finally, we point out that the deconfinement of the bound states bears striking similarities with Quark-Gluon plasma formation at large temperatures and small baryonic densities in QCD. It is important to stress that our system is only an analogue since the model employed lacks key features of quark matter, such as string breaking and colour charge screening. 

In summary, we have shown how the persistent current is able to distinguish between the different bound states of three-component fermions. Furthermore, through analysis of finite temperature effects of persistent currents we observed a specific deconfinement of the bound states.

References

[1] Amico, L. et al. Roadmap on atomtronics: state of the art and perspective. AVS Quant.  Sci. 3, 039201 (2021). 

[2] Amico, L. et al. Colloquium: Atomtronic circuits: from many-body physics to quantum technologies. Rev. Mod. Phys. 94, 041001 (2022). 

[3] Guan, X.-W., Batchelor, M. T. & Lee, C. Fermi gases in one dimension: from Bethe  ansatz to experiments. Rev. Mod. Phys. 85, 1633–1691 (2013). 

[4] Cazalilla, M. A. & Rey, A. M. Ultracold Fermi gases with emergent SU(N) symmetry. Rep. Prog. Phys. 77, 124401 (2014). 

Please sign in or register for FREE

If you are a registered user on Research Communities by Springer Nature, please sign in

Follow the Topic

Physics and Astronomy
Physical Sciences > Physics and Astronomy

Related Collections

With Collections, you can get published faster and increase your visibility.

Relativistic Astrophysical Plasmas in space and the lab

From particle acceleration near the speed of light to plasma dynamics in the presence of intense electromagnetic fields, this collection highlights the transformative discoveries and innovative techniques pushing the boundaries of modern plasma physics. We aim to showcase new horizons in the study of the fundamental processes that govern high-energy astrophysical phenomena, providing a deeper understanding of the universe and driving progress in relativistic and ultrarelativistic laboratory astrophysics.

Publishing Model: Open Access

Deadline: Jun 30, 2026

Physics-Informed Machine Learning

This cross-journal Collection between Nature Communications, Nature Computational Science, Communications Physics, Communications AI & Computing, and Scientific Reports brings together the advances in Physics-Informed Machine Learning.

Publishing Model: Hybrid

Deadline: May 31, 2026