DNA Methylation marks related to maternal obesity and weight gain during pregnancy

Having obesity or excessive weight gain during pregnancy increases the risks of complications, such as gestational diabetes and high blood pressure, as well as diabetes later in life. Understanding the mechanisms of obesity in pregnancy may help prevent and treat related complications.
DNA Methylation marks related to maternal obesity and weight gain during pregnancy
Like

Share this post

Choose a social network to share with, or copy the URL to share elsewhere

This is a representation of how your post may appear on social media. The actual post will vary between social networks

Your DNA is your unique recipe book consisting of a long list of recipes necessary to build your unique body. Each recipe is called a gene, consisting of several genetic variants, and codes for different building blocks necessary to maintain every part of you. Which recipe to follow (or gene to be expressed) is accurately regulated by several mechanisms, of which one is epigenetic modifications of the DNA.  Methylation of DNA is one of the most studied epigenetic mechanisms. Methylated parts of the gene is not transcribed into proteins- the recipe is not read. While your DNA is similar in all cells of your body, epigenetic modifications secure that the right recipe is followed in the right organ, e.g. your heart, skin or nails.

 

Although some of your risk of developing obesity is determined by your DNA, environmental factors such as smoking, diet, physical activity or other environmental factors play a large role in obesity risk. Since epigenetics and DNA methylation are affected by environmental factors, these may help us explain how obesity develops, and how to prevent or treat obesity in a more efficient way. Especially since there are several potential contributors to development of obesity, such as hunger, appetite, satiety, metabolism, the brain’s reward system, addiction, physical activity, and so on.

 

Research has indicated that both environmental and genetic factors can influence DNA methylation patterns. Identifying DNA methylation patterns associated with certain environmental factors or traits may help us understand how gene-environment interactions can affect an individual’s susceptibility to various diseases.

 

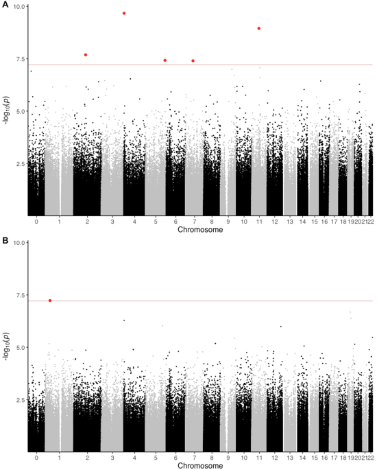
To investigate DNA methylation patterns, a method called Epigenome wide association studies (EWAS) is applied. Hundreds of thousands of sites in the DNA are examined to find different patterns associated with a chosen trait. Studies in non-pregnant individuals have highlighted DNA methylation marks linked to obesity, but few have studied this in pregnancy. We investigated DNA methylation marks related to body mass index and excess weight gain during pregnancy, to try to understand if these traits could be implicated in hiding or showing parts of the gene-recipe. We also aimed to explore potential connections of these DNA methylation marks to obesity-related traits such as blood lipid-levels, blood glucose and diabetes. Our study sheds light on the intricate interplay between DNA methylation, maternal body mass index, and gestational weight gain. Identifying DNA methylation marks and patterns offer some insight into potential epigenetic mechanisms underlying the development of obesity-related complications in pregnancy. The exploration of genetic variants further contributes to our understanding of the complex gene-environment interplay.

 

In the Epigenetics in pregnancy (EPIPREG ) sample, we collected data from 480 women of European and South Asian ancestry. In our EWAS, we found five DNA methylation marks that were linked to the mothers body mass index and one to weight gain during pregnancy. To be more certain that this was not just a coincidence, we checked our findings in another study, The Norwegian Mother, Father, and Child Cohort Study, the Study of Assisted Reproductive Technologies” (The MoBa START study). Here, we found three of the DNA methylation marks linked to body mass index, supporting our hypothesis of patterns linked to obesity in pregnancy.

 

Had someone found these DNA methylation marks in any studies before? We did a look-up of the identified DNA methylation marks and found studies in non-pregnant people that had found a link between the DNA methylation marks and higher blood pressure, HDL-cholesterol and body mass index. Could we find something similar? First, we discovered that the identified DNA methylation marks also popped up when we checked them for a link to body mass index before pregnancy. Checking for possible linked traits, we found an association with blood pressure, blood lipids and blood glucose.

 

Since we know that DNA methylation marks are both a result of environment and of genes, we investigated the genetic component. We found some genetic variants that could influence the DNA methylation marks, and that these also had been linked to body mass index in other studies.

 

In conclusion, we found three DNA methylation marks that are associated with obesity, and that these are linked to traits important in development of obesity-related diseases. We do not yet know if the DNA methylation patterns we have found are able to “hide” or “show” recipes for genes. As research continues to uncover these underlying mechanisms associated with obesity and weight gain in pregnancy, this information could help predict if someone is likely to get complications in pregnancy, or if they are at risk of developing obesity related diseases, allowing for better prevention. In the future, this might be part of personalized medicine, where doctors create specific plans for each person based on their unique DNA methylation patterns. Studies of epigenetics in pregnancy are important to help us understand how our genes and the world around us work together, helping scientists find new ways to keep us healthy.

Please sign in or register for FREE

If you are a registered user on Research Communities by Springer Nature, please sign in

Follow the Topic

Obesity
Life Sciences > Health Sciences > Clinical Medicine > Diseases > Nutrition Disorder > Obesity
Pregnancy Outcome
Life Sciences > Health Sciences > Clinical Medicine > Prognosis > Pregnancy Outcome
Clinical Epigenetics
Life Sciences > Health Sciences > Clinical Medicine > Clinical Genetics > Clinical Epigenetics
Epigenetics
Life Sciences > Biological Sciences > Genetics and Genomics > Epigenetics
Diabetes
Life Sciences > Health Sciences > Clinical Medicine > Diseases > Diabetes