The Money Advantage is Stronger in WEIRD Cultures

What motivates people to work hard? The most obvious answer is money. Economics tells us that people work first and foremost to get paid. However, a new study from our lab finds this model of human behavior works a lot better in some cultures than others. 
The Money Advantage is Stronger in WEIRD Cultures
Like

Share this post

Choose a social network to share with, or copy the URL to share elsewhere

This is a representation of how your post may appear on social media. The actual post will vary between social networks

What motivates people to work hard? The most obvious answer is money. Economics tells us that people work first and foremost to get paid. They endure the pain and drudgery of work so that they can taste the pleasures of leisure and consumption. However, a new study from our lab finds this model of human behavior works a lot better in some cultures than others. 

What Motivates People to Push Through Boring Tasks?

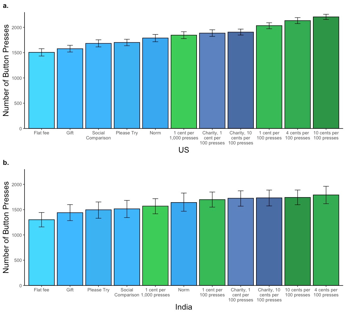
The economic model of why people work has a lot of data to support it. In one study, a team of economists asked 12,838 people to work on a boring, repetitive task. Workers had to push the “a” and “b” buttons as many times as they could for ten minutes.

Some people earned more money for pressing more buttons (what economists call “piece rates”). Some people think of this pay-per-unit-of-work as the gold standard of incentives. The rule is simple: you work more; you get paid more. You exchange your time and labor for money.  

Thus, it wasn’t surprising that paying people piece rates motivated them to work harder than just paying a flat rate regardless of how many times they pushed the buttons. And raising the piece rate even higher motivated them to work still harder. So far so good for the economic model.

Yet, even Adam Smith and Gary Becker would agree that people get utility not only from money. After all, people do things for lots of different motivations, such as following norms or wanting to be nice to other people.

So the economists tested several non-monetary ways to motivate people. For example, in one condition, they told participants that other workers clicked the buttons over 2,000 times—a social norm. In another condition, they simply asked them to please try hard.

They also tried using money but not in a piece-rate way. For example, in one condition, people who clicked more buttons generated more money, but that money went to charity.

Sure enough, the data fit the classic economic prediction. People worked much harder for money than for all the psychological motivators. 

Does Mainstream Economic Theory Apply More to Some Cultures Than to Others?

But we thought there might be more to the story. The economists used a website to recruit participants that are mostly Americans, but that site also has a lot of workers from India.

So we split their data out by culture. When we did that, the story changed. In India, some psychological incentives motivated people just as much as getting paid. For example, they worked as hard when the money went to charity as when it went to themselves.

Individual Conditions by Countries (DellaVigna & Pope, 2018).

To compare the different conditions, we calculated the overall “money advantage,” which is how much more effective money was at motivating people than all the psychological nudges. In the US, the money advantage was almost twice as large as in India.

The Money Advantage Depends on Culture

We found clues about cultural differences in this earlier data, but all we could do was compare two cultures. In addition, the original researchers did not design their studies with culture in mind. So we developed new tests in six countries, two WEIRD (the US and the UK) and four “non-WEIRD” (China, India, Mexico, and South Africa). We wanted to test non-WEIRD cultures because researchers have argued that too much of our understanding of human behavior comes from studies done in Western, Educated, Industrialized, Rich, and Democratic cultures. 

Image-Classification Task

We created a simple image-classification task that people could do easily across cultures. They saw a picture and answered whether it had a building or not. Again, we paid some people per image. Others we paid a flat rate. And still others got the flat rate plus a social norm. Like before, the money advantage was larger in the US and the UK than in China, India, Mexico, and South Africa.

Image-Classification Task. Photo Credit: MasterPhoto-DK

A sensical economic prediction is that people should stop working as soon as they stop getting paid. So we told participants how many images they needed to complete in order to get the full payment. In one of our studies, more than half of US workers quit the task as soon as they could. In Mexico, 90% of people kept working even beyond the contractual minimum.

These results are particularly surprising because the same dollar goes a lot further in poorer countries. A dollar is worth more in Mexico than it does in the US. Yet money was less motivating in places where it buys more. When we increased the pay in Western countries to adjust for local purchasing power, the difference in the money advantage grew even larger. 

Monetary Versus Pooled Non-Monetary Conditions by Countries for Studies 2a-2c.

The Money Advantage was Larger in the US and UK and Smaller in Non-WEIRD Cultures.

