Heterochiasmy in the hihi/stitchbird

How conserving a small bird population led to greater understanding of sex-differences in recombination rates.
Heterochiasmy in the hihi/stitchbird
Like

Share this post

Choose a social network to share with, or copy the URL to share elsewhere

This is a representation of how your post may appear on social media. The actual post will vary between social networks
test
View of Tiritiri Matangi from the North Island (Photo by Hui Zhen Tan)

Located 30km north of Auckland, Tiritiri Matangi is a pest-free sanctuary for the native wildlife of Aotearoa New Zealand. As dawn breaks, the chorus of birds offers a glimpse into the forest soundscapes of centuries past before habitat changes disrupted bird communities throughout the landscape. Among these species is the hihi, or stitchbird (Notiomystic cincta), a threatened, taonga (precious) species unique to New Zealand. Historical records suggest that the hihi was once widespread across the North Island and its offshore islands. However, a rapid population decline in the late 1800s following widespread land clearance and the introduction of mammalian predators post-colonisation led to the hihi becoming extinct on the main island. For nearly a century, the hihi persisted solely as a single population on Te Hauturu-o-toi / Little Barrier Island.

Male hihi on Tiritiri Matangi (Photo by Hui Zhen Tan)

Attempts to restore hihi to their former range began in the late 1900s with the translocation of individuals from Little Barrier Island to establish populations on the main island. Today, seven re-introduced populations exist which support hundreds of hihi individuals. In partnership with local Māori, these populations are meticulously cared for by staff and volunteers, who ensure their well-being through regular refilling of sugar water feeders and nest checks during the breeding season. The Tiritiri Matangi population, in particular, has grown to over 200 individuals and now serves as a source for translocations to other sanctuaries.

In addition to supporting population recovery, the dedicated conservation efforts on Tiritiri Matangi have yielded a wealth of information for science. Hihi pedigree relationships are documented alongside lifetime reproductive success, a key measure of individual fitness. DNA samples are collected from nestlings which affords us a glimpse into the genetic processes operating within the population. This rich dataset has been used to advance our understanding of various aspects of population genetics, including genetic diversity, inbreeding, heritability, adaptive potential, and more.

