Simulating dislocation-solute interactions in dilute alloys to understand serrated flow

Simulations of solute-dislocation interactions using elasto-kinetic stochastic models reveal the conditions under which serrated flow occurs. Serrated flow is a deformation instability of some alloys by which they can lose ductility, and thus it is important to understand the mechanisms behind it.
Simulating dislocation-solute interactions in dilute alloys to understand serrated flow
Like

Share this post

Choose a social network to share with, or copy the URL to share elsewhere

This is a representation of how your post may appear on social media. The actual post will vary between social networks

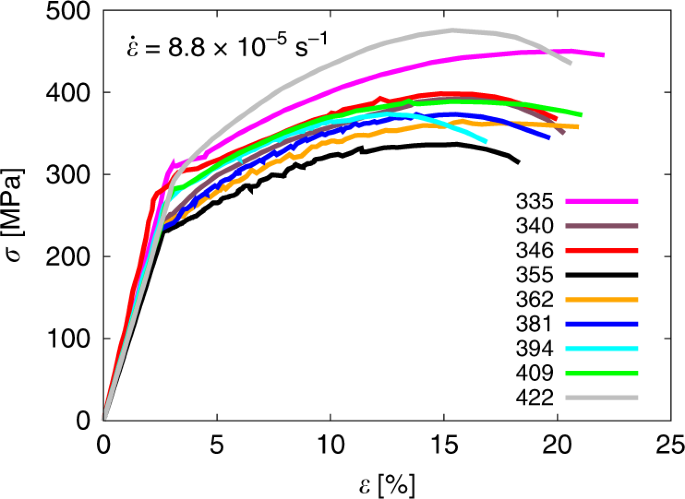
When a metal alloy is deformed, line defects called dislocations move, producing plastic slip as they do. In dilute alloys above a certain temperature, solutes may move as well, in some cases over time scales comparable to those of dislocation motion. From a physical point of view, studying this interplay is challenging because solute atoms need to be studied at atomistic length scales, but their diffusion often takes place over time scales much beyond those of atomic vibrations. We have developed elasto-kinetic stochastic models of dislocation-solute coevolution that allow us to bridge this scale gap and study the onset of serrated flow in structural alloys. This allow us to look at these processes on the length and time scales over which they truly occur, which will be helpful to understand how to design better materials that can avoid the detrimental effect of serrated plastic flow.

https://www.nature.com/article...

Please sign in or register for FREE

If you are a registered user on Research Communities by Springer Nature, please sign in

Follow the Topic

Electrical and Electronic Engineering
Technology and Engineering > Electrical and Electronic Engineering

Related Collections

With Collections, you can get published faster and increase your visibility.

Women's Health

A selection of recent articles that highlight issues relevant to the treatment of neurological and psychiatric disorders in women.

Publishing Model: Hybrid

Deadline: Ongoing

Biosensing

With this cross-journal Collection, the editors of Communications Biology, Nature Biomedical Engineering, Nature Sensors, Nature Communications, and Scientific Reports welcome the submission of primary research Articles focusing on the development of engineered biosensing devices with the potential to be applied in biomedical research and in the management of disease conditions.

Publishing Model: Hybrid

Deadline: Jun 30, 2026