International agreement has implemented the unique Montreal Protocol (agreed in 1987) in 1989 with precise aim of reducing the global emissions of ozone-depleting substances. The ozone healing has begun since early 2000 onwards, as the various ozone-depleting substances have been reduced significantly under the Montreal Protocol and its subsequent amendments.
Given that the reduction of ozone-depleting substances because of Montreal Protocol is playing an important role in ozone healing, the reduced concentration of stratospheric aerosols in recent past decades due to the past occurrence and subsequent long quiescent periods of strong volcanic eruptions is expected to be the other important factor in stabilizing the total ozone concentration of the Earth. Indeed, the increase in stratospheric aerosol concentration is a very strong ozone-depleting factor. This follows as the volcanic eruptions, which enhance particularly the burden of stratospheric sulphate aerosols, are interfering the ozone healing process episodically even in 2015 after the Calbuco or other eruptions.
The strong volcanic eruptions inject huge amount of SO2 in the stratosphere to form excess H2SO4 responsible for the excess stratospheric sulphate aerosol burden−which in turn results in the excess H2SO4 in upper stratosphere via evaporation from the surface of stratospheric sulphate aerosols. Moreover, the strong volcanic eruptions initiate the atmospheric cooling as the volcanically injected particles, excess stratospheric sulphate aerosols and excess H2SO4 above the stratospheric sulphate aerosol layer reduce the Earth's radiative balance significantly through scattering of solar-radiation back into the space. Similarly, the deliberate injection of man-made stratospheric sulphate aerosols of right size or SO2 has been considered as the possible geoengineering scheme to control the global warming. This is because the injected sulphate aerosol particles or the sulphate particles produced from SO2 would reduce the Earth's radiative balance through scattering of solar-radiation back into the space.
Consequently, while the healing of ozone depletion and global warming control are important to save the lives on Earth, the most important and basic facts that we need is the comprehensive understanding of various risk factors associated with the geoengineering missions. Will the geoengineering scheme, using sulphate aerosols/SO2, among various risk factors controls the Earth's radiative balance at cost of significant ozone depletion beyond our control? Is there yet an undiscovered potential mechanism of ozone depletion, especially, involving H2SO4 and the other atmospheric species in gas-phase, while H2SO4 is the seed molecule for the formation stratospheric sulphate aerosols that assist ozone depletion significantly? Moreover, what are the mechanisms involved in regenerating both the OH radical and SO2 in upper stratosphere, while strong volcanic eruptions inject huge amount of SO2 in the stratosphere that results in excess stratospheric sulphate aerosol/H2SO4 burden in presence of background atmospheric OH radical/O2/H2O.

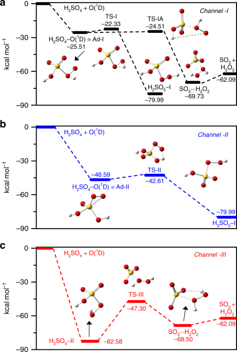
Fig. 1: Interpretation of Sulfuric Acid Decomposition Chemistry Concerning Ozone Depletion and Healing after a Strong Volcanic Eruption (More Information)
The Venus is an evil twin of Earth. The volcanic eruptions in Venus were the major activity in past and to the best of my knowledge, until now a layer of ozone detected only in the night-side upper atmosphere. Hence, will the future volcanic eruptions and, especially, the different geoengineering missions in the Earth be the real threats to perturb ozone healing process or the Earth's atmosphere significantly and beyond?
When you will try to explore the possible answers of all these globally important questions, I would suggest checking out our work along with the existing literature that may motivate you further in precise understanding the Earth's atmospheric chemistry and beyond for saving the lives on Earth. Fig. 1 represents the abstract of our work.
Dr. Sayantan Pradhan and Dr. Subrata Mondal from CSD@SINP are gratefully acknowledged for their help in drawing the figures
Follow the Topic
-
Communications Chemistry
An open access journal from Nature Portfolio publishing high-quality research, reviews and commentary in all areas of the chemical sciences.
Related Collections
With Collections, you can get published faster and increase your visibility.
Experimental and computational methodology in structural biology
Publishing Model: Open Access
Deadline: Apr 30, 2026
Advances in Asymmetric Catalysis for Organic Chemistry
Publishing Model: Open Access
Deadline: Mar 31, 2026
Please sign in or register for FREE
If you are a registered user on Research Communities by Springer Nature, please sign in