Phase I/II trial of lenalidomide, methotrexate, leucovorin, cytarabine, and rituximab (LeMLAR) in relapsed or refractory diffuse large B-cell lymphoma
Published in Cancer
Based on the kinetic model underlying the COMLA regimen, we combined lenalidomide with methotrexate, leucovorin, cytarabine, and rituximab (LeMLAR) in a phase I/II trial including 34 patients (median prior lines of therapy, 2; range, 1-4). Dose-limiting toxicity was determined in cycles 1 and 2, and dose escalation was allowed in cycles 3-6 of a maximum of six 28-day cycles.

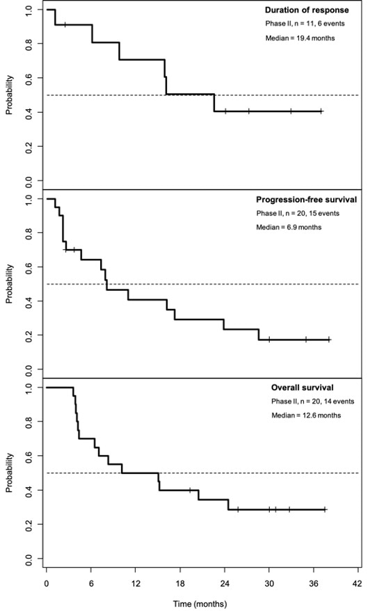
The maximum tolerated dose was lenalidomide (20 mg, day 1-21), methotrexate (60 mg/m2, day 1, 8, 15), cytarabine (150 mg/m2, day 1, 8, 15), and rituximab (375 mg/m2, day 1). Of 20 patients treated in phase II, six and five achieved a complete or partial remission, respectively (objective response rate, 55%). Doses were escalated by up to two levels in 40% of patients. Median response duration was doubled in comparison to the preceding line of therapy (19.4 versus 9.5 months), with four long-term survivors maintaining their responses for >21-32 months. Median progression-free and overall survival times were 6.9 and 12.6 months, respectively, with similar results in germinal center B-cell (GCB) and non-GCB lymphomas.

During treatment, lymphocyte counts increased in complete responders and decreased in non-responders. The regimen was well tolerated. Grade 3-4 adverse events occurring in >1 patient included anemia (25%), thrombocytopenia (20%), neutropenia (20%), and infection (15%).
The results obtained with LeMLAR in relapsed or refractory diffuse large B-cell lymphoma are similar to those reported for other novel approaches, such as polatuzumab vedotin, bendamustine and rituximab,7 lenalidomide and tafasitamab,8 or chimeric antigen receptor T cells.9 The safety profile appears more favorable. When combining lenalidomide with classical cytotoxic drugs, it may be important to choose agents maintaining the viability and function of immune effector cells that are essential for lenalidomide’s indirect mechanisms of action. Deleterious effects on natural killer cells and T cells may explain why combinations with alkylator-based regimens have so far been disappointing.10
- Gribben, J.G., Fowler, N. & Morschhauser, F. Mechanisms of action of lenalidomide in B-cell non-Hodgkin lymphoma. J. Clin. Oncol. 33, 2803–2811 (2015).
- Witzig, T.E. et al. A comprehensive review of lenalidomide therapy for B-cell non-Hodgkin lymphoma. Ann. Oncol. 26, 1667–1677 (2015).
- Gaynor, E.R., Ultmann, J.E., Golomb, H.M. & Sweet, D.L. Treatment of diffuse histiocytic lymphoma (DHL) with COMLA (cyclophosphamide, oncovin, methotrexate, leucovorin, cytosine arabinoside): a 10-year experience in a single institution. J. Clin. Oncol. 3, 1596–1604 (1985).
- Matheson, D.S., Green, B. & Hoar, D.I. The influence of methotrexate and thymidine on the human natural killer cell function in vitro. J. Immunol. 131, 1619–1621 (1983).
- Markasz, L. et al. Effect of frequently used chemotherapeutic drugs on the cytotoxic activity of human natural killer cells. Mol. Cancer Ther. 6, 644–654 (2007).
- Ersvaer, E., Brenner, A.K., Vetås, K., Reikvam, H. & Bruserud, Ø. Effects of cytarabine on activation of human T cells - cytarabine has concentration-dependent effects that are modulated both by valproic acid and all-trans retinoic acid. BMC Pharmacol. Toxicol. 16, 12 (2015).
- Sehn, L.H. et al. Polatuzumab vedotin in relapsed or refractory diffuse large B-cell lymphoma. J. Clin. Oncol.38, 155–165 (2020).
- Salles, G. et al. Tafasitamab plus lenalidomide in relapsed or refractory diffuse large B-cell lymphoma (L-MIND): a multicentre, prospective, single-arm, phase 2 study. Lancet Oncol. 21, 978–988 (2020).
- Abramson, J.S., Lunning, M. & Palomba, M.L. Chimeric antigen receptor T-cell therapies for aggressive B-cell lymphomas: current and future state of the art. Am. Soc. Clin. Oncol. Educ. Book 39, 446–453 (2019).
- Davies, A.J. Precision medicine in DLBCL: Are we there yet? J. Clin. Oncol. 39, 1314–1316 (2021).
Follow the Topic
-
Blood Cancer Journal
This journal seeks to publish articles of the highest quality related to hematologic malignancies and related disorders.
Please sign in or register for FREE
If you are a registered user on Research Communities by Springer Nature, please sign in