A microbiological survey of handwashing sinks in the hospital-built environment reveals differences in patient room and healthcare personnel sinks
Published in Microbiology
Handwashing sinks in healthcare facilities are reservoirs for potentially pathogenic and/or antibiotic-resistant microorganisms and have been linked to multiple outbreaks [1-4]. P-traps are typically installed just downstream from the sink drain with the purpose of preventing odorous gases from entering the built environment from the wastewater system. They also happen to be excellent incubators for microorganisms that live in the sink, wastewater, and premise plumbing environments.


Figure 1. Sink drain P-trap (left) and a heavily fouled/clogged P-trap.
Our CDC Division (Division of Healthcare Quality Promotion), recognizing that premise plumbing and premise wastewater systems could serve as a reservoir of antimicrobial-resistant pathogens, and other pathogens in the healthcare environment, established the “Water Management and Healthcare Associated Infections Work Group” to integrate innovative research and subject matter expertise to help provide guidance and improve patient safety in healthcare facilities (https://www.cdc.gov/hai/prevent/environment/water.html). The Biofilm Laboratory research team focuses on the role of microbial biofilms in healthcare-associated infections. Involvement of several members of our research team in the Work Group led to a great opportunity to develop a research collaboration with an acute care hospital. I (Lauren) joined the team just before the project started.
Development of sink sampling methods and sample collection in active intensive care units was an interesting challenge. Fortunately, the environmental surface sampling team at CDC has years of experience with method development for sampling, processing and testing samples from the healthcare environment. Additionally, Dr. Amy Mathers had previously published a clever method for collecting the P-trap water by feeding a long piece of tubing down the drain and pulling up the sample with a large syringe [5]. Collection of the P-trap biofilm is a new method that is described for the first time in this publication and involves removal of the entire P-trap and further processing in the lab to harvest the biofilm from the luminal surface of the P-trap. Collection of these samples involved coordinating with hospital facilities and engineering to remove and replace P-traps and working around patient and healthcare personnel activities to be minimally disruptive.

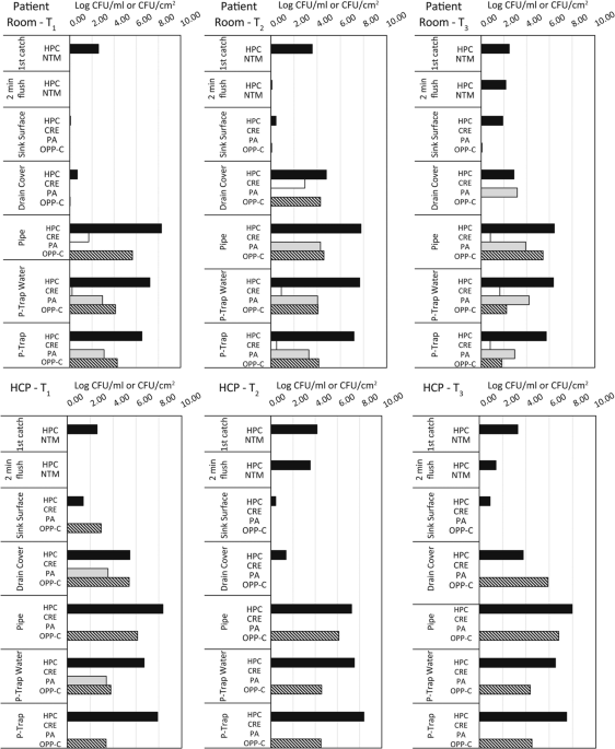
Figure 2. Sample collection points for handwashing sinks.

Figure 3. P-trap sampling and biofilm recovery.
In total, we collected 192 P-trap water samples, 56 P-trap biofilm samples, 128 tap water samples, and 24 each of sink surface, drain cover, and tail pipe samples. From the P-trap water samples, we could infer a few things based on the sample appearance alone: clear and soapy – someone just washed their hands; small hairs floating in the water – someone just shaved; repeated samples that were yellow in color – is urine being dumped down the sink? We asked, it wasn’t. The culture-based methods that we used to quantify target organisms of interest (Pseudomonas aeruginosa, carbapenem-resistant Enterobacteriaceae, and opportunistic plumbing pathogens capable of growth on a cefotaxime containing medium) yielded more informative results. We found that the sink surface, including the faucet handles, were regularly very clean (cleaner than the average household sink), thanks to environmental services diligent daily cleaning of the sinks. The drain cover is the point at which the concentration of target organisms sharply increased from almost undetectable above the drain cover to ≥106 CFU/cm2 in some samples below the drain cover. This high concentration of potentially pathogenic and/or antibiotic resistant microorganisms in proximity to patients and healthcare personnel reinforces the risk that sinks pose as reservoirs for healthcare-associated pathogens.
In our study design, we included sampling of healthcare personnel sinks as a control for how patient use and patient care activities influence the microbiology of the sink environment. Interestingly, we found that healthcare personnel sinks had higher concentrations of P. aeruginosa and opportunistic plumbing pathogens compared to patient room sinks; however, a greater percentage of isolates from patient room sinks were resistant to antibiotics compared to isolates from healthcare personnel sinks. This study did not capture sink usage activities, but we speculate that such differences could be due to sink usage or what is being dumped down the drain. Further study to understand the factors that contribute to increased antibiotic resistance and concentration of healthcare-associated pathogens is necessary to reduce the risk of healthcare-associated infections originating from the sink environment.
Disclaimer
The use of trade names and commercial sources is for identification only and does not imply endorsement by the Public Health Service or the U.S. Department of Health and Human Services. The findings and conclusions in this report are those of the authors and do not necessarily represent the official position of the U.S. CDC.
- Williams, M. M., Armbruster, C. R. & Arduino, M. J. Plumbing of hospital premises is a reservoir for opportunistically pathogenic microorganisms: a review. Biofouling 29, 147-162, doi:10.1080/08927014.2012.757308 (2013).
- Roux, D. et al. Contaminated sinks in intensive care units: an underestimated source of extended-spectrum beta-lactamase-producing Enterobacteriaceae in the patient environment. J Hosp Infect 85, 106-111, doi:10.1016/j.jhin.2013.07.006 (2013).
- Weingarten, R. A. et al. Genomic Analysis of Hospital Plumbing Reveals Diverse Reservoir of Bacterial Plasmids. Conferring Carbapenem Resistance. MBio 9, doi:10.1128/mBio.02011-17 (2018).
- Leitner, E. et al. Contaminated handwashing sinks as the source of a clonal outbreak of KPC-2-producing Klebsiella oxytoca on a hematology ward. Antimicrob Agents Chemother 59, 714-716, doi:10.1128/AAC.04306-14 (2015).
- Kotay, S. M. et al. Droplet- Rather than Aerosol-Mediated Dispersion Is the Primary Mechanism of Bacterial Transmission from Contaminated Hand-Washing Sink Traps. Appl Environ Microbiol 85, doi:10.1128/AEM.01997-18 (2019).
Follow the Topic
-
Scientific Reports
An open access journal publishing original research from across all areas of the natural sciences, psychology, medicine and engineering.
Related Collections
With Collections, you can get published faster and increase your visibility.
Computational biology and mathematical modelling of biological systems
Publishing Model: Open Access
Deadline: Jul 18, 2026
Water pollution and advanced treatment processes
Publishing Model: Hybrid
Deadline: May 31, 2026
Please sign in or register for FREE
If you are a registered user on Research Communities by Springer Nature, please sign in