Quantum critical Eliashberg theory, the Sachdev-Ye-Kitaev superconductor and their holographic duals

Holography is a duality between conformally invariant physical systems and gravity theories in one additional dimension.

Published in Physics

Quantum critical Eliashberg theory, the Sachdev-Ye-Kitaev superconductor and their holographic duals
Like

Share this post

Choose a social network to share with, or copy the URL to share elsewhere

This is a representation of how your post may appear on social media. The actual post will vary between social networks

Holography is a duality between conformally invariant theories and gravity theories in one additional dimension. In electronic materials, conformal symmetry emerges e.g. in the vicinity of quantum critical points (QCPs) characterized by power-law behavior of some physical observables. However, here charge carriers are not good quasi-particles, are usually strongly interacting and cannot hence be described with the well-known Fermi liquid theory and band structure. Moreover, these incoherent carriers are often more unstable towards formation of superconducting pairs. This behavior is typical of e.g. iron-based superconductors or heavy-fermion compounds. The interplay between quantum criticality and superconductivity represents a challenging problem in condensed matter physics, and holography might provide a method to address such a phenomena.

Holography was initially established in string theory, where a very specific conformal field theory - N=4 super Yang-Mills (SYM) - was shown to be dual to a spacetime in one higher dimension with constant and negative curvature: an anti-de-Sitter (AdS) space. Subsequently, this was generalized by conjecturing a more general duality between quantum field theories and gravity theories in asymptotically AdS spaces. However, though there is plenty of strong evidence in favor, there is no rigorous proof of this statement and it is unclear how to precisely build the gravity side up. Even so, holography can still be applied within a bottom-up approach, where the gravity dual is “cooked-up” to match the symmetries of the physical system under analysis by following the rules of the so-called holographic dictionary. This is far less arbitrary than it sounds: the successful Ginzburg-Landau theory of phase transitions is based on similar bottom-up constructions. Even so, the lack of a clear one-to-one map between holographically dual theories leads to some unanswered questions, such as on the physical meaning of a location in the additional holographic dimension. There are many indications that this dimension represents the energy scale of the dual theory, but determining precisely how the renormalization group (RG) flow is encoded by gravity point-by-point is unclear. In addition to this issue there is a so to speak communication problem. In those applications to condensed matter, we should bear in mind that the language of gravity is not as directly applicable to materials as that of many-body physics. For example, we are not used to thinking of some phases of matter as particular geometries close to the event horizon of a black hole.

Figure 1: cartoon of the RG flow
of the Majorana SYK model.
Quasiparticles disappear in the
proximity of a low-energy fixed point.
Lines represent interactions.

Since no full proof of the correspondence is available, identifying particular quantum models where the gravity dual can be derived explicitly is vital. A big step forward was made with the model of Sachdev, Ye and Kitaev (SYK) for Majorana fermions in zero spatial dimensions (Fig.1). Most notably, it exhibits quantum critical behavior at low energies and is analytically solvable in the limit of infinite number of interacting modes. It is hence a solvable toy model for non-quasiparticle physics, typical of the above-mentioned quantum critical metals. Though at high energies SYK does not have a clean holographic dual gravity description, at low energies the effective Goldstone action associated to the breaking of the emergent conformal symmetry at the quantum critical point can be derived either from the quantum Hamiltonian of SYK or from a perturbation analysis of an associated AdS2 spacetime. This provides an explicit map between the two.

Despite this derivation, a more skeptical point of view could be that in this special case it is not surprising that AdS2 yields the same results of a one-dimensional conformal theory, as the low energy effective action is controlled by a broken symmetry and this explains the equivalence rather than holographic duality. Therefore, identifying an example with a lower number of symmetries is highly desirable.

In our recently published paper in npj Quantum Materials, we have generalized this AdS2/SYK correspondence including the superconducting instability near quantum critical points. We have considered a variant of the model where the interaction between two fermions is mediated by a boson: the Yukawa-SYK model. 

Figure 2: phase diagram of the Yukawa-SYK model spanned by
temperature in units of the UV cutoff Λ and pair breaking. At high
values of pair breaking the system crosses over from the quantum
critical (yellow) to the quantum disordered (red) region. At smaller
values and lowering temperature, the system is initially dominated
by classical fluctuations (green) and then enters the condensed phase
(blue). The critical temperature vanishes at a BKT QCP.

Furthermore, such an interaction can be tuned through a pair breaking parameter. The Yukawa-SYK system is governed by the well-known Eliashberg equations for phonon-mediated superconductivity at strong coupling. Interestingly, the superconducting critical temperature vanishes continuously in a Berezinskii–Kosterlitz–Thouless (BKT) transition at a given value of the pair breaking parameter. This quantum critical point marks the BKT phase transition between a conformal normal state and superconducting one (Fig.2).

