Onset of criticality in hyper-auxetic polymer networks

by Dr. Andrea Ninarello, Dr. José Ruiz-Franco, and Dr. Emanuela Zaccarelli from CNR Institute of Complex Systems, Uos Sapienza, and the Department of Physics, Sapienza University of Rome. We study the mechanical and thermodynamic properties of ultra-low-crosslinked polymer networks.

Published in Materials

Onset of criticality in hyper-auxetic polymer networks
Like

Share this post

Choose a social network to share with, or copy the URL to share elsewhere

This is a representation of how your post may appear on social media. The actual post will vary between social networks

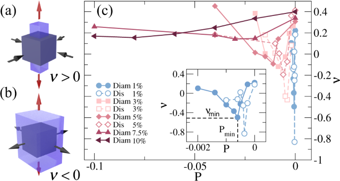
Nowadays, the scientific community focuses on designing materials with specific structural characteristics that can lead to unusual elastic properties. Within this realm, the effort has been maximal in the design of materials with negative Poisson’s ratios ν, called auxetic materials. Unlike ordinary materials, auxetic materials thicken or thin when they are subjected to uniaxial tension or compression. The majority of strategies followed to induce this unordinary mechanical nature involve the assembly of periodic blocks with special geometry or pruning methods.

At the same time, hydrogels and microgels have again gained a great deal of attention in recent years thanks to advances in chemical and in silico synthesis. These advances are combined with the incredible versatility of these materials, which are widespread in diverse fields such as tissue engineering, regenerative medicine, or solar cells. However, owing to the disordered structure of the polymer network that constitutes hydrogels and microgels the possibility of inducing auxetic behavior in them by judicious design of the geometrical properties is still limited.

In this paper, we explore an alternative route to obtain a negative ν in polymer networks via numerical simulations by exploiting a critical-like behavior proper of the statistical mechanics triggered, in turn, by specific design choices. We did it as we believe that the production of auxetic hydrogels and microgels can have an impact in science and industry.

Our technique relies on assembling ordered (diamond-like) and disordered polymer networks at different crosslinker concentrations c, and submitting them to internal tension P. Then, by making use of stress-strain molecular dynamics simulations and applying uniaxial deformation, we compute the Young modulus Y and ν, and explore the entire (P,c) phase diagram. We thus unveil that in the limit of extremely low fraction of crosslinkers, sometimes called in the literature ultra-low-crosslinked, a wide region of auxetic behavior can be induced applying an infinitesimally small tension. Likewise, our results reveal an outstanding scenario in which auxeticity is independent of the network topology, showing the same qualitative results in ordered and disordered networks. Furthermore, our results have been always obtained in good solvent conditions, i.e. in the absence of a monomer-monomer attraction.

Fig. 1 Mechanical and thermodynamical behaviors. (a) Poisson's ratio ν as a function of negative pressure for diamond hydrogels with c = 0.3%, 0.35%, 0.5%. (b) Density fluctuations as a function of time for a diamond hydrogel with c = 0.35% at P=-8.19× 10-5 kBT/σ3.

Strikingly, we observe that for a crosslinker concentration below 1%, we are able to reach the mechanical stability point of solids, that we refer to as hyper-auxeticity, as we show in Fig.1 (a). Then, we identify that, concurrently with the mechanical instability, a critical-like behavior emerges, presenting very similar features to those found in systems undergoing a gas-liquid phase separation such as the divergence of the isothermal compressibility (or a corresponding vanishing bulk modulus) and critical-like density fluctuations of the network between high-density and low-density states, as shown in Fig. 1(b).

 Given that it has become recently possible to prepare hydrogels and microgels of large size with very low amounts of crosslinkers and to measure their elastic properties in experiments, e.g. by means of capillary micromechanics, our numerical work can be readily verified in the lab. Finally, this work opens up a new avenue at the interface between statistical physics and materials science, suggesting an intriguing interplay between thermodynamic and mechanical instabilities.

For more information, please visit our paper.

https://www.nature.com/articles/s41467-022-28026-z

Please sign in or register for FREE

If you are a registered user on Research Communities by Springer Nature, please sign in

Follow the Topic

Materials Science
Physical Sciences > Materials Science

Related Collections

With Collections, you can get published faster and increase your visibility.

Women's Health

A selection of recent articles that highlight issues relevant to the treatment of neurological and psychiatric disorders in women.

Publishing Model: Hybrid

Deadline: Ongoing

Biosensing

With this cross-journal Collection, the editors of Communications Biology, Nature Biomedical Engineering, Nature Sensors, Nature Communications, and Scientific Reports welcome the submission of primary research Articles focusing on the development of engineered biosensing devices with the potential to be applied in biomedical research and in the management of disease conditions.

Publishing Model: Hybrid

Deadline: Jun 30, 2026