Reformulating risk stratification in hematological cancer: a tale of two myelomas

Machine learning is challenging our preconceived ideas about cancer risk stratification. In the present work, we observed that a 2-cluster based classification outperforms the classical 3-cluster risk classification in newly diagnosed Multiple Myeloma

Published in Cancer

Reformulating risk stratification in hematological cancer: a tale of two myelomas
Like

Share this post

Choose a social network to share with, or copy the URL to share elsewhere

This is a representation of how your post may appear on social media. The actual post will vary between social networks

Multiple Myeloma risk has been traditionally stratified according to the International Staging Systems (ISS). This score, published in 2002, is based on B2-microglobulin and albumin levels, and it identified 3 groups of patients with different survival: stage I, II and III compresied 28.9%, 37.5% and 33.6% of patients, respectively. However, with the implementation of cytogenetic techniques in the last decades, significant advances in myeloma prognostication have been made. A consensus was formulated about the adverse prognosis induced by t(4;14), t(4,16) and del(17p). At the same time, the adverse impact of an increased baseline lactate dehydrogenase (LDH) was also clearly documented. Consequently, a new score taking into account this new information was necessary. 

In 2015, the Revised ISS (R-ISS) was proposed. The new score defined the following groups: R-ISS I (28.5% of patients), including ISS stage I (serum β2-microglobulin level < 3.5 mg/L and serum albumin level ≥ 3.5 g/dL), no high risk cytogenetics [del(17p) and/or t(4;14) and/or t(14;16)], and normal LDH level (less than the upper limit of normal range); R-ISS III (9.6% of patients), including ISS stage III (serum β2-microglobulin level > 5.5 mg/L) and high risk cytogenetics or high LDH level; and R-ISS II (61.9% of patients), including all the other possible combinations. This new score has been extensively validated in retrospective and prospective cohorts. An advantage over the ISS relies on the fact that it can identify a proportion of patients with very high risk disease. However, a majority of patients are ascribed to the intermediate risk group. A major limitation of this new score resides in the fact that its accuracy to predict survival is similar to that of the ISS. Therefore, improvements of the R-ISS capable of fine-tuning MM risk stratification are needed. 

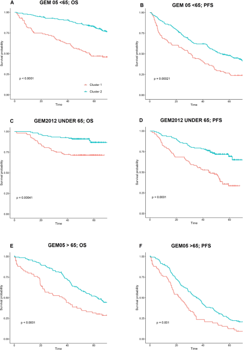
In a new study titled Unsupervised Machine Learning improves risk stratification in newly diagnosed Multiple Myeloma: an analysis of the Spanish Myeloma Group, we evaluated the possibility of improving MM risk stratification by applying unsupervised machine learning techniques. With this aim, we analyzed clinical, biochemical and cytogenetics data from newly diagnosed MM patients recruited in 3 different trials developed by the Spanish Myeloma Group (GEM/Pethema). To our surprise, the best prognostic score comprised just 2 patient clusters. Remarkably, this model achieved higher accuracy than the ISS and the R-ISS in the prediction of survival across the 3 trials. We discovered that the model assigned all R-ISS II patients to either the low or high risk cluster, whereas those patients with R-ISS I or III remained in their respective low and high risk groups. When we evaluated the reasons for this stratification, we noted that all patients with high LDH or high risk cytogenetics were assigned to the high risk group. Nevertheless, a variable proportion of R-ISS II patients who didn’t have these alterations were assigned to the high risk group too, and their survival was not different from the remaining high risk patients. Understanding the reason for this classification will require a little bit of peeking into the black box of machine learning. 

The novel model expands our conception about high risk myeloma, and its role needs to be evaluated in the context of new immunotherapies (e.g., daratumumab). Additionally, it will be of interest to evaluate its role when combined with other prognostic features such as circulating plasma cells and gene expression signatures. The present work is another example of how deeply machine learning will impact the field of oncohematology,  reformulating our previous conceptions about disease, and potentially changing our clinical practice. Now, more than ever, the development of high quality data banks with information about patients treated in the real world or in clinical trials will become a watershed moment for precision medicine in oncohematology.


References

  1. Greipp PR, San Miguel J, Durie BG, Crowley JJ, Barlogie B, Bladé J, et al. International staging system for multiple myeloma. J Clin Oncol. 2005 May 20;23(15):3412-20. doi: 10.1200/JCO.2005.04.242. Epub 2005 Apr 4. Erratum in: J Clin Oncol. 2005 Sep 1;23(25):6281. Harousseau, Jean-Luc [corrected to Avet-Loiseau, Herve]. PMID: 15809451.
  2. Palumbo A, Avet-Loiseau H, Oliva S, Lokhorst HM, Goldschmidt H, Rosinol L, et al. Revised International Staging System for Multiple Myeloma: A Report From International Myeloma Working Group. J Clin Oncol. 2015 Sep 10;33(26):2863-9. doi: 10.1200/JCO.2015.61.2267. Epub 2015 Aug 3. PMID: 26240224; PMCID: PMC4846284.
  3. Schavgoulidze A, Lauwers-Cances V, Perrot A, Avet-Loiseau H and Corre J. The Discriminatory Ability of the R-ISS Is Equivalent to the ISS in a Large Cohort of Newly Diagnosed Multiple Myeloma (NDMM) Patients. Blood. Volume 136, Supplement 1, 5 November 2020, Pages 46-47
  4. Fernández de Larrea C, Kyle R, Rosiñol L, Paiva B, Engelhardt M, Usmani S, et al. Primary plasma cell leukemia: consensus definition by the International Myeloma Working Group according to peripheral blood plasma cell percentage. Blood Cancer J. 2021 Dec 2;11(12):192. doi: 10.1038/s41408-021-00587-0. PMID: 34857730; PMCID: PMC8640034.
  5. Mosquera Orgueira A, González Pérez MS, Díaz Arias JÁ, Antelo Rodríguez B, Alonso Vence N, Bendaña López Á, et al. Survival prediction and treatment optimization of multiple myeloma patients using machine-learning models based on clinical and gene expression data. Leukemia. 2021 Oct;35(10):2924-2935. doi: 10.1038/s41375-021-01286-2. Epub 2021 May 18. PMID: 34007046.

Please sign in or register for FREE

If you are a registered user on Research Communities by Springer Nature, please sign in