Electricity Consumption Variation versus Economic Structure during COVID-19

This work shows that the reduction in total EC is related to the shares of certain industries in an MSA, whereas regardless of the incidence level or economic structure, the residential sector shows a trend of increasing EC across the continental U.S..
Electricity Consumption Variation versus Economic Structure during COVID-19
Like

Share this post

Choose a social network to share with, or copy the URL to share elsewhere

This is a representation of how your post may appear on social media. The actual post will vary between social networks

Results

COVID-19 Incidence map of 380 metropolitan statistical areas in the continental U.S. during April-May 2020.

Fig. 1 COVID-19 incidence map. COVID-19 Incidence map of 380 metropolitan statistical areas in the continental U.S. during April-May 2020.

Figure 1 shows the COVID-19 incidence map of the 380 MSAs in the continental U.S. during the two-month window from April to May 2020. The COVID-19 incidence of MSAs are calculated and plot on the map. The pandemic situation on the west coast (e.g., the states of Washington, Oregon, and California) was low to medium, and the situation along the southeastern coast (e.g., the states of North Carolina, South Carolina, Georgia, and Florida) was medium. However, states along the northeastern coast were experiencing high-to-critical levels of COVID-19 incidence. The largest critical area was the MSA of New York-Newark-Jersey City, NY-NJ-PA, which encompasses 20 million people. Along the northeastern coast, there were two other MSAs at critical incidence levels: Vineland-Bridgeton, NJ and Salisbury, MD-DE. The incidence level map shows geographical relevance among these areas since the adjacent MSAs to New York-Newark-Jersey City, NY-NJ-PA also experienced a high incidence of COVID-19 at this time.

The length of each colored bar represents the GDP percentage of the corresponding economic category.

Fig. 2 Cluster centers of MSA economic structure. The length of each colored bar represents the GDP percentage of the corresponding economic category.

Figure 2 shows the economic structure of cluster centers of low (Cluster I and II), medium (Cluster III, IV, and V), and high incidence level (Cluster VI, VII, and VIII) MSAs. The clusters' unique economic characteristics are summarized as follows.

  • In terms of agriculture/forestry, Cluster V and VI have a higher percentage when compared to the MSA average level. Furthermore, one can also observe that the share of manufacturing of these two clusters is larger than the average level.
  • Regarding the mining industry, Cluster II and IV have a higher proportion than the MSA average level. Similarly, the transportation/warehousing of these two clusters is also above the average level.
  • As for real estate/leasing, Cluster I and VIII have a higher share than the MSA average. Also, their percentage of public administration is greater than the MSA average.
  • Another noteworthy point is that Cluster III and VII have a higher percentage of high-end services and MAE services.
  • The MSA average is shown by the last bar of the figure for easy comparison.
a. Total EC change. b. Residential EC change.

Fig. 3 Spatial heterogeneity in EC change on metropolitan level after COVID-19. a. Total EC change. b. Residential EC change.

Figure 3 shows the EC change in the U.S. on the metropolitan level after the pandemic began. The EC variation of MSAs are estimated (See “EC estimates” subsection in the “Methods” section) and plot on the map from U.S. Census Bureau27. It shows the overall trend that total EC declined while residential EC increased, which is reasonable due to the implementation of the work-from-home model, although some regions experienced the opposite change.

