Identifying the two active sites of the methanol synthesis catalyst

Next year, the heterogeneously catalyzed production of methanol celebrates its 100th anniversary. Nowadays, it is a widely used industrial chemical for many products that touch our daily lives. This alcohol can be synthesized sustainably using carbon dioxide and hydrogen from renewable sources.

Published in Chemistry

Identifying the two active sites of the methanol synthesis catalyst
Like

Share this post

Choose a social network to share with, or copy the URL to share elsewhere

This is a representation of how your post may appear on social media. The actual post will vary between social networks

Industrial methanol synthesis was first described by Patart in 1921 and afterwards commercialized by BASF on the basis of the mixed oxide ZnO/Cr2O3 catalyst in a high-pressure plant operated at high temperatures. Since that time, the production capacity of methanol continuously has increased every year. Back to the 1920s, metallic Cu0 was identified as a highly active catalyst in the conversion of syngas to methanol operating under much milder conditions requiring ZnO as promoter. The thermal stability increases by adding Al2O3 resulting in the classical low-temperature Cu/ZnO/Al2O3 methanol catalyst. It took another 40 years to establish its commercial application by ICI due to the high sensitivity of Cu0 to the sulphur-containing impurities in the syngas mixtures of the early days acting as irreversible poisons. In purified syngas the Cu/ZnO/Al2O3 catalyst has stayed unrivalled up to now.

The number of scientific papers on Cu-based methanol synthesis has exploded since the 1980s, and different topics were controversially discussed. Among them, the identification of the nature of the active site is the most challenging. Since the discovery of the SMSI effect by the Topsøe group, which is the migration of reduced ZnO1-x species onto the Cu0 surface, the majority of the community accepts Cu to be in the metallic phase and the Cu-Zn interface sites to be responsible for the fast formation of methanol from CO2. However, the migrated Zn species on the Cu0 surface have either been assumed to be metallic Cu0-Zn0 or positively charged Znδ+ on Cu0. It has not been possible to end this debate, because a surface-sensitive characterization method, which analyzes the structure of the surface under working conditions, that is, both at higher temperatures and pressures, is still missing.

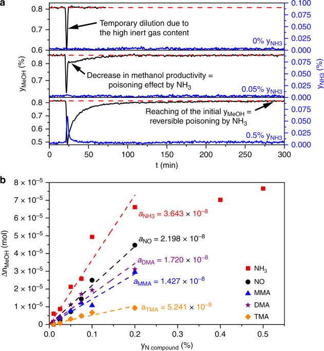
Therefore, we tried to solve this problem kinetically by using selective reversible poisons. The idea originated from our participation in Carbon2Chem®, which is a BMBF-funded project aiming at sustainable steel production based on using the off-gases of steel mills for chemical production. A first screening test with possible impurities clearly identified different types of N-containing compounds as reversible and selective poisons, which are ideal as probe molecules, since they do not cause permanent damage. To further minimize possible irreversible effects, we decided to inject low amounts of the poisons via pulses and, after combining two back-pressure regulators, we developed our unique high-pressure pulse unit, allowing us to probe the chemical state of the catalyst surface under industrially relevant conditions. We compared the poisoning mechanism of various basic N-containing compounds, combined the injection of NH3 and amine pulses with the selective hydrogenation of ethylene and the variation of the CO/CO2 ratio in the syngas mixture. In this way, we were able to clarify that Cu/ZnO/Al2O3 is a continuously changing dual-site catalyst consisting of unpromoted and promoted Cu0 sites, inactive ZnO and Znδ+ on Cu0 due to the presence of the oxygen-containing intermediates of methanol synthesis.

Please sign in or register for FREE

If you are a registered user on Research Communities by Springer Nature, please sign in

Follow the Topic

Chemistry
Physical Sciences > Chemistry

Related Collections

With Collections, you can get published faster and increase your visibility.

Women's Health

A selection of recent articles that highlight issues relevant to the treatment of neurological and psychiatric disorders in women.

Publishing Model: Hybrid

Deadline: Ongoing

Biosensing

With this cross-journal Collection, the editors of Communications Biology, Nature Biomedical Engineering, Nature Sensors, Nature Communications, and Scientific Reports welcome the submission of primary research Articles focusing on the development of engineered biosensing devices with the potential to be applied in biomedical research and in the management of disease conditions.

Publishing Model: Hybrid

Deadline: Jun 30, 2026