Molecular Analysis of Pseudomonas aeruginosa Isolates with Mutant gyrA Gene and Development of a New Ciprofloxacin Derivative for Antimicrobial Therapy

Molecular Analysis of Pseudomonas aeruginosa Isolates with Mutant gyrA Gene and Development of a New Ciprofloxacin Derivative for Antimicrobial Therapy
Molecular Analysis of Pseudomonas aeruginosa Isolates with Mutant gyrA Gene and Development of a New Ciprofloxacin Derivative for Antimicrobial Therapy
Like

Share this post

Choose a social network to share with, or copy the URL to share elsewhere

This is a representation of how your post may appear on social media. The actual post will vary between social networks

Explore the Research

SpringerLink
SpringerLink SpringerLink

Molecular Analysis of Pseudomonas aeruginosa Isolates with Mutant gyrA Gene and Development of a New Ciprofloxacin Derivative for Antimicrobial Therapy - Molecular Biotechnology

This study focuses on the prevalence of Pseudomonas aeruginosa in various medical specimens. In addition, the investigates of this research shows the genetic analysis of pathogen-resistant isolates and chemical modifications to ciprofloxacin. A total of 225 specimens from men and women aged 30 to 60 were carefully collected and examined, including samples from wound, burn, urine, sputum, and ear samples. The data were obtained from AL Muthanna hospitals. PCR–RFLP and gene expression analysis were used to identify resistant strains and explore the genetic basis of antibiotic resistance. A ciprofloxacin derivative was synthesized and confirmed through FT-IR, 1H-NMR, and mass spectroscopy techniques then it was tested as antibacterial agent. Also, molecular docking study was conducted to predict the mechanism of action for the synthesized derivative. The results demonstrated that wound samples had the highest positive rate (33.7%) of P. aeruginosa isolates. The PCR–RFLP testing correlated ciprofloxacin resistance with gyrA gene mutation. Gene expression analysis revealed significant changes in the gyrA gene expression in comparison to the reference rpsL gene subsequent to exposure to the synthesized derivative. Furthermore, the molecular docking investigation illustrated the strategic positioning of the ciprofloxacin derivative within the DNA-binding site of the gyrA enzyme. The examination of genetic expression patterns manifested diverse effects attributed to the CIP derivative on P. aeruginosa, thus portraying it as a viable candidate in the quest for the development of novel antimicrobial agents. Ciprofloxacin derivative may offer new antimicrobial therapeutic options for treating Pseudomonas aeruginosa infections in wound specimens, addressing resistance and gyrA gene mutations.

Study Background:
The primary focus of the research is to investigate the prevalence of Pseudomonas aeruginosa in various medical specimens. The study encompasses a comprehensive examination of 225 specimens from individuals aged 30 to 60, covering diverse sources such as wounds, burns, urine, sputum, and ear samples.

Genetic Analysis and Antibiotic Resistance:
The study utilizes advanced techniques like PCR–RFLP and gene expression analysis to identify resistant strains of P. aeruginosa and explore the genetic basis of antibiotic resistance, particularly in connection with the gyrA gene. Notably, the investigation establishes a correlation between ciprofloxacin resistance and mutant gyrA gene presence.

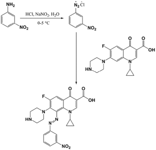
Synthesis and Testing of Ciprofloxacin Derivative:
A new ciprofloxacin derivative is synthesized and characterized using FT-IR, 1H-NMR, and mass spectroscopy techniques. The antibacterial efficacy of the derivative is tested, revealing promising results with MIC values ranging from 1 to 2 μg/ml.

Molecular Docking Study:
The research employs molecular docking techniques to predict the mechanism of action for the synthesized ciprofloxacin derivative. The findings illustrate the strategic positioning of the derivative within the DNA-binding site of the gyrA enzyme, indicating its potential as a novel antimicrobial agent.

Please sign in or register for FREE

If you are a registered user on Research Communities by Springer Nature, please sign in

Follow the Topic

Molecular Biology
Life Sciences > Biological Sciences > Molecular Biology
Microbiology
Life Sciences > Biological Sciences > Microbiology
Antibiotics
Life Sciences > Health Sciences > Biomedical Research > Medical Microbiology > Antimicrobials > Antibiotics
Antibacterial Drug Resistance
Life Sciences > Biological Sciences > Microbiology > Bacteria > Bacterial Physiology > Antibacterial Drug Resistance
Biotechnology
Life Sciences > Biological Sciences > Biotechnology
Biomedical Research
Life Sciences > Health Sciences > Biomedical Research