What we have shown is that the linearized Eliashberg gap equation of the Yukawa-SYK model can be mathematically mapped into those of a holographic order parameter in an AdS2 space. This fact hints at a deeper intimate connection between our model and gravity than just symmetries. This is reasonable on general grounds because both strongly coupled Eliashberg theory and holography aim to describe the physics of quantum critical superconducting fluctuations and should indeed be two sides of the same coin. In our paper we have demonstrated this duality more generally by deriving the holographic action from that of SYK through a step-by-step procedure.

From the holographic Ginzburg-Landau-like perspective, this computation yields a microscopical interpretation of the order parameter field in term of a paired constituent. The superconducting instability on the holographic side is a standard second order phase transition. More importantly, we have demonstrated that the extra dimension in the holographic AdS description is given by the frequency difference between the two microscopic constituents of the order parameter in SYK, understanding clearly the microscopic roots of gravity in the context of our model (Fig.3). This is one of the clearest examples in which the extra dimension is seen to be precisely a measure of the energy scale.

Figure 3: RG flow of the Yukawa SYK model. Below a UV scale Λ the system enters the quantum critical phase that can be equivalently described in terms of a curved AdS2 space. The superconducting instability corresponds to an order parameter atmosphere around a black hole event horizon.

Using the low energy conformal and U(1) invariances of SYK, we have extended our calculation to finite temperatures and chemical potential respectively. Finite temperature induces a cutoff of the holographic direction. This is the event horizon of a black hole in AdS2. Chemical potential induces a U(1) charge of the holographic condensate, which is twice that of the incoherent superconducting pair.

Figure 4: new entries of the holographic dictionary given by the AdS2/SYK correspondence with superconductivity.

Our finding allows us to phrase the correspondence with a language oriented to condensed matter, giving the precise mapping between the holographic and field-theoretical parameters (Fig.4). The gravitational description can now be more clearly understood as a consequence of quantum criticality.

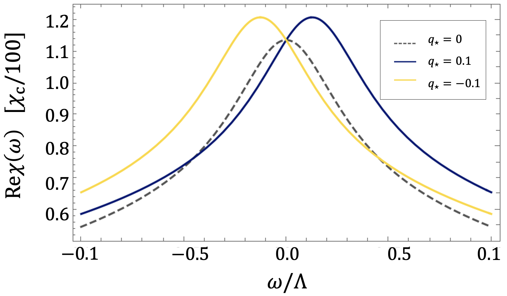
Figure 5: real part of the pairing susceptibility χ as a function
of the 
absolute frequency. Λ is a UV cutoff, χthe  susceptibility
at the QCP and qthe condensate charge.

Having established the equivalence between Eliashberg theory and holographic superconductivity, we have applied our mapping to evaluate the dynamics of quantum critical pairing fluctuations. Such aspects are not easy to describe through the equations of phonon-mediated superconductivity, as time translation invariance is destroyed by the time-dependent pairing source.

On the contrary, this problem is straightforward in AdS2, where the evolution equation of the pairing field is analytically solvable. In our work, we have determined the dynamic pairing susceptibility of SYK purely via holographic methods (Fig.5). This is an example where it is more efficient to formulate a physical problem in the geometric gravitational formalism.

Our AdS2/SYK correspondence is a further confirmation of how holography can be an efficient tool for condensed matter. A natural extension of this approach would include nonlinear terms around the mean-field action, that in the geometric language correspond to gravitational back reactions. This can give information on the superconducting fluctuations in the condensed state for e.g. magnetic and nematic quantum critical points, or critical spin liquids. Since one can probe such systems, this provides conceptually a way to eventually bring holography to the lab.

For more information, please refer to our paper published in npj Quantum Materials, “Quantum critical Eliashberg theory, the SYK superconductor and their holographic duals https://doi.org/10.1038/s41535-022-00460-8”. 

I am grateful to my co-authors K. Schalm and J. Schmalian for their helpful review and editing of this blog post. 

Please sign in or register for FREE

If you are a registered user on Research Communities by Springer Nature, please sign in

Follow the Topic

Physics and Astronomy
Physical Sciences > Physics and Astronomy

Related Collections

With Collections, you can get published faster and increase your visibility.

Intertwined Orders in Quantum Materials – In Memory of Daniel Khomskii

This special collection brings together research papers and reviews exploring various intertwined orders across the orbital, charge, spin, or lattice sectors, serving as a tribute to Daniel Khomskii.

Publishing Model: Open Access

Deadline: May 13, 2026

Altermagnetic Materials and Phenomena

This collection aims to bring together researchers working on altermagnets from all different fields, including but not limited to crystallography, condensed matter physics, chemistry, and materials science.

Publishing Model: Open Access

Deadline: Apr 30, 2026