Association of sleep fragmentation with general and abdominal obesity: a population-based longitudinal study
Published in Public Health
Sleep is an important physiological process that occupies at least one third of human life. Sleep fragmentation (SF) refers to shortened sleep bouts and frequent transitions between sleep and wake states. Notably, SF is commonly prevalent in the general population and in patients with sleep disturbance (Bonnet et al., 2003). SF usually caused by multiple frequent disorders such as sleep apnea, depression and asthma, or external environmental factors such as light, temperature, sound, caffeine, and pharmaceutical drugs (Liu et al., 2022; Saadat et al., 2021). Indeed, young adults are more susceptible to the impact of SF due to their excessive bedroom light exposure at night (such as e.g., excessive nighttime electronic media usage), academic and professional demands, and lifestyle changes (Fatima et al., 2016). In the long-term, fragmented sleep is associated with multiple adverse health outcomes, including obesity, cardiovascular and metabolic diseases, mental disorders, poorer cognition, and migraine (Bertisch et al., 2020; Bhagavan et al., 2021; Joiner et al., 2019; Wilcox et al., 2021; Zhao et al., 2021). Accordingly, understanding the effects of SF on human health, particularly in young adults is critical. Currently, actigraphy sleep monitors worn on the wrist are a valid measure of sleep in the free-living conditions and can objectively assess SF (Kushida et al., 2001).
In rodents, chronic SF promotes weight gain in young adult mice (Wang et al., 2014). However, to our knowledge, most of the prior studies investigating SF as a trigger of human obesity relied entirely on retrospective or subjective report of sleep and cross‐sectional study design. There is a gap in the existing knowledge regarding the independent role of SF as a temporal precedent of obesity in the free-living conditions. Therefore, we used data from an ongoing longitudinal survey of Chinese young adults, with the aim of examining the causal relationship between actigraphy-estimated SF with 1-year follow-up obesity parameters among healthy young adults, including body mass index (BMI), percentage of body fat (PBF), fat mass (FM), waist circumference (WC), and visceral fat area (VFA). Furthermore, the present study investigated the longitudinal associations between SF with BMI-based general obesity and WC-based abdominal obesity.

At baseline, participants completed a self‐administered questionnaire and received a physical examination in the Anhui Provincial Key Laboratory of Population Health and Aristogenics, including height, weight, and body composition (InBody S10; InBody Corp., Seoul, Korea). To objectively measure baseline sleep fragmentation parameters, participants were subsequently instructed to wear an accelerometer (GT3X-BT; ActiGraph Corp., Pensacola, USA) on their nondominant wrist for 7 consecutive days along with a concurrent sleep diary. During the 1-year follow-up, participants were asked to complete a questionnaire and physical examination (including height, weight, and body composition) in the same laboratory (consistent with baseline). Finally, 319 participants with complete baseline accelerometer, baseline and 1-year follow-up body composition data were included in the statistical analyses.

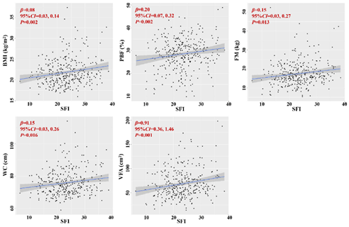
At baseline, the mean age of the study population was 18.7 years old (SD = 0.9) and 139 (35.7%) were male. In this cohort of young adults, SF was associated with the prevalence of obesity over one year. Specifically, each 1-unit increase in baseline sleep fragmentation index was associated with a 15% increased risk of BMI-based general obesity and a 7% increased risk of WC-based abdominal obesity in the following year. In addition, sleep fragmentation index was also positively correlated with increased BMI, PBF, FM, WC, and VFA. Our study provides evidence of the contribution of sleep fragmentation to general and abdominal obesity in the young population.
In conclusion, fragmented sleep was found to be an independent predictor of 1-year general and abdominal obesity in young adults. Our findings highlighted the importance of utilizing prospective and objective assessments of nightly sleep in the free-living conditions as part of future investigations seeking to elucidate patterns of habitual sleep characteristics and adverse health outcomes. In addition to the traditional risk factors of poor diet and exercise, SF represent a modifiable risk factor for the prevention and treatment of general and abdominal obesity.
References
- Bonnet MH, Arand DL. Clinical effects of sleep fragmentation versus sleep deprivation. Sleep Med Rev. 2003; 7: 297-310.
- Liu W, Du Q, Zhang H, Han D. The gut microbiome and obstructive sleep apnea syndrome in children. Sleep Med. 2022; 100: 462-471.
- Saadat H. Effect of Inadequate Sleep on Clinician Performance. Anesth Analg. 2021; 132: 1338-1343.
- Fatima Y, Doi SA, Mamun AA. Sleep quality and obesity in young subjects: a meta-analysis. Obes Rev. 2016; 17: 1154-1166.
- Bhagavan SM, Sahota PK. Sleep Fragmentation and Atherosclerosis: is There a Relationship? Mo Med. 2021; 118: 272-276.
- Joiner WJ. Neuroscience: Sleep Fragmentation Impairs Memory Formation. Curr Biol. 2019; 29: R1181-R1184.
- Wilcox ME, McAndrews MP, Van J, Jackson JC, Pinto R, Black SE, et al. Sleep Fragmentation and Cognitive Trajectories After Critical Illness. Chest. 2021; 159: 366-381.
- Bertisch SM, Li W, Buettner C, Mostofsky E, Rueschman M, Kaplan ER, et al. Nightly sleep duration, fragmentation, and quality and daily risk of migraine. Neurology. 2020; 94: e489-e496.
- Zhao B, Sun S, He X, Yang J, Ma X, Yan B. Sleep fragmentation and the risk of obesity: The Sleep Heart Health Study. Obesity (Silver Spring). 2021; 29: 1387-1393.
- Kushida CA, Chang A, Gadkary C, Guilleminault C, Carrillo O, Dement WC. Comparison of actigraphic, polysomnographic, and subjective assessment of sleep parameters in sleep-disordered patients. Sleep Med. 2001; 2: 389-396.
- Wang Y, Carreras A, Lee S, Hakim F, Zhang SX, Nair D, et al. Chronic sleep fragmentation promotes obesity in young adult mice. Obesity (Silver Spring). 2014; 22: 758-762.
Follow the Topic
-
International Journal of Obesity
This is a multi-disciplinary forum for research describing basic, clinical and applied studies in biochemistry, physiology, genetics and nutrition, molecular, metabolic, psychological and epidemiological aspects of obesity and related disorders.
Please sign in or register for FREE
If you are a registered user on Research Communities by Springer Nature, please sign in