The contribution of energy policies in the energy transition of Asia-Pacific emerging economies
Published in Sustainability
Emerging economies are influencing economic growth and energy consumption, which play an increasingly important role in the world landscape. The Asia-Pacific (APAC) has been the most dynamic region of the global economic development and energy demand recently, but its clean energy transition is lagging, where the emerging economies (account for around 80%) are largely responsible. The proportion of renewable energy in overall energy use has fallen from 22.7% in 2000 to 16% in 2019 while greenhouse gas (GHG) emissions have doubled, accounting for half of the world’s emissions. Many countries in the APAC region are heavily dependent on conventional energy sources with unpredictable levels of energy poverty and volatility in energy prices.
In the last two decades, APAC emerging economies have witnessed a series of policies to achieve the energy transition, particularly in relation to the promotion of electrification and renewable energy capacity. However, there are significant differences in the institutional, economic and resource endowments of countries in the APAC region, and there is considerable uncertainty in the development of their policy frameworks and regulatory environments, as well as significant disparities in the stages of energy transition across countries. It is therefore challenging to measure the relationship between energy policy and energy transition from a regional perspective because of the lack of a quantitative research framework.
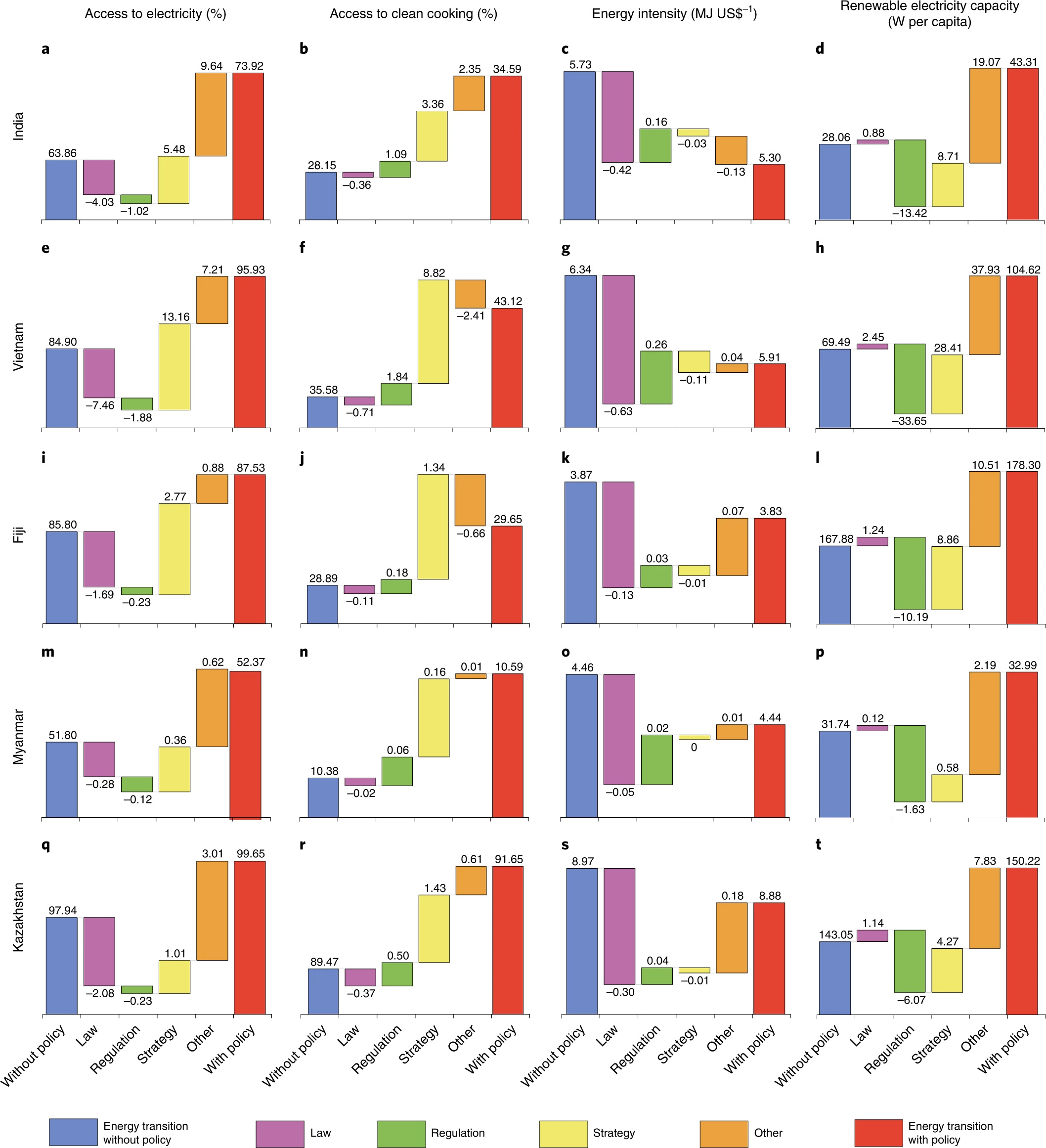
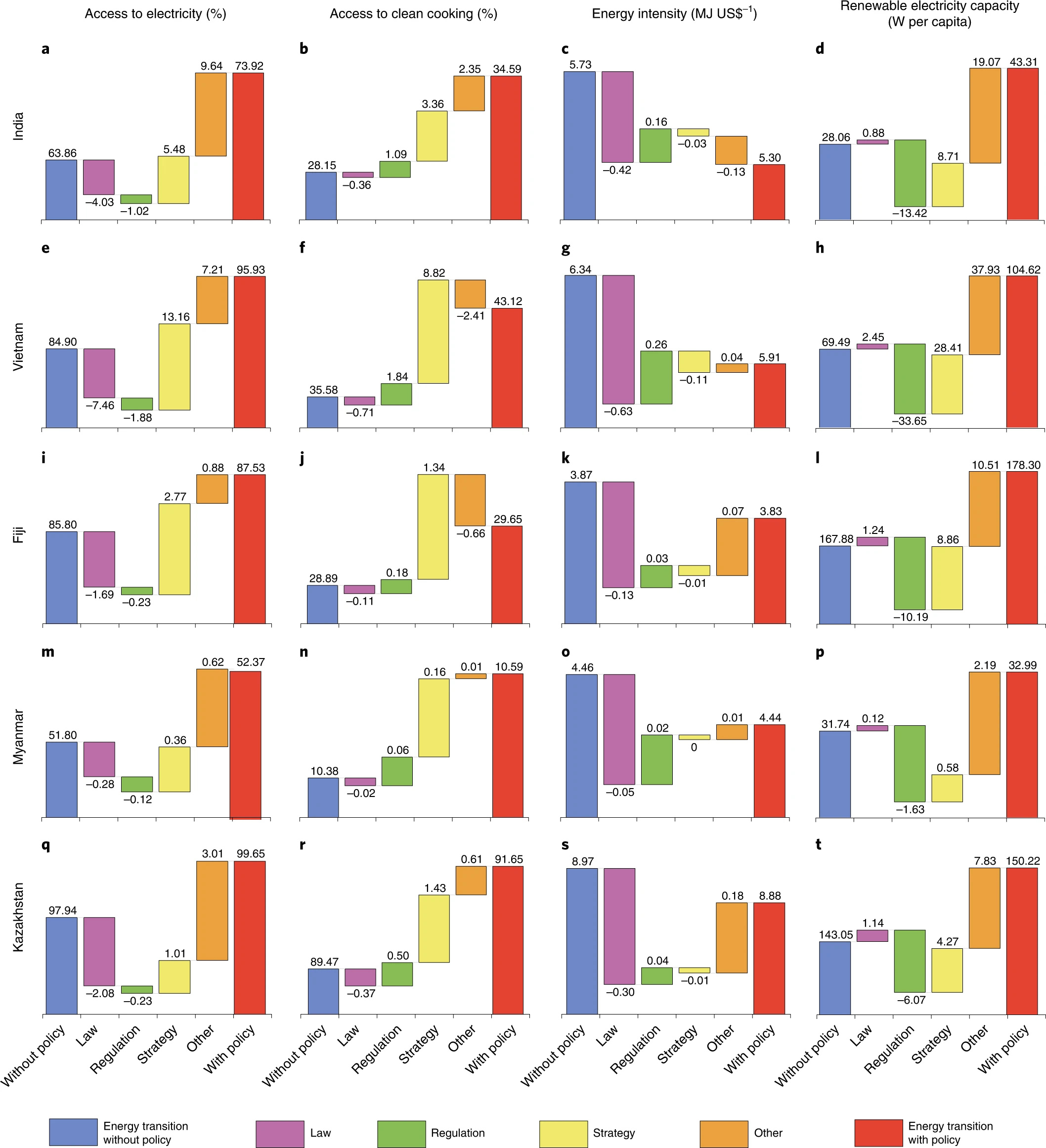