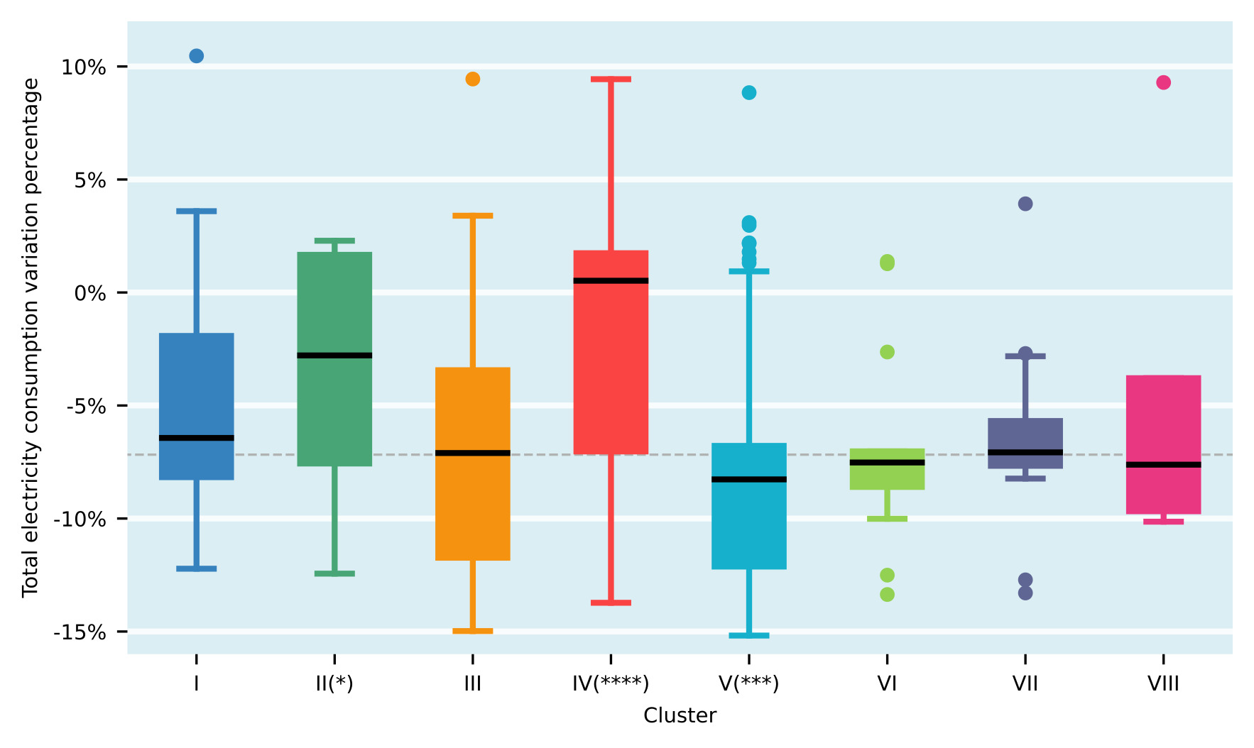
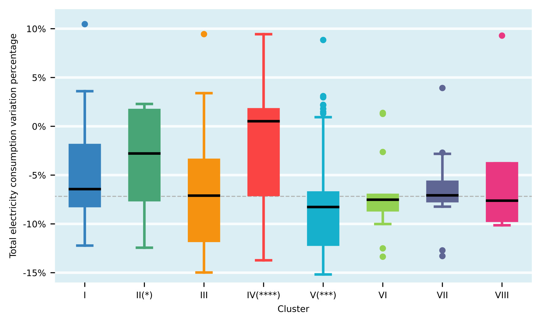
Fig. 4 Total EC variation among different clusters.

Figure 4 shows the boxplot of total EC variation between April-May 2019 and April-May 2020 on the metropolitan level among different economic structure clusters. It clearly demonstrates an overall pattern of total EC reduction across all clusters.

If we connect Figure 4 and Figure 2 to build some connections between total EC reduction and economic structures, the following observations can be presented.

  • The total EC change indicates that Clusters II and IV have significantly higher EC reduction than the average. Both of them have a sizable mining industry (about 7%) while other economic categories are similar to the MSA average, as shown in Figure 2. Thus, it can be inferred that MSAs with a high proportion of mining industry saw less EC reduction than other MSAs (i.e., mining industry EC is less affected during the pandemic), which is evidenced by a statistical difference in total EC reduction of II-and-IV versus other MSAs. This is reasonable, because the mining industry forms a significant portion of total electricity demand.
  • Another significant observation is that both Clusters V and VI have a significantly higher proportion of agriculture/forestry and manufacturing than the MSA average, while their other economic categories are similar to the MSA average. The total EC of both clusters seem to have greater declines than the average level of total EC (i.e., the grey dashed line in Fig. 4), so this shows that agriculture/forestry and manufacturing tend to have more EC reduction during pandemic than other categories. Further observation is that the total EC of Cluster VI has less reduction than Cluster V, which can be possibly ascribed to higher mining industry share in Cluster VI than in Cluster V because mining industry EC is less affected during the pandemic, as discussed previously.
  • Clusters III and VII share similar economic structure characteristics, with a concentration on intelligence-intensive services such as the economic category of high-end services (i.e., information, finance/insurance, professional services) and the category of MAE (i.e., management, administrative, and educational) services. However, the total EC of Clusters III-VII does not demonstrate statistically significant differences versus the total EC of other MSAs. Thus, it can be statistically concluded that the load reduction in the high-end services and MAE services is aligned with average EC reduction. The possible reason is that although the computing loads of high-end and MAE services are shifted from offices to homes, and the residential home air conditioning loads stay at the same level before and after the pandemic, the air conditioning and lighting loads in commercial buildings should reduce considerably during the initial months of the pandemic. This makes the reduction pattern of high-end and MAE services similar to other economic categories.
  • Both Cluster I and VIII feature a disproportionately high share of the real estate/leasing and public administration industries in their economic structure, where the total EC reduction for the combination of Cluster I and VIII is statically less than in other clusters. It means that the real estate business and public administration categories tend to have less reduction in total EC than other categories.
  • Regarding the impacts of the pandemic, total EC changes among different incidence MSAs do not show an obvious pattern.

