Explore the Research
Gut dysbiosis and mortality in hemodialysis patients - npj Biofilms and Microbiomes
npj Biofilms and Microbiomes - Gut dysbiosis and mortality in hemodialysis patients
Chronic kidney disease (CKD) becomes a growing public health problem because of the rising number of patients and its progressive nature. In CKD population, protein-energy wasting (PEW) is common and associated with an increased death risk from both cardiovascular (CV) and non-CV causes. PEW is caused by hypercatabolic status, accumulation of uremic toxins, malnutrition, and inflammation. We have recently demonstrated that malnutrition and inflammation are correlated with gut dysbiosis, defined as a significant decrease in microbial diversity, in dialysis-dependent CKD patients.1,2 However, it is unclear whether gut dysbiosis is associated with adverse outcomes in this population. We noticed that two recent studies have demonstrated associations of lower gut microbial diversity with poor survival in patients undergoing allogeneic hematopoietic-cell transplantation and in patients hospitalized for chronic obstructive pulmonary disease, respectively.3,4 Therefore, we hypothesized that the gut microbiome may be predictive of mortality in patients with CKD.
In our recent research, we studied 109 patients (mean age 68 ± 10 years) on chronic hemodialysis (median dialysis vintage 8.0 years) in a single center in Taiwan. Participants provided fecal samples between November 2017 and February 2018 and were followed until February 2020. We performed 16S ribosomal rRNA sequencing to define Operational Taxonomic Units using Greengenes 13.5 database. We found that Simpson index, one of the microbial diversity metrics, correlated positively with nutritional markers (body mass index and subjective global assessment score) and negatively with inflammatory cytokines (interleukin-6 and tumor necrosis factor-α). This finding is in line with previous studies suggesting that gut dysbiosis is involved in the development of malnutrition and chronic inflammation in other disease entities.5–7
During a median follow up of 2.1 years, 15 patients died. Strikingly, the risk of death among patients with higher diversity (above median) was 74% lower than that among patients with lower diversity (below median) (Figure 1). We further investigated the impact of microbial diversity on the risk of CV events and infection-related hospitalizations. We found that higher microbial diversity was associated with a 64% risk reduction of experiencing CV events, although there was no significant association between microbial diversity and infectious events.

Figure 1. Kaplan–Meier analysis curves between subjects with higher and lower gut microbial diversity
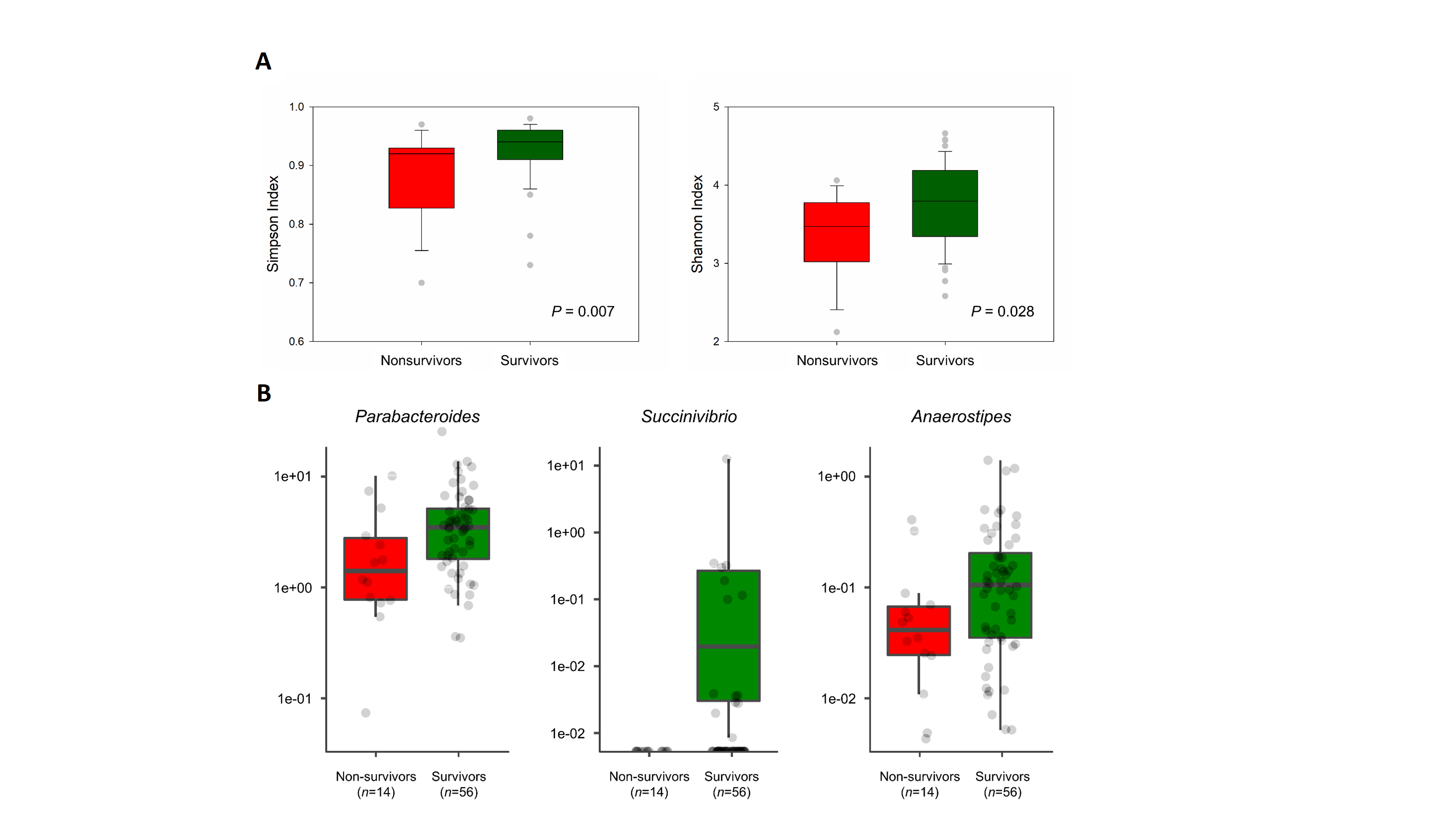
To assess the difference of microbial profile between survivors and nonsurvivors, we then conducted a matched case-controlled study. Overall, there was no significant differences in the relative abundance of bacterial taxa at the phylum level and the Firmicutes/Bacteroidetes ratio between the two groups. There was also no significant difference in the distribution of enterotypes between the groups. The most abundant enterotype was Bacteroides enterotype in both groups, accounting for 83.9% and 71.4% for survivors and nonsurvivors, respectively. As expected, nonsurvivors had significantly lower values of gut microbial diversity (Figure 2). In