Direct N-substituted N-thiocarboxyanhydride polymerization towards polypeptoids bearing unprotected carboxyl groups
Published in Chemistry
Functional α-amino acids play essential roles in life activities by constituting active sites of proteins and sustaining elegant architectures. α-Amino acids bearing carboxyl groups, such as glutamic acid and aspartic acid, attract great attention because of their reactivity, pH-responsiveness and ability to chelate metal ions. Scientists have made great progress in synthesizing acidic polypeptides to realize applications. Their analogues, N-carboxyalkyl polypeptoids, are also developed as promising building blocks for self-assembly structures and functional materials thanks to their excellent design flexibility and processability compared with polypeptides.
Techniques have been developed to prepare acidic polypeptides and polypeptoids. The most popular approaches are ring-opening polymerization (ROP) of α-amino acid N-carboxyanhydride (NCA) and solid phase peptide synthesis (SPPS). However, both approaches call for protected-monomer or post-polymerization modification. It is still a strenuous and challenging work to introduce amino acid repeat units with carboxyl groups into the polymer especially in the system containing a variety of functional groups.
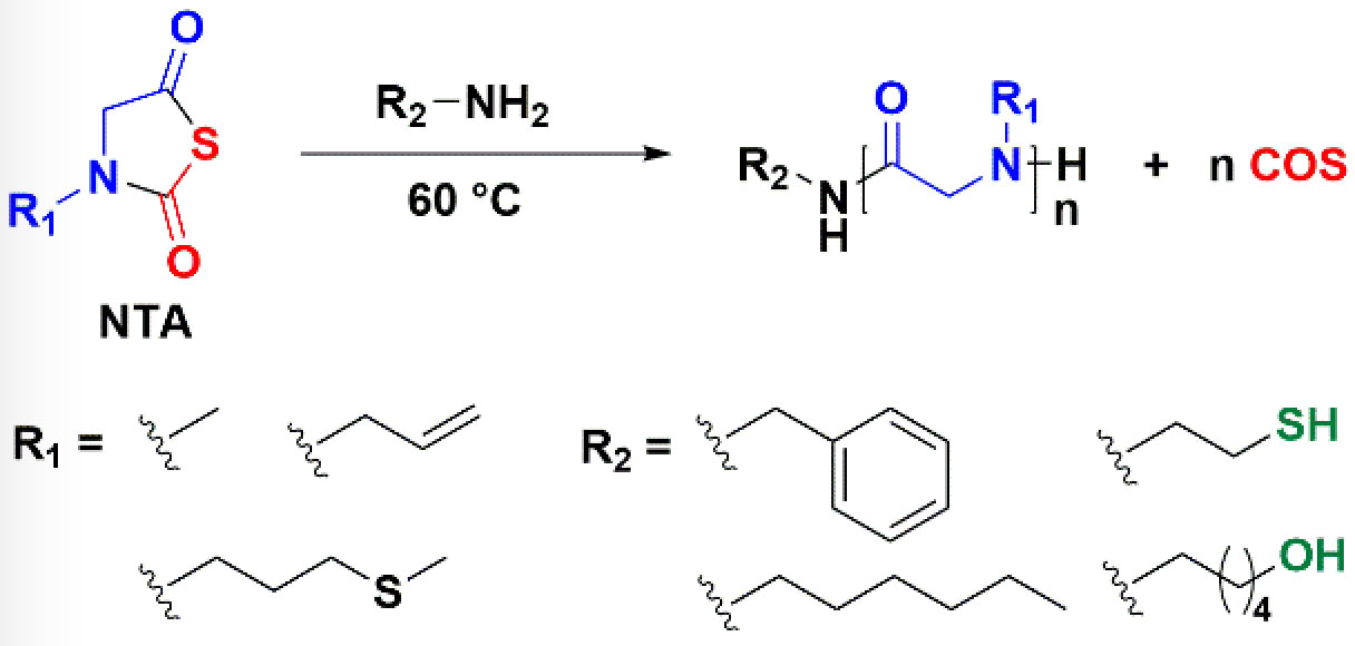
Recently, our group is devoted to pursuing the effective and handy pathways to synthesize the functional polypeptides and polypeptoids. Amino acid N-thiocarboxyanhydrides (NTAs) including N-substituted NTA (NNTAs) are developed as a nucleophile-tolerated monomers to polymerize into poly(amino acid)s.1 ROPs of NTAs tolerate mercaptans, alcohols, phenols and water extensively. Weak organic acid is not an inhibitor or pollutant but catalyst of NTA polymerization. These results inspire us that NTAs with unprotected functional groups could be stable and their direct polymerization could be a straightforward way to synthesize functional poly(amino acid)s.

Upon this idea, we synthesize N-carboxylpentyl glycine NTA (CPG-NTA) and iminodiacetic acid NTA (IDA-NTA) with unprotected carboxyl groups from commercial accessible aminocaproic and iminodiacetic acid. In the following polymerization experiments of these two monomers, we are surprised to find that the alkyl chain of NTA side groups greatly influence the polymerization results. CPG-NTA polymerizes controllably towards polyCPG with designed molecular weights (2.8-9.3 kg mol-1) and low polydispersities (1.08-1.12). The existence of intact carboxylic acid is confirmed by NMR and mass spectrum. On the contrary, IDA-NTA cyclizes on amine group terminating its propagation, and thus transforms amines into carboxylic acids. Reactions of IDA-NTA with various amines demonstrate that IDA-NTA is an efficient regio-selective reagent to modify primary and secondary amine groups into carboxylic acids in one step with quantitative conversion. Density functional theory calculation elucidates that IDA repeating unit is prone to cyclize to be the six-membered ring product with low ΔG. The successful polymerization of N-carboxybutyl glycine NTA demonstrate that CPG-NTA is not an isolate case of polymerize NTA monomer with unprotected carboxyl groups.

The physical properties and applications of polyCPG are further investigated. The semi-crystalline polyCPG materials show pH-responsive solubility in water. Upon hydration and dehydration, polyCPG exhibits excellent adhesive ability to various materials.
Our study raises two approaches to introduce carboxyl groups into poly(amino acid)s by simply changing the alkyl chain length of unprotected carboxyl side chain of NTA monomers. PolyCPG is synthesized as an alternative building block of polyGlu and polyAsp in constructing complicated biomaterials. If you are interested in our work, please find our article at “Direct N-substituted N-thiocarboxyanhydride polymerization towards polypeptoids bearing unprotected carboxyl groups” in Communications Chemistry (https://www.nature.com/articles/s42004-020-00393-y).
Reference
(1) Tao, X.; Li, M. H.; Ling, J. α-Amino acid N-thiocarboxyanhydrides: A novel synthetic approach toward poly(α-amino acid)s. Eur. Polym. J. 2018, 109, 26-42.
Follow the Topic
-
Communications Chemistry
An open access journal from Nature Portfolio publishing high-quality research, reviews and commentary in all areas of the chemical sciences.
Related Collections
With Collections, you can get published faster and increase your visibility.
Experimental and computational methodology in structural biology
Publishing Model: Open Access
Deadline: Apr 30, 2026
Advances in Asymmetric Catalysis for Organic Chemistry
Publishing Model: Open Access
Deadline: Mar 31, 2026
Please sign in or register for FREE
If you are a registered user on Research Communities by Springer Nature, please sign in