Improving Poultry Husbandry and Welfare: Essential Components for Sustainability

Improving poultry welfare by focusing on population density, interior design, and the condition of the skeletal system.
Improving Poultry Husbandry and Welfare: Essential Components for Sustainability
Like

Share this post

Choose a social network to share with, or copy the URL to share elsewhere

This is a representation of how your post may appear on social media. The actual post will vary between social networks

Explore the Research

BioMed Central
BioMed Central BioMed Central

Characterization framework for broiler chicken’s bedding materials focusing on preventative health - Poultry Science and Management

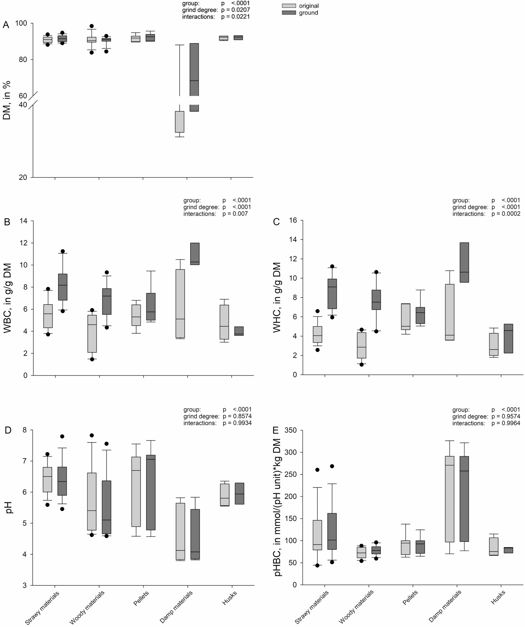
Background Bedding materials have often been poorly characterized in multiple studies, although these studies have examined the impact of various bedding materials on the performance of broilers, their health status, and the environmental impact. The suggestions of less established bedding materials on the market are increasing independent of their characteristics. The objective of this study was to establish a standardized methodology for the characterization of bedding materials for broilers and to apply this to a range of collected bedding materials in order to support the transfer of existing scientific knowledge into practice. A total of 44 bedding materials were collected and categorized into five distinct groups (strawy material, woody material, pellets, damp material, and husks) and quantified using quantitative (volume and particle size), chemical (dry matter, raw ash, acid-insoluble ash, element analysis, mycotoxins), absorbency (water binding and water holding capacity), and acid-base balance parameters (pH and buffer capacity). Results A higher raw ash content and the elevated amount of some analyzed elements in the dry matter was found to result in a higher pH buffer capacity, while a higher proportion of medium particle size was associated with higher water holding capacity. Furthermore, the results indicated that the dry matter and absorbency capacity parameters should be examined on the original sized samples. The acid-base balance could be applied in both ground and original sized samples. Conclusion Overall, an evaluation scheme could be implemented, for evaluation of bedding materials.

Poultry farming is an important production sector providing essential protein through meat and egg production. Intensive agricultural techniques have generated much apprehension about animal welfare and environmental sustainability. The "Improving Poultry Husbandry and Welfare" collection in Poultry Science and Management addresses these problems by focusing on three key aspects: population density, interior design, and the condition of the skeletal system. These characteristics are crucial for the welfare and production of chickens.

 

Population Density and Welfare

Overpopulation in industrial poultry operations is an important issue, resulting in increased stress, aggressiveness, and raised ammonia levels, which negatively impact their respiratory systems. Studies indicates that elevated stocking densities limit mobility and increase negative behaviors like as feather pecking. Research indicates that reducing stocking density can markedly enhance welfare without detracting from output. For example, broilers exhibited best results at densities of 30 kg/m² or lower, but laying hens require a minimum of 750 cm² per bird. Free-range systems, particularly, showed lower mortality rates and better feather quality. In the future, alternate housing solutions and computerized monitoring techniques may enhance space utilization while safeguarding avian wellbeing.

 

Building Design for Better Welfare 

Enriching poultry shelters according to their nature makes an important contribution to maintaining environmental conditions that support the health and productivity of poultry. Proper ventilation is important to reduce heat stress and prevent ammonia accumulation. Adjustable wavelength lighting systems have been shown to improve growth rates and reduce aggression between birds. Additionally, the use of perches and other enrichment materials can help decrease the incidence of bone fractures, which are a common issue among laying hens. Innovative designs such as tunnel-ventilated houses and dark incubators provide effective solutions to improve living conditions and reduce stress in poultry.

