Shining light on cross dehydrogenative coupling (CDC) of heteroarenes and alkanes

We reported the photoinduced cross-dehydrogenative coupling reactions of heteroarenes with activated/unactivated alkanes, which were proposed to be mediated by chlorine radicals. With a catalytic combination of chloride and cobalt, the current protocol could avoid the usage of stoichiometric chemical oxidants and feature broad substrate scope.

Published in Chemistry

Shining light on cross dehydrogenative coupling (CDC) of heteroarenes and alkanes
Like

Share this post

Choose a social network to share with, or copy the URL to share elsewhere

This is a representation of how your post may appear on social media. The actual post will vary between social networks

We, Li’s group at McGill University, have been dedicated to developing unconventional transformations and improving reaction efficiencies to better serve different synthetic purposes. For decades, we aspired to achieve C-C bond formation from two C-H bonds, which was conceptualized as “cross dehydrogenative couplings (CDCs)”. Such a dual C-H functionalization manifold proceeded with the removal of H2 equivalence, therefore, featuring formally greatest atom and step economy as prefunctionalization was not mandated.

Scheme 1 Representative examples for diacetyl enabled CDMA. TFA, trifluoroacetic acid; Boc, tert-butyloxycarbonyl.

As the CDCs continued to prosper with an increasing number of interesting reaction types, it started to embrace the alkylation of electron-deficient heteroaromatic compounds, which was currently termed “Minsic alkylation”. Such a conceptual merger allowed a rapid buildup of molecular complexity simply stemming from some feedstock chemicals, heteroarenes and alkanes. The so-called cross-dehydrogenative Minisc alkylation (CDMA) would be highly enabling in various contexts, particularly in the field of medicinal chemistry, considering the privileged roles of functionalized heterocyclic pharmacophores.

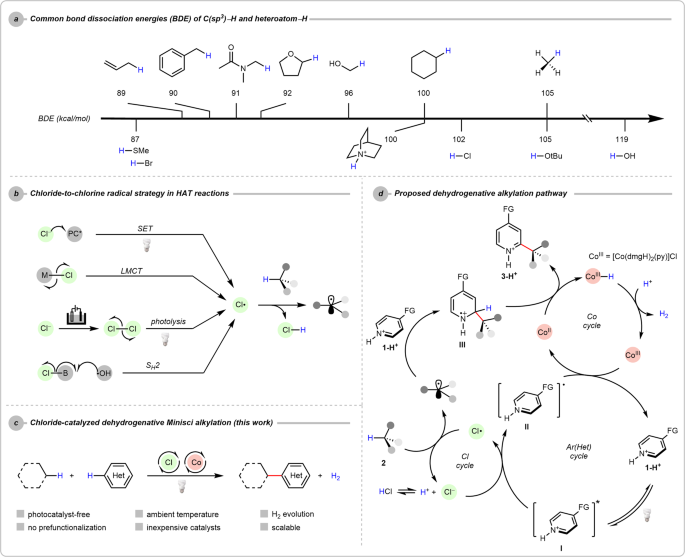
Scheme 2 BDEs of common C-H bonds (upper) and existing challenges and potential solutions for Cl·- mediated HAT. BDE, bond dissociation energy; PC, photocatalyst; Red, reduction.

Aligned with many other research endeavors, we contributed a photoinduced CDMA that was driven by a lost-cost, readily available but uniquely enabling vicinal diketone reagent, 2,3-butanedione (also named diacetyl or biacetyl), which acted not only as a photosensitizer but also stoichiometric oxidant during the reaction (Scheme 1, Chem. Sci. 2019, 10, 5018-5024). We were pleased to see that this protocol was successfully upgraded to an asymmetric version by Phipps’s group in their recent work (J. Am. Chem. Soc. 2021, 143, 4928-4934). Despite these advancements, the diacetyl system was only amenable with some activated aliphatic substrates due in part to the prohibitively high bond dissociation energies (BDEs) of non-activated C-H bonds. It demanded the presence of peroxides for an extended scope with strong C-H bond-containing substrates (Scheme 2). Besides, the requirement of largely excessive diacetyl as a light-absorptive oxidizing agent remained as its drawback.

For a long time, we were aware of the superior properties of heteroarenes, which could elicit fruitful reactivities for aromatic C-H functionalization solely by shining light. Along this line, a simple and clean dehydrative coupling between heteroarenes and alcohols was reported by our group, in which the single-electron oxidation of alcohol by excited heteroarene was proposed as a key mechanistic step (Chem 2017, 2, 688-702). Motivated by the precedents from Barriault’s, Doyle’s, Rovis’s, Xu’s, Wu’s groups and others (for representative examples: Angew. Chem., Int. Ed. 2018, 57, 15664-15669; J. Am. Chem. Soc. 2018, 140, 14059-14063; J. Am. Chem. Soc. 2021, 143, 2729-2735; Angew. Chem., Int. Ed. 2020, 59, 14275-14280; J. Am. Chem. Soc. 2017, 139, 13579-13584), who elegantly demonstrate the synthetic utility of chlorine radicals (Cl·) in C(sp3)-H abstraction, we conceived a mechanistic scenario could be operative for the CDMA with unactivated alkanes, in which the single-electron transfer (SET) between excited heteroaromatics and catalytic chloride generated chlorine radicals (Cl·) and the ensuing Cl·-assisted HAT to confer alkyl radicals.

Het-H+, protonated heteroarenes; TFA, trifluoroacetic acid.

Scheme 3 Dehydrogenative C(sp3)-H heteroarylation via photoinduced catalytic Cl· generation. Het-H+, protonated heteroarenes; TFA, trifluoroacetic acid.

Now, writing in Nature Communications, we documented a chloride and cobalt co-catalyzed CDMA for heteroaromatic C-H alkylation with unactivated alkanes (Nat. Commun. 2021, 12, 4010-4018). For redox adjustment, the cobaloxime was introduced strategically for hydrogen evolution, which successfully circumvented the stoichiometric oxidant in our optimal conditions. Notably, to exemplify the synthetic application of our new CDMA strategy, the cyclododecylation reaction of 2-phenylquinoline was easily scaled up by means of only 3.0 equiv alkane and a catalytic combination of cobalt and chloride (Scheme 3).

We hope that this work could interest, inspire and encourage more research endeavors for more efficient, convenient and innovative CDMA reactions. In line with our continuous effort in this area, we aim to broaden the substrate scope, improve the reaction efficiency, simplify the conditions and further elucidate the underlying mechanism of the reported system.

This post was prepared by Jianbin Li and Chia-Yu Huang, under the guidance of Prof. Dr. Chao-Jun Li.

Please sign in or register for FREE

If you are a registered user on Research Communities by Springer Nature, please sign in

Follow the Topic

Chemistry
Physical Sciences > Chemistry

Related Collections

With Collections, you can get published faster and increase your visibility.

Women's Health

A selection of recent articles that highlight issues relevant to the treatment of neurological and psychiatric disorders in women.

Publishing Model: Hybrid

Deadline: Ongoing

Biosensing

With this cross-journal Collection, the editors of Communications Biology, Nature Biomedical Engineering, Nature Sensors, Nature Communications, and Scientific Reports welcome the submission of primary research Articles focusing on the development of engineered biosensing devices with the potential to be applied in biomedical research and in the management of disease conditions.

Publishing Model: Hybrid

Deadline: Jun 30, 2026