In a new paper in Nature Energy, we innovatively construct counterfactual policy effects through policy text analysis and statistical methods, contributing to providing a quantitative assessment framework of the aggregate effect of energy policies on APAC emerging economies’ energy transition. First, we use indicators of the Sustainable Development Goal 7 (SDG7) targets to track the progress of energy transition. Then, we employ the Asia Pacific Energy Portal Policy database, which has good coverage of 42 emerging economies in the APAC region and a track on 2112 energy policies over the period 2000-2017, to further analyse the effect of energy policies. We find that energy policies have contributed to improving access to electricity (3.0%), access to clean cooking (3.8%), energy efficiency (1.4%) and renewable electricity capacity (6.9%), respectively (Figure 1).

Fig 1: Performance of APAC emerging economies’ energy transition with and without energy policy.
Among different types of energy policies (strategies, laws and regulations), strategies have greater impacts on advancing electrification, clean cooking and renewable electricity capacity than laws and regulations, whereas the laws are more effective for achieving energy efficiency (Figure 2). In general, we can conclude that in order to support energy access and renewable electricity capacity, strategies should be prioritized. In the case of energy efficiency, countries in APAC can benefit more from legislative frameworks. To sum up, different energy policies have had various effects on the energy transition of different countries. Countries need specific combinations of policies tailored to their specific needs to progress with the energy transition.

Fig 2: Impact of different types of energy policies on energy transition in typical economies.
