Enzymatic synthesis of lignin derivable pyridine based polyesters for the substitution of petroleum derived plastics

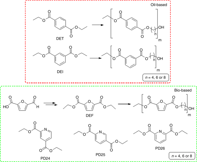
Following concerns over increasing global plastic pollution, the interest in the production and characterization of bio-based and bio-degradable alternatives is rising. In the present work, we present the enzymatic synthesis of a series of fully bio-based alternatives based on 2,4-, 2,5- (derived from lignin), and 2,6-pyridinedicarboxylic acid (obtainable from bacteria) that are aimed to substitute terephthalic (TA) and isophthalic (IA) acid-derived polyesters.

Published in Chemistry

Enzymatic synthesis of lignin derivable pyridine based polyesters for the substitution of petroleum derived plastics
Like

Share this post

Choose a social network to share with, or copy the URL to share elsewhere

This is a representation of how your post may appear on social media. The actual post will vary between social networks

Nowadays society is becoming more aware of the significant problems caused by waste plastic that causes pollution of oceans and rivers, generation and dispersion of microplastics in ecosystems, dependence on non-sustainable oil-based feedstocks, as well as the challenges associated with the efficient recycling of the wide range of different plastics currently on the market. In response to this, researchers and industry, driven by new legislations from many national governments, are developing policy to reduce plastic-derived pollution by increasing recyclability and moving towards alternative bio-based plastics that are synthesized from renewable feedstocks and are compostable.

One of the most important developments in the bio-based polymer field over the past few decades has been the work of Prof. Alessandro Gandini and co-workers who suggested the use of furan moieties as a sustainable replacement for terephthalic and isophthalic units. This interest, led to the reporting of a substantial number of improved methods for the chemo and enzymatic synthesis of furan-based polymers and co-polymers. Alongside novel synthetic methods, the corresponding mechanical, barrier, degradation and recycling properties were also investigated and with great success.

Which will be the next category of bio-based monomers derived from waste biomass that researchers will target? The answer was in a paper published in Green Chemistry in 2015 that described the production of 2,4-pyridinedicarboxylic acid, 2,5-pyridinedicarboxylic acid and their mono and diester derivatives (Mycroft et al. 2015, Green Chem.17, 4974-4979). Employing a biocatalytic reaction, the authors used lignin (one of the main waste streams from the pulp and paper industry) as a substrate for the synthesis of these pyridine-derived dicarboxylic acids that resemble really closely the petroleum-derived TA and IA moieties. Moreover, a third pyridine derivative, 2,6-pyridinedicarboxylic acid (also known as dipicolinic acid) which composes 5 to 15% of the dry weight of some bacterial spores can likewise be considered as a naturally occurring compound and was also considered as a potential monomer in our study (and resembles quite well the furan moiety).

Interestingly the use of pyridine diacids in polyester synthesis seems to have been ignored  and hence we saw a real need to better understand these materials. We therefore enzymatically synthesized a series of aromatic-aliphatic polyesters based on 2,4-, 2,5- and 2,6-pyridinedicarboxylic acid together with the more commonly known 2,5-furandicarboxylic acid and petroleum-based TA and IA, for comparison. Results indicate that the selected enzyme, an immobilized form of Candida antarctica lipase B is able to catalyze the synthesis of polyesters starting from all the above listed monomers, and the obtained 2,4-pyridinedicarboxylic acid-based materials have the best properties in terms of molecular weights.

 

You can read more about our work in our Nature Communications paper: https://www.nature.com/articles/s41467-019-09817-3

Please sign in or register for FREE

If you are a registered user on Research Communities by Springer Nature, please sign in

Follow the Topic

Chemistry
Physical Sciences > Chemistry

Related Collections

With Collections, you can get published faster and increase your visibility.

Healthy Aging

This collection welcomes submissions based on studying preclinical models, as well as population-wide and clinical studies. Studies that advance our understanding of mechanisms behind healthy aging are also welcomed. Clinical research of interest will include epidemiological studies, observational studies, longitudinal cohort studies, systematic reviews and clinical trials.

Publishing Model: Open Access

Deadline: Jun 01, 2026

Women's Health

A selection of recent articles that highlight issues relevant to the treatment of neurological and psychiatric disorders in women.

Publishing Model: Hybrid

Deadline: Ongoing