In summary, based on the observation, while there is an overall pattern of reduction in total EC across all clusters, the total EC variation is statistically related to economic structure during the initial months of COVID-19. More specifically, economic structures more dependent on the mining industry exhibit significantly less EC reduction than other categories, and real estate/leasing and public administration industries also demonstrate less EC reduction after the start of the COVID-19 pandemic. In contrast, agriculture/forestry and manufacturing-dependent economic structures exhibit more EC reductions than other categories. Further, the EC reduction of intelligence-intensive services (e.g., high-end services, MAE services) is not significantly different from other categories.

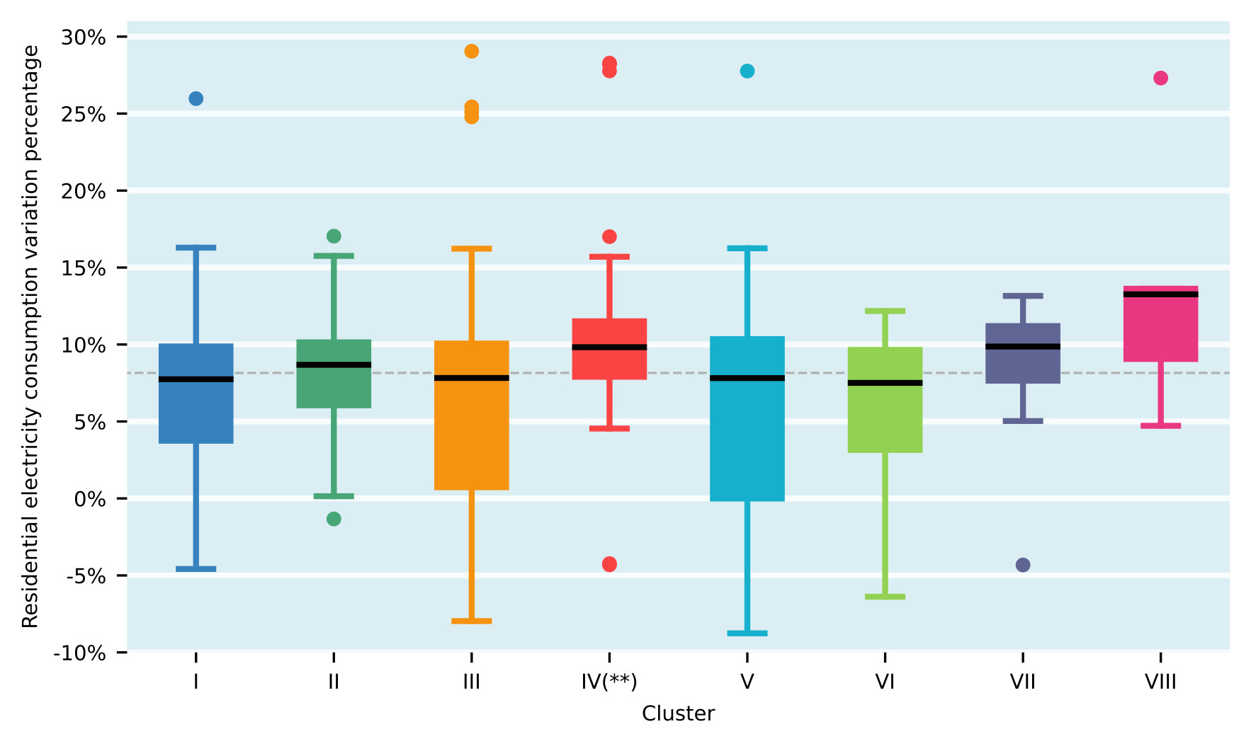
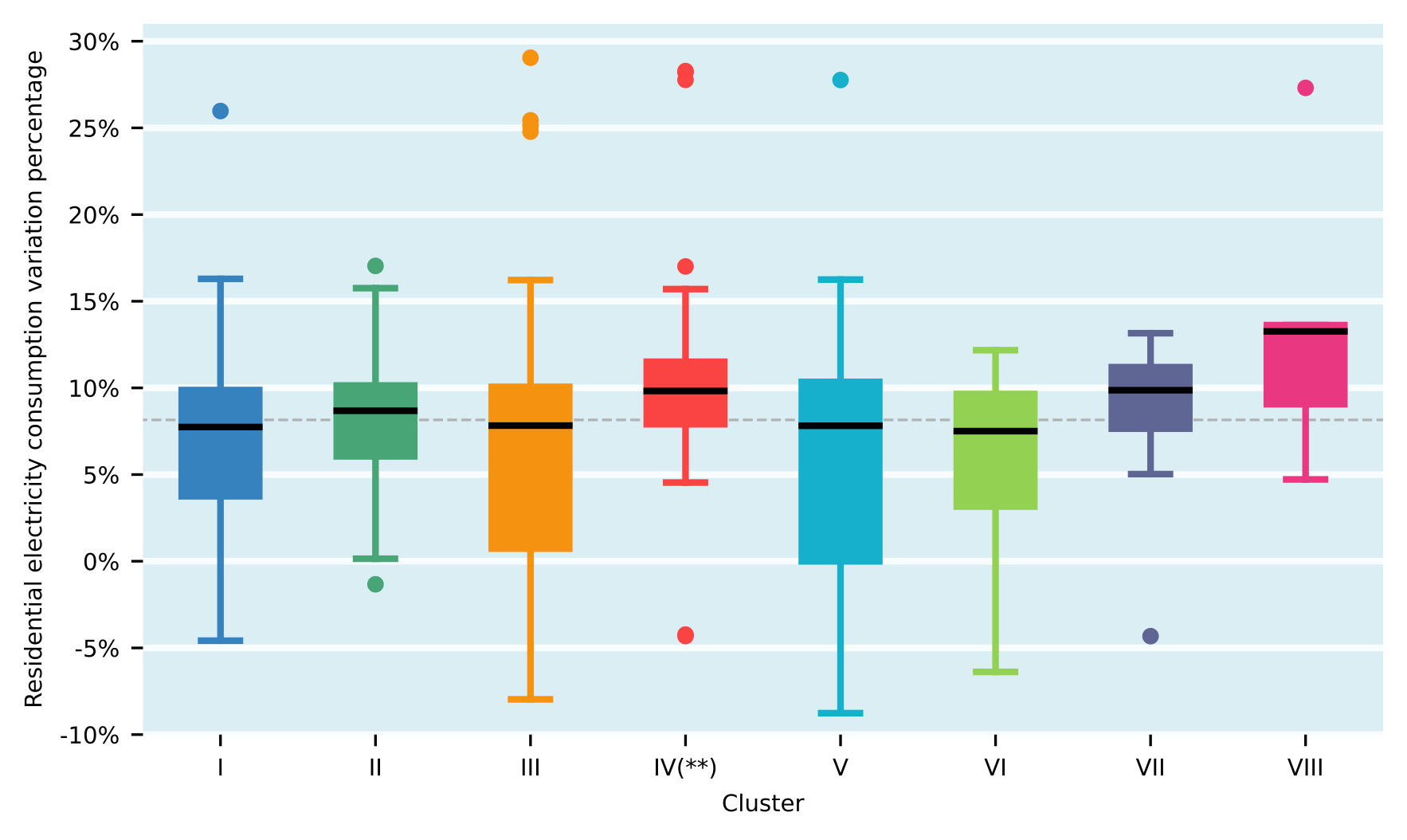
Fig. 5 Residential EC variation among different clusters.