 

Bone Health: A Critical Welfare Concern 

Bone health is an important issue for fast-growing broiler chickens, and especially for laying hens.  Osteoporosis affects a significant portion of cage-raised chickens, increasing fracture rates to as high as 85%. Due to their accelerated growth rate, broiler chickens frequently exhibit leg disorders. Solving these problems requires a multifaceted approach, including nutritional strategies such as calcium and vitamin D3 supplementation, selection for stronger bones, and provision of free-range housing to increase bone density. These measures increase welfare and contribute to the sustainability of poultry farming.

 

A Path Forward

The collection “Improving Poultry Husbandry and Welfare” highlights the importance of evidence-based reforms in poultry farming. By targeting important issues such as avian population density, architectural design of housing, and bone wellness, the poultry business may enhance animal welfare, improve product quality, and promote sustainability. Collaboration between researchers, farmers, and policymakers will be important to implement improvements in the poultry field and align poultry production with global welfare standards.

We encourage researchers to contribute to this collection and participate in discussions within the Springer Nature Research Communities to further the field of poultry science. Together, we can work towards a future where poultry farming is both ethical and productive.

Improving Poultry Husbandry and Welfare” is led by Afşin Kocakaya, Ankara University, and Nicole Kemper, Veterinary University of Hannover. The collection accepts original research, reviews, methodologies and commentaries. As a new open access journal, we are able to cover the article processing charges for publications.

 

Afşin Kocakaya, DVM, PhD, Ankara University, Turkey

Afşin Kocakaya received a Ph.D. in Animal Science and a Veterinary Medical degree from Ankara University. His dissertation investigated how hormones influence the reproduction of Akkaraman sheep, a native of Türkiye. Animal welfare in poultry and sheep, reproduction in poultry, sheep, and equines, and genomic research involving various species are his primary areas of study. His current research focuses on phenotyping livestock.

Professor Nicole Kemper, PhD, Veterinary University of Hannover, Germany

Nicole Kemper is the director of the Institute for Animal Hygiene, Animal Welfare and Farm Animal Behaviour at the Veterinary University of Hannover since 2013. Since 2021, she is also leading the WING (Science and Innovation for Sustainable Poultry Farming) at TiHo. Nicole is an internationally recognized expert in farm animal hygiene, behaviour and welfare, with more than 240 scientific publications, often with applied, practical impact, in international peer reviewed journals.

Published on behalf of Afşin Kocakaya.

Please sign in or register for FREE

If you are a registered user on Research Communities by Springer Nature, please sign in

Follow the Topic

Agriculture
Life Sciences > Biological Sciences > Agriculture
Veterinary Science
Life Sciences > Biological Sciences > Veterinary Science
Animal Ethics
Life Sciences > Biological Sciences > Veterinary Science > Animal Ethics
Animal Agriculture
Life Sciences > Biological Sciences > Zoology > Animal Science > Animal Agriculture

Related Collections

With Collections, you can get published faster and increase your visibility.

Isolation, Prevalence and Management of Salmonella in Poultry

Salmonella infections remain a significant concern in the poultry industry, impacting both animal health and food safety. The prevalence of these bacterial pathogens poses risks not only to poultry but also to consumers, making it imperative to explore effective management strategies. Continued research in this area is essential for developing innovative solutions that can mitigate the risks associated with animal salmonellosis, ultimately contributing to improved public health outcomes. Looking ahead, the potential for future advances in this research area is vast. Innovations in biotechnology and genomics may lead to the discovery of new anti-infective agents that can effectively combat Salmonella infections. Furthermore, the integration of precision agriculture and data analytics could enhance our ability to monitor and manage Salmonella prevalence in poultry production systems.

We invite researchers to contribute to this special Collection by submitting articles and reviews. Topics of interest include but are not limited to:

- Rapid identification and enumeration for Salmonella

- Prevalence studies in poultry populations

- Management strategies for animal salmonellosis

- Bacterial resistance and anti-infective agents

- Impact of Salmonella on food safety

- Epidemiological modeling of Salmonella transmission

- Animal welfare considerations in Salmonella control

- Policy implications for Salmonella management

This Collection supports and amplifies research related to SDG 15, Life on Land.

All submissions in this collection undergo the journal’s standard peer review process. Similarly, all manuscripts authored by a Guest Editor(s) will be handled by the Editor-in-Chief. As an open access publication, this journal levies an article processing fee (details here). We recognize that many key stakeholders may not have access to such resources and are committed to supporting participation in this issue wherever resources are a barrier. For more information about what support may be available, please visit OA funding and support, or email OAfundingpolicy@springernature.com or the Editor-in-Chief.

Publishing Model: Open Access

Deadline: Mar 30, 2026