How City-Specific Policies Can Drive Sustainable Urban Transport

Published in Sustainability

How City-Specific Policies Can Drive Sustainable Urban Transport
Like

Share this post

Choose a social network to share with, or copy the URL to share elsewhere

This is a representation of how your post may appear on social media. The actual post will vary between social networks

Achieving sustainable urban transportation is critical, and local policies are crucial in achieving this goal. In a recent study published in Nature Sustainability, we find that city-specific strategies can effectively reduce emissions while improving the well-being of urban dwellers. Our study reveals that it is possible to identify climate protection policies that scale in a large number of cities while nonetheless respecting their differences. This is a milestone in the field of urban climate science.

Between Global Assessments and City Models, An Intermediate Scale for Analysis

Our main motivation for conducting this research was that the global potential of cities to mitigate emissions is hard to estimate. Previous global assessments failed to correctly account for city-level policies, as their impacts depend on the unique characteristics of each city, such as urban spatial organization and existing infrastructure1. On the other hand, detailed city models applied to case-study cities are difficult to generalize since the literature is fragmented2 and biased toward larger cities and developed countries3.

To address this issue, we aimed at working at an intermediary scale, between city-level models and global assessments. Specifically, we calibrated a simple city model on 120 cities across 5 continents to estimate the aggregated impact of urban transportation policies if they were applied in all cities simultaneously and to compare cities. The city model, based on the standard urban model of urban economics4, considers detailed city characteristics, including the location of jobs, transportation costs, and local land-use policies. By using this approach, we have been able to estimate the aggregated impacts of different urban transport emissions mitigation strategies over 120 cities, while accounting for the unique characteristics of each city.

Toward urban sustainability

While reducing greenhouse gas emissions is vital, the benefits of sustainable urban transport extend beyond this. Decarbonizing transportation can bring about significant co-benefits, including cleaner air, reduced noise and traffic accidents, and increased physical activity5.

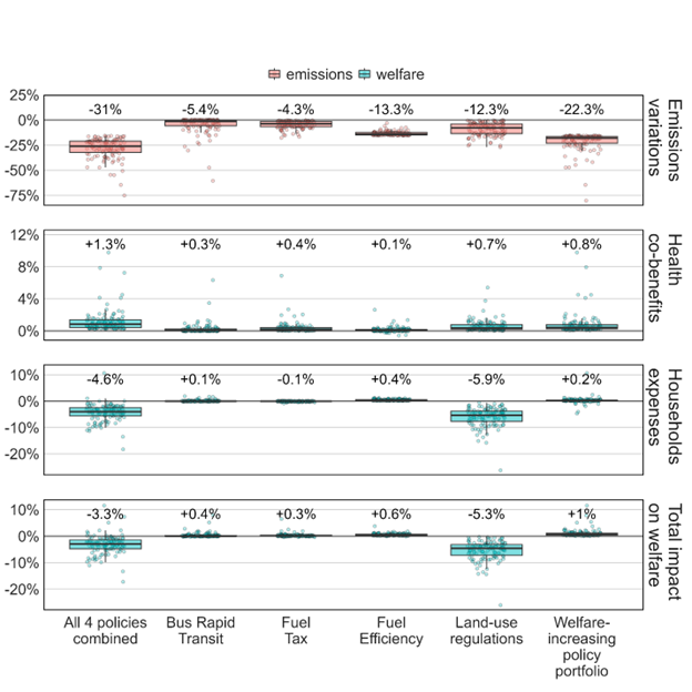
In our study, we measured the impact of four city-level transport policies on emissions mitigation, as well as their effects on various components of well-being, including housing and transport affordability, public finance, air and noise pollution, road accidents, and physical exercise. Our findings suggest that a combination of polluting transportation taxation, land-use regulations, investments in public transport, and vehicle electrification could reduce transportation GHG emissions by up to 31% in 15 years across the 120 cities studied. However, we also found that the health co-benefits from transportation mitigation policies did not fully compensate for their monetary costs, leading to negative impacts on population well-being.

