Regional excess mortality during the 2020 COVID-19 pandemic in five European countries

Published in Healthcare & Nursing

Regional excess mortality during the 2020 COVID-19 pandemic in five European countries
Like

Share this post

Choose a social network to share with, or copy the URL to share elsewhere

This is a representation of how your post may appear on social media. The actual post will vary between social networks

According to the World Health Organization (WHO), the Coronavirus disease 2019 (COVID-19) has caused 1,813,188 deaths globally, prior to mass vaccination (January 2021) [1]. Monitoring the COVID-19 death toll using COVID-19 related deaths can be problematic, as COVID-19 related deaths can suffer from accuracy and completeness issues. Such issues are especially prominent during the first stages of the pandemic, for instance due to the limited access to testing or changes in the COVID-19 deaths definition [2]. In addition to this, COVID-19 deaths provide an incomplete picture of the death toll imposed by the pandemic, as they neglect deaths by other causes due to disruption to health services and wider economic, social and behavioural changes in the population [3, 4]. Alternatively, excess mortality has been extensively used to evaluate the impact of the COVID-19 pandemic on mortality [4, 5].

Excess mortality is calculated by comparing the observed with the expected number of all-cause deaths under the counterfactual scenario that the pandemic did not occur. Typically, the expected number of deaths under the counterfactual scenario is calculated by extrapolating historical all-cause mortality trends (https://www.euromomo.eu/). Nevertheless, as the number of deaths depends on factors such as population, seasonality, temperature, public holidays and spatio-temporal dependencies, these factors should be incorporated in this extrapolation. Most studies to date have estimated excess mortality at national level and a few have looked across different countries reporting important geographical discrepancies [4, 5].

In this multi-country study in Europe, we calculate excess mortality, accounting for the above-mentioned factors, during the entire 2020 in England, Greece, Italy, Spain, and Switzerland at the sub-national level. The use of the sub-national level in a multi-country scheme makes our study unique. We stress the importance of calculating the excess mortality at the subnational level (using smaller regions), as Variations at small geographical scale may help our understanding of the transmission patterns and the effectiveness of policies and measures to contain the pandemic. In addition, our sub-national scale can inform public health polices to targeted care delivery approaches, resetting the health systems and communication efforts encouraging persons in areas affected most to safely seek timely routine, urgent, and emergency care.

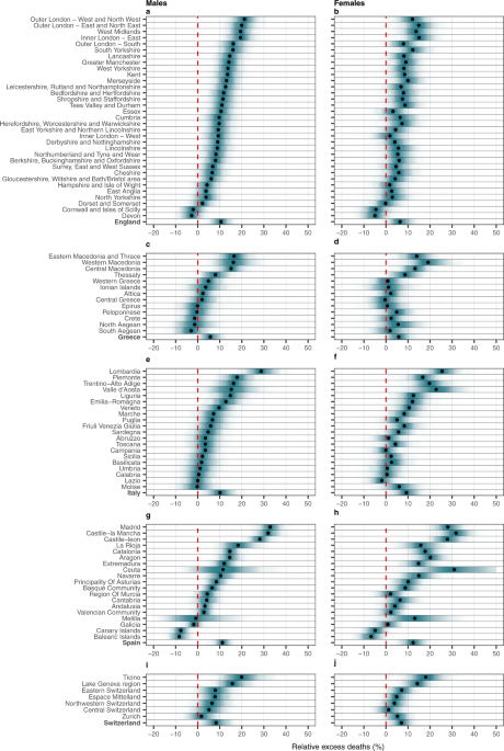
A total of 565,505 deaths were recorded in 2020 in England, 132,514 in Greece, 756,450 in Italy, 485,536 in Spain and 77,222 in Switzerland. Comparing the observed number of deaths with the mean number of deaths from 2015 to 2019, there were 40,631 and 27,739 excess deaths in males and in females, respectively, in England, 5,380 and 5,909 in Greece, 59,327 and 52,206 in Italy, 35,868 and 33,208 in Spain and 5,788 and 4,526 in Switzerland.

Figure 1 shows the percentage relative difference in the excess mortality and the probability that the excess mortality is greater than 0 for the different regions, for each week in 2020. A percentage relative difference of 10% means that the number of deaths in a particular week and region has increased by 10% relative to what we would have expected had the pandemic not occurred. Probabilities of a positive relative difference higher than 0.95 (grey pixel, left panel Figure 1) can be interpreted as strong evidence that a region during a particular week experiences more deaths compared to what was expected had the pandemic not occurred.