addition, our study revealed that a distinct gut microbial composition may have an important role in health outcomes of hemodialysis patient. We found that the relative abundance of Succinivibrio and Anaerostipes, two short-chain fatty acid (SCFA)-producing bacteria, was markedly reduced in nonsurvivors compared with survivors. SCFAs have been shown to have a wide range of impacts on host physiology, including anti-inflammatory effects and the maintenance of gut integrity.8 In the context of uremia, however, the disruption of this homeostasis may hamper the anti-inflammatory responses by the gut microbiome as well.

Figure 2. Comparison of microbial profile between survivors and nonsurvivors
Our study was observational in nature, so we were unable to comment upon directionality of the association between gut microbial diversity and the mortality risk. The sample size and event number of our study were also small, precluding further advanced analyses. Yet, to our knowledge, this is the first study to describe the association between gut microbiome and clinical outcomes in CKD population. Clearly, future studies with larger sample size and longer follow-up duration are needed to validate our observations, and integrated omics studies are required to expand our understanding of the complex interactions between gut microbiome and host health in CKD.
References:
1. Lin, T.Y. & Hung, S.C. Association of subjective global assessment of nutritional status with gut microbiota in hemodialysis patients: A case-control study. Nephrol. Dial. Transplant. gfaa019 (2020).
2. Lin, T.Y., Wu, P.H., Lin, Y.T. & Hung, S.C. Characterization of gut microbiota composition in hemodialysis patients with normal weight obesity. J. Clin. Endocrinol. Metab. 105, 2006–2014 (2020).
3. Peled, J.U. et al. Microbiota as predictor of mortality in allogeneic hematopoietic-cell transplantation. N. Engl. J. Med. 382, 822–834 (2020).
4. Leitao Filho, F.S. et al. Sputum microbiome is associated with 1-year mortality after chronic obstructive pulmonary disease hospitalizations. Am. J. Respir. Crit. Care. Med. 199, 1205–1213 (2019).
5. Meslier, V. et al. Mediterranean diet intervention in overweight and obese subjects lowers plasma cholesterol and causes changes in the gut microbiome and metabolome independently of energy intake. Gut gutjnl-2019-320438 (2020).
6. Ott, S.J. & Schreiber, S. Reduced microbial diversity in inflammatory bowel diseases. Gut 55, 1207 (2006).
7. Annavajhala, M.K. et al. Oral and gut microbial diversity and immune regulation in patients with HIV on antiretroviral therapy. mSphere 5, e00798-19 (2020).
8. Tan, J. et al. The role of short-chain fatty acids in health and disease. Adv. Immunol. 121, 91–119 (2014).
Follow the Topic
-
npj Biofilms and Microbiomes
The aim of this journal is to serve as a comprehensive platform to promote biofilms and microbiomes research across a wide spectrum of scientific disciplines.
Related Collections
With Collections, you can get published faster and increase your visibility.
Water Testing: Advancing the Drinking Water Microbiome and Its Connections to Health and Sustainability
Publishing Model: Open Access
Deadline: May 27, 2026
Natural bioactives, Gut microbiome, and human metabolism
Publishing Model: Open Access
Deadline: May 20, 2026
Please sign in or register for FREE
If you are a registered user on Research Communities by Springer Nature, please sign in