Impact of the four policies on annual transport emissions and average welfare in the 120 cities after 15 years, compared with the Business-As-Usual scenario.

Context-specific policy portfolios

One of the strengths of our approach is that it allows for investigating the specific impact of mitigation policies on individual cities. For instance, we found that investments in Bus Rapid Transit were particularly effective in densely populated, rapidly growing cities like those in South America, while investments in electric cars were more efficient in the typically spread-out North American cities. To achieve maximum emissions mitigation while increasing inhabitants' welfare, it is essential to account for each city's unique characteristics.

Impact of a public transport development policy on CO2 transport emission variation, after 15 years, compared with the Business-As-Usual scenario.

In our study, we designed policy portfolios specific to each city, by implementing, among the four policies that we studied, the combination of policies that maximizes emissions mitigation while increasing inhabitants’ welfare. Our findings revealed that these customized policy portfolios can reduce emissions by up to 22%. This confirms the importance of city-level policies in mitigating GHG emissions globally, and that this mitigation potential is achievable without compromising the well-being and sustainability of urban populations. By ignoring city-specific characteristics, we run the risk of underestimating the potential of cities to mitigate emissions or overestimating the negative impact of mitigation policies on the welfare of inhabitants.

Improving City Data Collection and Consistency

Our analysis benefited from the growing availability of data at a global scale, including satellite data on population density and land cover, crowdsourced transport data, and data obtained through web scraping. This wealth of information allowed us to build a detailed picture of urban transport and emissions for many cities around the world.

However, despite the vast amount of data we were able to gather, two crucial data gaps hindered our analysis and limited the scope of our study. Firstly, data quality varies significantly across the world, and this can impact the accuracy of our modeling. For instance, developing countries tend to have lower-quality OpenStreetMap data6, and Google Maps only recently began accounting for informal transportation modes. Additionally, we had to exclude an entire continent, Africa, because we couldn't locate reliable real estate data. Secondly, certain cities possess unique dynamics and characteristics that our simple city model cannot capture fully. For instance, factors such as income inequality and segregation or employment subcenters, which can be crucial in specific cities, could not be accounted for7. As a result, we could only model 120 out of the nearly 300 cities we initially intended to analyze.

Consequently, collecting spatialized and comparable data on incomes, employment, and transportation modes, especially informal transportation, across representative or exhaustive samples of cities worldwide is critical. This will enable us to model cities more precisely, broaden our analysis, and ensure that our results are generalizable.

References

  1. Waisman, H.-D., Guivarch, C. & Lecocq, F. The transportation sector and low-carbon growth pathways: modelling urban, infrastructure, and spatial determinants of mobility. Clim. Policy 13, 106–129 (2013).
  2. Karjalainen, L. E. & Juhola, S. Urban transportation sustainability assessments: a systematic review of literature. Transp. Rev. 41, 659–684 (2021).
  3. Sethi, M., Lamb, W., Minx, J. & Creutzig, F. Climate change mitigation in cities: a systematic scoping of case studies. Environ. Res. Lett. 15, 093008 (2020).
  4. Fujita, M. Urban Economic Theory: Land Use and City Size. (Cambridge University Press, 1989).
  5. Gössling, S., Nicolosi, J. & Litman, T. The Health Cost of Transport in Cities. Curr. Environ. Health Rep. 8, 196–201 (2021).
  6. Herfort, B., Lautenbach, S., Porto de Albuquerque, J., Anderson, J. & Zipf, A. The evolution of humanitarian mapping within the OpenStreetMap community. Sci. Rep. 11, 3037 (2021).
  7. Liotta, C., Viguié, V. & Lepetit, Q. Testing the monocentric standard urban model in a global sample of cities. Reg. Sci. Urban Econ. 97, 103832 (2022).

Please sign in or register for FREE

If you are a registered user on Research Communities by Springer Nature, please sign in