Across the five countries, a percentage relative increase larger than 200% is observed only during the first epidemic period of 2020 (March-May 2020) in England (Greater London), Italy (Lombardia) and Spain (Madrid, Castille-La Mancha, Catalonia), Figure 1. In Switzerland, during the first epidemic period, the geographical patterns of excess mortality were highly localised, with Ticino experiencing the highest excess mortality. In contrast, the geographical variability in Greece was more dispersed. During the second epidemic period (October-December 2020), the excess mortality in Italy and Switzerland was similar across the country, whereas in Greece was highly localised, with Central Macedonia experiencing a relative excess mortality between 100-200% during November 2020.

Several factors may have contributed to the observed differences in excess mortality. Factors depending on the country's demographic and socio-economic characteristics, including age structure, ethnicity, level of deprivation, and environmental factors might explain a small magnitude of the observed differences. In addition, differences in the timeframe of non-pharmaceutical interventions in countries and regions and the resilience and capacity of health care systems have played a role. Nevertheless, the mobility of populations across borders and between regions and the timeliness of lockdowns have probably been the most important factors.

Figure 1. Weekly median relative excess deaths (%) across the different countries by regions in 2020 (left) and probability that the weekly relative excess is larger than 0% (right).

The first wave of the pandemic was exogenous, with international airports and transport routes serving as main entry points. Thus, the highest number of excess deaths during the first wave was observed in the areas affected first, i.e., big transit hubs like London, Madrid, Lombardia and Ticino, and Geneva. The lockdowns in Italy, England and Spain were introduced after community transmission was established in the areas first affected. The lockdown reduced mobility, allowing some areas to maintain lower levels of community transmission. In Greece, a timely nationwide lockdown was imposed on March 13, 2020, before the country reached 100 reported cases per day, potentially explaining the lack of excess mortality nationwide during the first six months of 2020.

The spatial distribution of excess mortality during the second wave of the pandemic was more homogeneous, reflecting multiple routes of entry and transmission. In Italy and Switzerland, the geographical distribution of the excess deaths was equal nationwide, whereas it was more variable in England, Greece and Spain. In Greece, where community transmission was not established during the first epidemic wave, the patterns observed were highly localised, mimicking the patters observed in the other countries during the first epidemic wave.

The study underlines the role of the transit hubs in community transmission and highlights the importance of rapid action to limit transmission around these hubs is essential to prevent spread to other regions and countries. For more information and results you can check our paper [6] and our web application (http://atlasmortalidad.uclm.es/excess/).

References

  1. Organization, W.H., The true death toll of COVID-19: estimating global excess mortality. World Health Organization. Retrieved October, 2021. 30.
  2. Karanikolos, M. and M. McKee, How comparable is COVID-19 mortality across countries? Eurohealth, 2020. 26(2): p. 45-50.
  3. Kaczorowski, J. and C. Del Grande, Beyond the tip of the iceberg: direct and indirect effects of COVID-19. The Lancet Digital Health, 2021. 3(4): p. e205-e206.
  4. Kontis, V., et al., Magnitude, demographics and dynamics of the effect of the first wave of the COVID-19 pandemic on all-cause mortality in 21 industrialized countries. Nature medicine, 2020. 26(12): p. 1919-1928.
  5. Islam, N., et al., Excess deaths associated with covid-19 pandemic in 2020: age and sex disaggregated time series analysis in 29 high income countries. bmj, 2021. 373.
  6. Konstantinoudis, G., et al., Regional excess mortality during the 2020 COVID-19 pandemic in five European countries. Nature Communications, 2022. 13(1): p. 482.

Please sign in or register for FREE

If you are a registered user on Research Communities by Springer Nature, please sign in

Follow the Topic

Health Care
Life Sciences > Health Sciences > Health Care

Related Collections

With Collections, you can get published faster and increase your visibility.

Women's Health

A selection of recent articles that highlight issues relevant to the treatment of neurological and psychiatric disorders in women.

Publishing Model: Hybrid

Deadline: Ongoing

Biosensing

With this cross-journal Collection, the editors of Communications Biology, Nature Biomedical Engineering, Nature Sensors, Nature Communications, and Scientific Reports welcome the submission of primary research Articles focusing on the development of engineered biosensing devices with the potential to be applied in biomedical research and in the management of disease conditions.

Publishing Model: Hybrid

Deadline: Jun 30, 2026