Loss-induced quantum nonreciprocity

Here, we take a counterintuitive stance by engineering loss to generate a vital form of nonreciprocal quantum correlations, termed nonreciprocal photon blockade. we shown that a robust nonreciprocal single- and two-photon blockade can be achieve in a dissipative three-cavity system.

Published in Physics

Like

Share this post

Choose a social network to share with, or copy the URL to share elsewhere

This is a representation of how your post may appear on social media. The actual post will vary between social networks

Nonreciprocal devices allow the flow of light from one side but block it from the other. Thus, such devices play a vital role in quantum information processing. Beyond conventional magneto-optical nonreciprocal devices, optical nonreciprocity can already be realized by through many magnet-free approaches [1-3]. Recent advancements have demonstrated that nonreciprocal optical transmission in linear systems can be achieved through the strategic introduction of loss [4]. However, a crucial question remains unanswered: can loss be harnessed as a resource for generating nonreciprocal quantum correlations?

Loss is an inherent aspect of realistic systems and often poses challenges in quantum information processing, traditionally considered a hindrance. Here, we introduce a counterintuitive mechanism to achieve nonreciprocal photon blockade, a crucial type of nonreciprocal quantum correlations, by leveraging the influence of loss. In a dissipative three-cavity configuration, through the intricate interplay between Kerr nonlinearity and loss engineering, we discover that single-photon blockade characterized by a high transmission coefficient and two-photon, can be selectively achieved by driving the system from one direction while failing from the other.

Model

Schematic of nonreciprocal photon blockade induced by the loss of a auxiliary cavity
Fig1: Schematic of nonreciprocal photon blockade  induced by the loss of a auxiliary cavity

We consider a dissipative three-cavity system of two nonlinear cavities a and c, and a linear resonator b (see Fig1).  The coupling between cavity a and c  is a complex coupling, and it contains a nonzero phase factor θ.  The loss strength of the resonator b can be engineered by placing a chromium-coated silica-nanofiber tip in the vicinity of the microcavity b, featuring strong absorption in the 1550 nm band [5].

Results

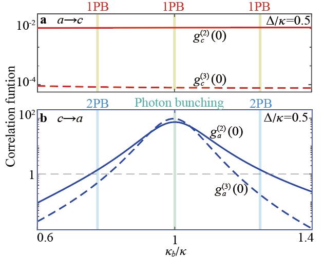
Nonreciprocal single- and two-photon blockade induced by the loss of a auxiliary cavity

Fig2: Nonreciprocal single- and two-photon blockade induced by the loss of a auxiliary cavity

To characterize the quantum correlations among the transmitted photons, one can calculate the equal-time second-order and third-order correlation functions in the steady state. If the loss engineering of cavity b is absent, the correlation functions are reciprocal regardless of the transmission directions, since the system is symmetrical. In contrast, for the system with the loss engineering, κb = κ, the second-order correlation can exhibit giant nonreciprocity, see Fig2. The single-photon blockade can be generated for the photons transmitted from cavity a to c whereas it is almost completely suppressed in the reverse direction. By further refining the loss parameter, nonreciprocal two-photon blockade can also be achieved. Fixing the loss around κb/κ = 1.25, we find that single photon blockade emerges by driving the system from the left  side, while we have two-photon blockade by driving the system from the right side.

This work expands the exploration of loss-induced effects into the quantum nonreciprocal regime, holding potential applications in chiral and topological quantum optics. In a broader context, this work serves as inspiration for further explorations in quantum nonreciprocity, encompassing areas such as nonreciprocal macroscopic quantum superposition, quantum squeezing and other types of quantum correlations, all achieved through loss engineering.

References

[1] Jalas, D. et al. Nat. Photonics 7, 579–582 (2013).

[2] Dotsch, H. et al. J. Opt. Soc. Am. B 22, 240–253 (2005).

[3] Sounas, D. L. & Alu, A.  Nat. Photonics 11, 774–783 (2017).

[4] Huang, X. Y. Light Sci. Appl. 10, 30 (2021).

[5] Peng, B. et al. Science 346, 328–332 (2014).

Please sign in or register for FREE

If you are a registered user on Research Communities by Springer Nature, please sign in

Follow the Topic

Quantum Physics
Physical Sciences > Physics and Astronomy > Quantum Physics

Ask the Editor – Space Physics, Quantum Physics, Atomic, Molecular and Chemical Physics

Got a question for the editor about Space Physics, Quantum Physics, Atomic, Molecular and Chemical Physics? Ask it here!

Continue reading announcement

Related Collections

With Collections, you can get published faster and increase your visibility.

Quantum-Enabled Bioimaging

This collection aims to foster interdisciplinary collaboration, bridging the gap between quantum physics and biomedicine, and to encourage innovative quantum-enabled approaches that can redefine our understanding of complex biological processes.

Publishing Model: Open Access

Deadline: Aug 04, 2026

Algorithms, Protocols and Architectures for Early Fault Tolerance

This collection will serve as a platform to explore how quantum advantage could be best achieved using the early fault-tolerant machines that are expected to emerge in the coming years and may enable us to perform millions to trillions of quantum gate operations.

Publishing Model: Open Access

Deadline: Jun 25, 2026