Figure 5 shows the boxplot of residential EC variation between April-May 2019 and April-May 2020 at the metropolitan level among different economic structure clusters.

It evidently demonstrates an overall pattern of residential EC increase across all clusters. The figure shows that the residential EC increase in Cluster IV is higher than the average level. However, no obvious reason can be concluded. Cluster VII and VIII are also well above the average level, but the difference is not statistically significant. The reason is that the small sizes of observations of Cluster VII and VIII result in statistical insignificance. Overall, the median values among other clusters were not significantly different, and the median values of residential EC increases of all clusters are around 7-10%.

Discussion

This work proposes an easy-to-implement and effective method for estimating EC change under a widely applied lockdown policy, and reveals the connections between EC change and economic structure.

By considering the economic features of regions as they relate to potential pandemics or other social-economic crises as a set of new regulation rules or constraints, power grid administrators can improve energy resource planning and power grid operation such that the future power systems will be pandemic-ready.

Additional notes

This study is an interdisciplinary work involving power, economy, and the emerging subject of data science. Although the intersection of different subjects might challenge the researchers, the new perspective can be inspirational.

With prosperous open-source communities, many well-documented tools significantly reduce the cost of data analysis. In addition, the constantly increased open-access database, including many authoritative data resources, boosts data availability notably. Given the enriched ore and handily spade, many subjects will have new blood.

Please sign in or register for FREE

If you are a registered user on Research Communities by Springer Nature, please sign in

Follow the Topic

Electrical and Electronic Engineering
Technology and Engineering > Electrical and Electronic Engineering

Related Collections

With Collections, you can get published faster and increase your visibility.

Women's Health

A selection of recent articles that highlight issues relevant to the treatment of neurological and psychiatric disorders in women.

Publishing Model: Hybrid

Deadline: Ongoing

Biosensing

With this cross-journal Collection, the editors of Communications Biology, Nature Biomedical Engineering, Nature Sensors, Nature Communications, and Scientific Reports welcome the submission of primary research Articles focusing on the development of engineered biosensing devices with the potential to be applied in biomedical research and in the management of disease conditions.

Publishing Model: Hybrid

Deadline: Jun 30, 2026