Dopamine neurotransmitter determination using a graphite sheet–graphene nanosensor
Published in Bioengineering & Biotechnology, Chemistry, and Materials
What is Dopamine
Dopamine, a tiny chemical with an important role, is often referred to as the “feel-good” molecule, though it’s much more than that. It’s the cheerleader of your brain, cheering you on toward your interests, urging you to move, to focus. After finishing an activity or attaining a goal, dopamine provides a sensation of happiness and pleasure. Dopamine is a neurotransmitter and a hormone, but is a different in each context:

- Dopamine as a neurotransmitter:
In the brain, dopamine works as a neurotransmitter. This means it acts like a messenger, helping nerve cells (neurons) talk to each other.
It helps with:
-
Movement
-
Motivation and reward
-
Focus and learning
-
Mood regulation
- Dopamine as a hormone:
Outside the brain, in your blood, dopamine acts as a hormone made by your adrenal glands (on top of your kidneys).
It helps with:
-
Controlling blood pressure
-
Increasing heart rate in emergencies
-
Helping kidneys work properly
The importance of Dopamine detection
Accurate quantification of dopamine levels in the body is crucial for the prevention, diagnosis, monitoring, and treatment of diseases such as Parkinson’s and Alzheimer’s diseases. Consequently, the ability to accurately assess dopamine levels is a critical objective in medical diagnostics and therapeutic development.

How to detect dopamine
Indeed, a lot of the methods used to quantify dopamine are slow, costly or invasive. Now, imagine a device that can detect dopamine levels instantly, using droplets of blood or a sweat sensor. This is where the electrochemical sensors come into play. Every time dopamine interacts with the surface of the sensor, it generates an electrical signal – it’s like saying “dopamine present”. These features make the electrochemical sensors low-cost and transportable for the detection of dopamine levels.
Electrocrochemical sensors
Electrochemical sensors are exceptional instruments that quantify chemical compounds by converting the chemical reactions into electrical signals. These measurements are often conducted using a three-electrode system consisting of a working electrode, reference electrode, and auxiliary or counter electrode. The working electrode is where the reaction is performed while the reference electrode provides a constant and well-defined potential that allows precise measurement of the working electrode's potential (relative potential difference) . To complete the circuit, the current from the auxiliary or counter electrode is supplied.

| Electrode Type | Role | Example |
| Working Electrode | Site of the primary electrochemical reaction | Graphite sheet (GS) Electrode |
| Reference Electrode | Provides a stable, well-defined potential; no current flow | Ag/AgCl, SCE |
| Auxiliary Electrode | Completes the circuit by balancing current; inert and large surface area |
Pt Rod Electrode |
The interaction of the working electrode with the target substance like glucose or dopamine results in the former undergoing a redox reaction (losing or gaining an electron). Every transfer of electron is accompanied by a measurable value of electrical current. The amount of current that is produced is proportional to the concentration of the analyte.

Nanotechnology & dopamine sensing
Nanotechnology is the study and control of matter at the nanoscale, typically between 1- 100 nanometers which is the size of a few hundredth of a meter or less. At the nanoscale, matter can have strange physicochemical properties that are very different from those of bulk materials, due to its high surface-to-volume ratio. Nanostructured materials can be stronger, magnetically distinct, and more conductive than bulk materials.
Nanomaterials such as graphene and carbon nanotubes offer unparalleled speed, sensitivity, and accuracy, significantly enhancing dopamine sensing.

Why does our sensor matter?
In this article, we fabricated a sensitive graphene-based sensor for dopamine detection. The electrode demonstrates a low detection limit, a wide linear range, and impressive stability, making it suitable for real sample analysis. This nanosensor benefits from simple, cost-effective, and rapid fabrication. It is worth mentioning that despite not using expensive materials in this work, the detection limit and linear range are highly comparable to those reported in the literature.
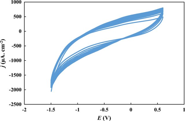
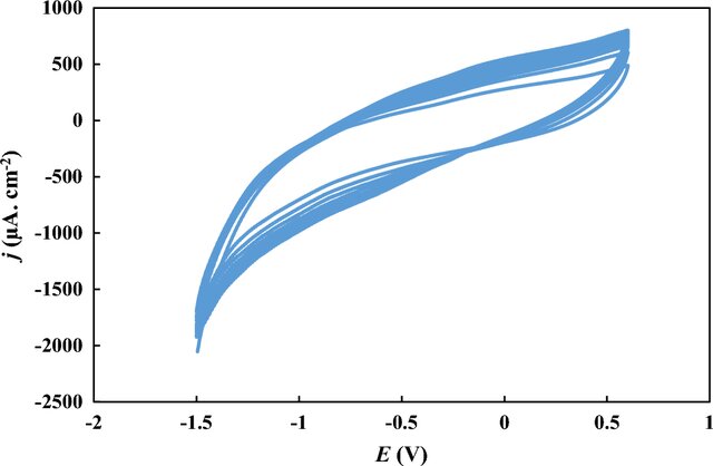
Electrodeposition and reduction of graphene oxide on the surface of the graphite electrode (https://doi.org/10.1007/s41127-024-00075-9)
Conclusion
Due to dopamine’s involvement in several biological and neurological functions, exact measurement is vital in cases concerning Alzheimer’s and Parkinson’s diseases. A straightforward, low-cost sensor with high sensitivity and a simple fabrication process could significantly improve the diagnosis and treatment of these conditions.
Read the paper: https://doi.org/10.1007/s41127-024-00075-9
Follow the Topic
-
Graphene and 2D Materials
This journal showcases the latest research on graphene, MXenes, oxides, boron nitride, transition metal chalcogenides, metal-organic frameworks, clays, polymers and other 2D materials, and the development of their applications and technologies for their manufacturing.
Introducing the Palgrave Macmillan Campaign for the Humanities
At Palgrave Macmillan we publish cutting-edge humanities research that has real-world impact. This research community brings together the voices of our authors and editorial team to highlight and publicize the value of the humanities and humanities research in our world today.
Continue reading announcementRelated Collections
With Collections, you can get published faster and increase your visibility.
Graphene and 2D Materials for Advanced Thermal Management
Publishing Model: Hybrid
Deadline: Dec 31, 2026
Environmental and Sustainability Applications of 2D Materials
Publishing Model: Hybrid
Deadline: Dec 31, 2026