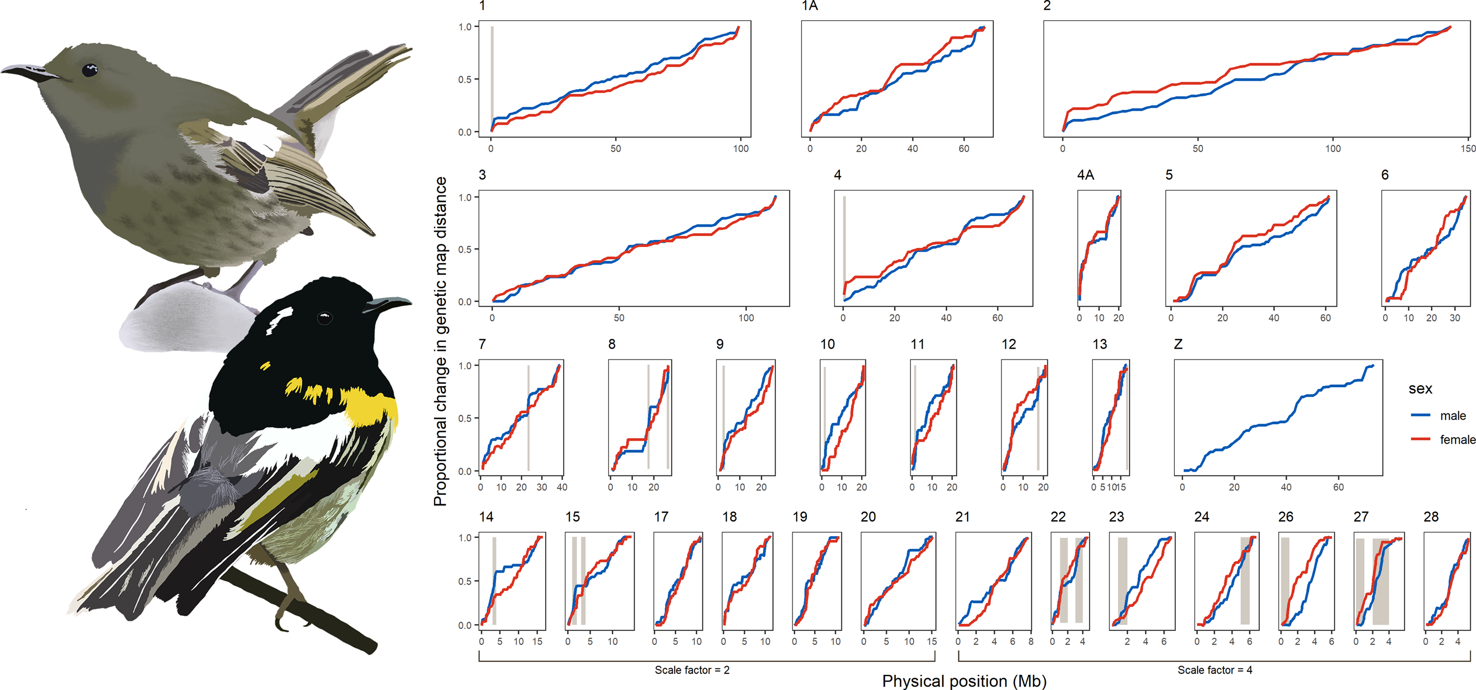
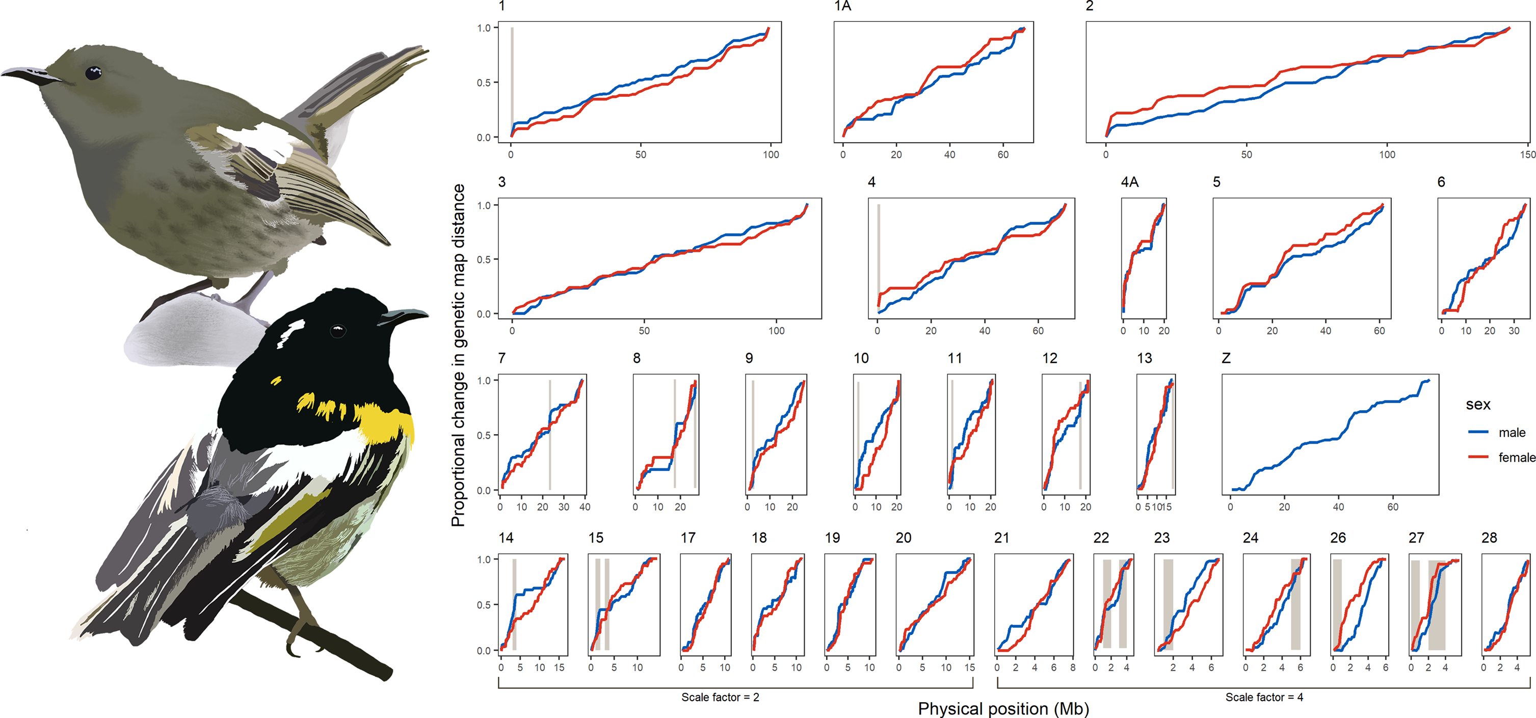
More recently, this dataset has been used to explore another key evolutionary force – recombination. Recombination refers to the process of DNA exchange between homologous chromosomes during meiosis that creates novel allelic combinations. While usually essential for the progression of meiosis, variation in recombination rates is widespread and one notable aspect is heterochiasmy – the difference in recombination rates between sexes – although the underlying mechanisms remain largely elusive. By analysing over 36,000 sites in the genome and 36 family pedigrees, we constructed a high-density linkage map for the hihi, providing insights into the recombination and heterochiasmy landscapes in the hihi.

Pedigree and genetic data facilitated study of heterochiasmy in the hihi (Illustrations by Hui Zhen Tan)

We found that recombination patterns in the hihi aligns with established findings in birds: larger chromosomes exhibit more recombination overall but at lower recombination rates. Interestingly, male hihi show higher recombination rates, with male autosomal maps being 15% longer than those of females. We observed that heterochiasmy occurs more prominently in micro-chromosomes, near chromosome ends, and in regions with higher gene density. Our findings suggest that heterochiasmy may have functional implications. We advocate for the development of more high-density linkage maps to enable comparative analyses to assess existing theories on heterochiasmy.

When you next visit Tiritiri Matangi, take a moment to appreciate the remarkable hihi – not only for its distinctive call and agile movements through the undergrowth but also for its contributions to science.

Please sign in or register for FREE

If you are a registered user on Research Communities by Springer Nature, please sign in

Follow the Topic

DNA Recombination
Life Sciences > Biological Sciences > Molecular Biology > DNA Recombination
Genetic Linkage
Life Sciences > Biological Sciences > Biological Techniques > Genetic Techniques > Genetic Linkage
Genetic Linkage
Life Sciences > Biological Sciences > Genetics and Genomics > Molecular Genetics > Genetic Techniques > Genetic Linkage