Drawing the ID card of dynamical Neutron Star-Black Hole mergers
Published in Astronomy
Last August, the LIGO-Virgo collaboration -- LVC -- announced the possible discovery of a yet unseen class of gravitational wave sources: a black hole - neutron star merger named S190814bv. In this type of sources, the black hole gravity can be strong enough to tear apart the neutron star before it is completely swallowed by the black hole, causing a big emission of multiband electromagnetic radiation. Thus, sources like S190814bv can produce copious fireworks all over the sky. That’s why that day dozens -- even hundreds -- of researchers started to chase for strong electromagnetic sources in the region where S190814bv was located. Meanwhile, I was enjoying my vacations in Rome, preparing the grill and some goodies for the next-day big barbecue with my friends. After seeing the news on almost every media channels, I can’t but think of S190814bv history: how, when, where did it form?
As a theoretical astrophysicist, I am captivated by the mechanisms that make things work up in the sky, so I thought I should look in the literature to seek for studies about black hole - neutron star mergers formation channels. After a few days, I found many works focused on isolated mergers, i.e. those developing without the intervention of other stars or stellar remnants, but rather poor literature on dynamical mergers, those forming via dynamical interactions in stellar systems. So, I decided to embark myself in a study aimed at finding the properties of dynamical mergers, in the hope that they appear to be different from the isolated ones.
The problem with dynamical mergers is that they happen in systems comprised of hundreds of thousands -- up to tens of millions -- of stars. Modelling these systems requires a monstrous computational load and, in some cases, is even technically unfeasible. So, I simplified the study proceeding on a step-by-step basis. First, I analysed the MOCCA database, a suite of 2000 Monte Carlo models of globular clusters that follow all the stages of stars evolution. I am grateful to Mirek Giersz for granting the access to the models. I used those data to reconstruct the formation processes of black hole - neutron star binaries in clusters with masses around 10^5 solar masses, although none of these binaries did actually merge in the simulations. This was expected since black hole - neutron star mergers are rare in clusters of that sizes. So, I used the analysis to build a huge sample of simulations modelling the interaction between a binary with a black hole (or a neutron star) and a normal star vs. a neutron star (or black hole), what we call a binary-single interaction.
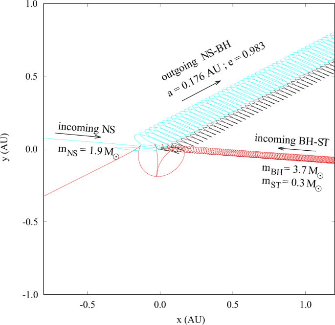
Animation showing one of the binary-single interactions modelled. An initial black hole - star binary interacts with a roaming neutron star. After a phase of chaotic interactions, the star is kicked away and the final black hole - neutron star binary will merge in less than 1 Gyr.
I ran over 240000 simulations to cover the parameter space as much as possible and to get insights about black hole - neutron star mergers occurring in systems from globular clusters (10^6 solar masses) all the way up to galactic nuclei (10^8 solar masses). The analysis of these models unravelled a class of dynamical mergers that exhibit peculiar features: a total mass above 20 solar masses, black holes heavier than 10-20 solar masses, and the tendency to have no electromagnetic counterpart. These marks altogether make (some) dynamical mergers clearly distinguishable from isolated mergers, and could be used to interpret LIGO-Virgo observations. S190814bv could be not only the first black hole - neutron star ever detected but also the first to our knowledge that has developed in a remote star cluster or galactic nucleus. If the results pitch your attentions, you might enjoy reading the full article here: https://www.nature.com/articles/s42005-020-0310-x


Follow the Topic
-
Communications Physics
An open access journal from Nature Portfolio publishing high-quality research, reviews and commentary in all areas of the physical sciences.
Related Collections
With Collections, you can get published faster and increase your visibility.
Higher-order interaction networks 2024
Publishing Model: Open Access
Deadline: Feb 28, 2026
Non-Markovian quantum dynamics in physical systems: description and control
Publishing Model: Open Access
Deadline: Dec 31, 2025
Please sign in or register for FREE
If you are a registered user on Research Communities by Springer Nature, please sign in