All-Two-Dimensional-Material Hot Electron Transistor
Published in Electrical & Electronic Engineering

The idea of all-two-dimensional-material hot electron transistor (2D-HET) is inspired by the transfer hot electron tunneling amplifier (THETA) proposed in 1960s. The high-energy tunneling carriers and the thin base (channel) are two key factors to guarantee the high-speed operation. The pioneers in Bell laboratory and IBM explored the THETA fabricated by bulk III-V materials and developed the hot electron spectroscopy to study the nonequilibrium carrier transports, respectively. From the device point of view, however, the performance of the device is limited by the difficulty in thinning the base without inducing pinholes and increasing sheet resistance. In addition, unavoidable interface states and traps in the bulk materials contribute a lot to the scattering of the carriers, which limits the collection efficiency of carriers. Two-dimensional (2D) materials, including semi-metallic graphene (Gr), semi-conducting transition metal dichalcogenides (TMDs) and insulating h-BN, are expected to solve the above problems due to their atomic 2D nature, dangling-bond-free surfaces and van der Waals hetero-interfaces. Attempts have been made by using graphene as the base or 2D heterostructure as the base-collector junction. But the bulk parts in the device may still play a role in providing scattering centers to the ultra-sensitive graphene channel.
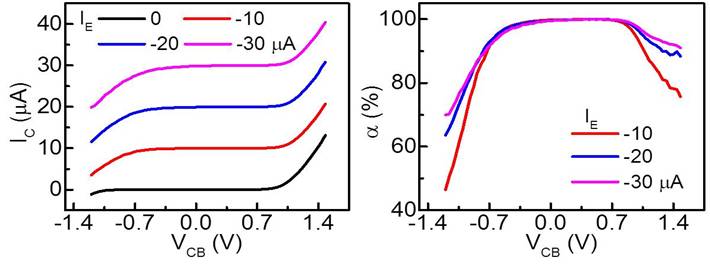
This study reports the 2D-HET which has an all-2D framework. In these devices, graphene is used as the base, sandwiched by the WSe2 or h-BN barrier materials. Another two few-layer graphene was used as the emitter and collector. The all-2D structure of hot electron transistor (HET) has several advantages. First, 2D materials have out-of-plane atomically thin body, enabling ultra-short channel down to single-layer limit. Second, 2D materials have dangling-bond-free surfaces and can form heterostructures via van der Waals coupling which is free of lattice mismatch issue. Third, large selectable ranges of bandgaps in different 2D materials (here exemplified by h-BN and WSe2) provide various options to optimize the barriers. The devices are fabricated by the dry-transfer methods, stacking different layers into heterostructures. The main challenge lies in the alignment process, where one must make sure the necessary overlap among the emitter, base and collector while preventing any short circuit. The short-circuit problem was solved by choosing ribbon-shaped graphene and relatively large-area barrier materials. The barrier height and thickness are crucial factors to the device performance. In the preliminary experiments, the authors focused on the Gr/WSe2/Gr/WSe2/Gr structure, which showed successful hot electron emission and collection with a moderate efficiency of ~10%. The symmetric barriers imply that the emitted electrons have energy similar to the base-collector barrier (BCB) height, and thus have a great chance to be back-scattered. To increase the emitting energy with respect to the BCB, Gr/h-BN/Gr/WSe2/Gr is demonstrated. As the barrier height at Gr/h-BN interface is much higher than that at the Gr/WSe2 interface and can give higher emitting energy, the devices with asymmetric barriers are expected to outperform those with symmetric barriers. Indeed, the collection efficiency and current density in the saturation region have reached 99.95% and 233 A/cm2, respectively.
The high performance of the 2D-HET shows enormous potential in device applications. Further engineering in the base and barriers is expected to improve the high-speed performance. The 2D-HET also provides a powerful platform to study the carrier transport in 2D materials, as the output current can also give the hot-electron spectroscopy of the base materials, which provide scientists cutting-edge and important creative ways to explore the in-depth physical properties of 2D materials.
The paper highlighted in the Front Cover of IEEE Electron Device Letters and selected by Editor’s pick is here:
https://ieeexplore.ieee.org/document/8304632/


Please sign in or register for FREE
If you are a registered user on Research Communities by Springer Nature, please sign in