Energy policies have significant effects on the energy transition in the APAC region, however, the region requires increased action in national policy commitments for energy transition targets. For example, the transition of energy access needs a combination of improved on-grid electricity and the promotion of clean cooking solutions. Furthermore, energy policy implementation can increase benefits, and effective implementation needs to be complemented by suitable policies and requires a stable political environment. Meanwhile, the political stability and administrative efficiency of the country can affect the realisation of the energy transition by improving the credibility of policies. Overall, to achieve the energy transition goals, economies in the APAC region need more effective energy policies.
We would also like to note that information regarding the United Nations has stated in 2020 that the APAC region is likely to fail to meet the 2030 SDGs. Our analytical results can help policymakers track and target effective policy mixes for energy transition. The findings can also be used by integrated assessment models of sustainable development and policymaking in the emerging economies, providing insights into the pathways for future energy transition and the implementation of policy types in other developing countries.
Follow the Topic
-
Nature Energy
Publishing monthly, this journal is dedicated to exploring all aspects of this on-going discussion, from the generation and storage of energy, to its distribution and management, the needs and demands of the different actors, and the impacts that energy technologies and policies have on societies.
What are SDG Topics?
An introduction to Sustainable Development Goals (SDGs) Topics and their role in highlighting sustainable development research.
Continue reading announcementRelated Collections
With Collections, you can get published faster and increase your visibility.
Microgrids and Distributed Energy Systems
Publishing Model: Hybrid
Deadline: Mar 31, 2026
Please sign in or register for FREE
If you are a registered user on Research Communities by Springer Nature, please sign in