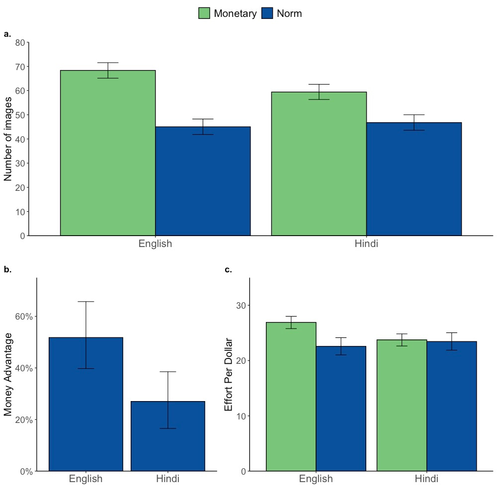
Randomly Assigning Culture

The cultural differences were reliable, but there’s a problem. How do we know that the results are due to culture versus something more mundane like how much people believe they will actually receive their bonus for trying harder?

In the next study, we tried to get as close as we could to “randomly assigning” culture. We recruited participants in India and randomly assigned half of them to work in English and the other half in Hindi. The idea was that taking the study in English would activate a more WEIRD mindset.

Even when the only difference was the language, the difference emerged again. Money was more motivating in English than in Hindi. People who worked in English were also more likely to agree with the statement that they completed the task “only for money.” 

Money was More Motivating in English Than in Hindi.

Contracts versus Connections

Why is money less effective outside of the West? We suspect the reason is that cultures have different defaults for how to interpret work. In one vision, work is a relational obligation. In the WEIRD vision, work is a strict contractual transaction.

Seeing work as something that is bought and sold in a market has become the norm only with the rise of capitalism. Leaving their homes for work, people exit the social sphere and enter the economic world of production, where morals and relationships give way to efficiency and maximization. Workers abide by contracts, which give clear rules for transactions. They give and receive what the contract spells out. Obligations beyond the contract are for fools or suckers.

But formal contracts would probably seem strange or rigid to most people across human history. Instead, people interpret mutual obligations based on social relationships and norms. Because these relationships are ongoing, going above and beyond makes sense. It can earn loyalty and trust. People might not reciprocate immediately, but they usually will eventually.

Our findings should not be used to justify not paying people in some cultures. Non-monetary incentives are not substitutes for paying workers, and everyone in our studies received a fair salary. However, psychological nudges are often cost-effective tools at the disposal of managers and policy-makers, even in classically economic domains such as work. If anything, our studies suggest that nudges might be especially useful in less-wealthy countries. One reason for optimism is that psychological interventions may be the most effective in places where it is hardest to fund interventions. 

Reference

  1. DellaVigna, S. & Pope, D. What motivates effort? Evidence and expert forecasts. The Review of Economic Studies 85, 1029–1069 (2018).
  2. Henrich, J., Heine, S. J. & Norenzayan, A. The weirdest people in the world? Behavioral and Brain Sciences 33, 61–83 (2010).

Please sign in or register for FREE

If you are a registered user on Research Communities by Springer Nature, please sign in

Follow the Topic

Social Psychology
Humanities and Social Sciences > Behavioral Sciences and Psychology > Social Psychology
Work and Organizational Psychology
Humanities and Social Sciences > Behavioral Sciences and Psychology > Work and Organizational Psychology
Cross-Cultural Management
Humanities and Social Sciences > Business and Management > International Business > Cross-Cultural Management
Work Motivation
Humanities and Social Sciences > Behavioral Sciences and Psychology > Work and Organizational Psychology > Industrial Psychology > Work Motivation
Personnel Psychology
Humanities and Social Sciences > Behavioral Sciences and Psychology > Work and Organizational Psychology > Personnel Psychology

Ask the Editor – Collective decision-making

Got a question for the editor about Experimental Psychology and Social Psychology? Ask it here!

Continue reading announcement

Related Collections

With Collections, you can get published faster and increase your visibility.

Digital Media and Mental Health

The Editors at Nature Communications, Nature Human Behaviour, Nature Medicine and Communications Psychology welcome submissions examining the role of digital media in mental health.

Publishing Model: Hybrid

Deadline: Oct 30, 2026

Basic Psychological Needs and Well-Being

The Editors at Communications Psychology, Nature Human Behaviour, Nature Communications and Scientific Reports invite submissions that address the importance of psychological needs for well-being and mental health.

Publishing Model: Hybrid

Deadline: Nov 27, 2026