Interrupting conversations among an enigmatic pathogen leads to enhanced antibiotic efficacy.

Published in Microbiology

Interrupting conversations among an enigmatic pathogen leads to enhanced antibiotic efficacy.
Like

Share this post

Choose a social network to share with, or copy the URL to share elsewhere

This is a representation of how your post may appear on social media. The actual post will vary between social networks

Given the prevalence of bacterial biofilms in human disease and their contribution to antimicrobial tolerance, the increase in biofilm-related research over the past three decades is warranted. While the biofilm-lifestyle of canonical pathogens such as Pseudomonas aeruginosa and Staphylococcus aureus has been extensively studied, many species remain poorly understood. Of particular interest to our lab is Achromobacter xylosoxidans: an aerobic, biofilm-forming opportunistic pathogen with increasing prevalence in cystic fibrosis (CF) patients and a widely recognized resistance to several classes of antibiotics. Their intrinsic multidrug resistance presented two challenges: (1) difficulty in treating A. xylosoxidans infections, and (2) molecular-based studies of A. xylosoxidans physiology due to the lack of selectable antibiotic-resistance markers. In this work, we sought to tackle both.  

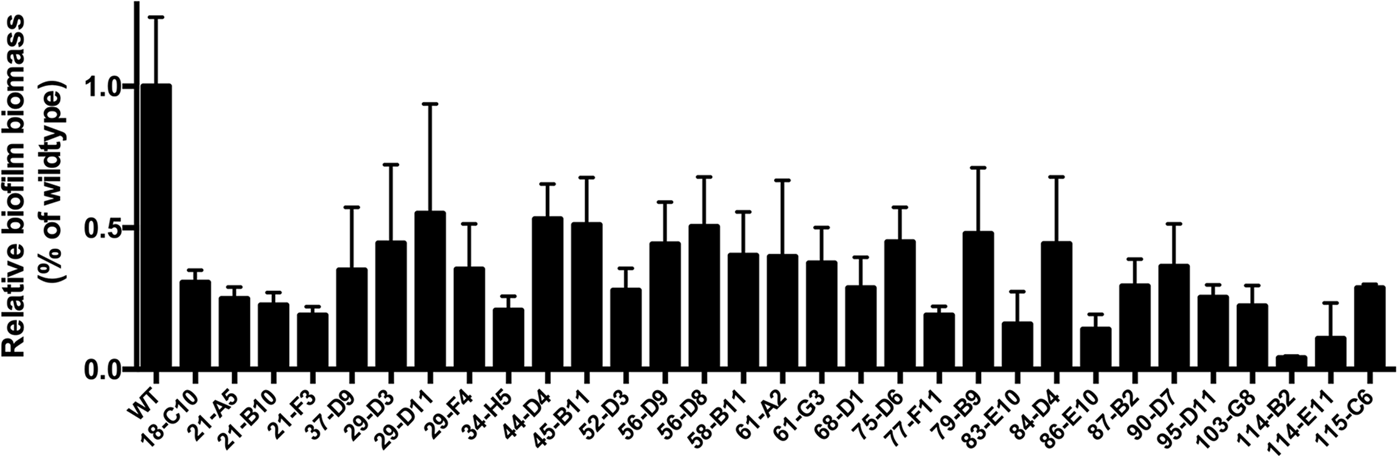
The early stages of this project were an exploratory effort by two students funded by the American Society for Microbiology Undergraduate Research Fellowship program (Alysha Lee and Lydia Cameron).  We first systematically screened a panel of antibiotics for efficacy against A. xylosoxidans and generated a series of plasmid vectors using resistance markers against those antibiotics which were effective. We then used a transposon mutagenesis approach, a common crystal violet biofilm assay, and arbitrarily primed PCR to identify genetic determinants of biofilm formation in A. xylosoxidans. We identified 31 unique mutants without general growth defects that showed decreased biofilm formation, and ultimately took interest in a gene (echA) that was hit multiple times which encodes a putative enoyl-CoA hydratase important in fatty acid signal biosynthesis among other bacteria. 

Our combination of genetic tools and imaging expertise allowed us to use a variety of approaches to look for similarities and differences between the wild type, echA mutant, and complemented strains. We found that initial adhesion and extracellular matrix production were unchanged by the mutation, while overall biomass and biofilm cell density was decreased in the mutant and restored in the complement. Biofilm morphology differences were particularly apparent at higher resolution using scanning electron microscopy, performed by Leslie Kent, another ASM URF recipient.  Interestingly, when we supplemented the growth medium with a synthetic fatty acid signaling molecule (cis-2-decenoic acid) known to play a critical role in biofilm formation in other bacteria, A. xylosoxidans biofilm biomass was restored.  

The role of echA in biofilm morphology also led to our hypothesis that it may play a role in biofilm tolerance to antibiotics. To test this, we assayed two antibiotics, levofloxacin and tobramycin, for their efficacy in killing both WT and mutant biofilms. Remarkably, both compounds showed a significant reduction in biofilm biomass when enoyl CoA hydratase was disrupted, suggesting that interfering with fatty acid-mediated communication in A. xylosoxidans may represent a viable approach to more effective therapeutic intervention. These studies are part of our larger effort geared towards understanding this emerging nosocomial pathogen in the context of CF, endocarditis, pneumonia and other infection contexts.

Please sign in or register for FREE

If you are a registered user on Research Communities by Springer Nature, please sign in

Follow the Topic

Microbiology
Life Sciences > Biological Sciences > Microbiology

Related Collections

With Collections, you can get published faster and increase your visibility.

Natural bioactives, Gut microbiome, and human metabolism

This Collection focuses on natural bioactives, the gut microbiome, and metabolism—emphasizing in vivo studies, metabolic health, and disorders like obesity and NAFLD. We welcome work on biotransformation, biomarkers, and multi-omics approaches.

Publishing Model: Open Access

Deadline: May 20, 2026

Harnessing plant microbiomes to improve performance and mechanistic understanding

This collection invites research on plant microbiomes that enhance growth and resilience through molecular insights and microbiome-based agricultural strategies.

Publishing Model: Open Access

Deadline: Jun 01, 2026