Spontaneous liposome formation without high pressure homogenization
Published in Materials and Agricultural & Food Science
In our recent paper we showed that nanosized liposomal vesicles (NLV) could be successfully prepared using natural sunflower lecithin without the use of high-pressure homogenization or filtration. Upon glycerol addition to dispersions of lecithin multilamellar vesicles (MLVs), these broke down spontaneously to liposomes with diameters of ~120nm. Several techniques were used to characterize this phenomenon. One technique we did not include in the paper was powder X-ray diffraction, due to the preliminary nature of the data obtained. However, here we would like to discuss some of the results obtained, but not included in the paper. We obtained the spectra and calculated the electron densities of atoms across the bilayer. We were interested in this because we observed a weakening of the bilayers upon addition of glycerol using surface techniques. We include this here to seek input of the community for the patterns observed and the interpretation provided. Our reasoning was that the structural weakening of the bilayer membrane should therefore be evident from the packing of the phospholipid molecules in the membrane. Small-angle X-ray scattering (SAXS) of the liposomes should prove this point.
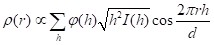
The procedure used for the calculation of the electron densities will be explained next. Electron density profiles in direct space were calculated from SAXS data. We used the approximation of McIntosh et. al (1980),

ρ(r) where is the electron density profile in direct space, φ(h) is the phase for each reflection order (h). The phase is just -1 or +1 for these centrosymmetric systems. The correct phase for both DPPC (Lesslauer et al., 1972) and egg PC (Levine and Wilkins, 1971; Wilkins et al., 1971) have been previously determined. I(h) is the relative intensity of the different diffraction orders. We used peak counts in our calculations. The parameter d is the Bragg spacing for the lamellae.
The d-spacing was the one determined by SAXS, while for the phase assignment, we followed the method described by Torbet and Wilkins (1976), but implemented in a more practical fashion earlier by Levine and Wilkins (1971) and others. In the end, all phases were set to -1. The patterns obtained were very similar to those of McDaniel et al. (1983) for DPPC and egg lecithin, in the presence and absence of glycerol, hence providing some confidence in the phase sign assignment. However, the practical advice given by McDaniel worked well. One tries different phase assignments to obtain similar patterns in electron density in the region corresponding to the “dry” molecule for all systems. We also found out that the first three orders of the remain reflection all need to be negative. However, for orders h>3, the exact assignment of the phase value becomes more critical.
In this work, we first, we obtained a SAXS pattern for 10% Sunlec65 in water. The value for this spacing was ~69.2Å. McDaniel et al. (1982) reported a lamellar spacing of ~64Å for dipalmitoylphosphatidylcholine (DPPC) and ~63Å for egg phosphatidylcholine in the absence of glycerol. The phospholipid composition of sunflower lecithin is very different from that of egg lecithin and definitely different from the pure phospholipid DPPC. The values are in the range expected.

Figure 1. Electron density calculations derived from the intensity of the different orders of the main bilayer reflection, as well as their d-spacings. Densities were calculated for a dried liposome sample (orange pattern), a hydrated liposome sample (blue pattern) and a liposome preparation containing 62% (w/w) glycerol (purple pattern).
Since we were interested in probing the internal structure of the bilayer membranes, we calculated electron densities from the X-ray patterns, shown in Figure 1. There are a few features of note here, and this analysis proved quite insightful. First, notice the shorter spacing of the dried liposome preparation, of about d=44.1Å (in orange). As discussed by McDaniel et al. (1983), the regions in the center of the bilayer are occupied by long alkane-like fatty acid chains, which are not too affected by the headgroup hydration, so they should be similar, which they are. The swelling effect of water and water-glycerol becomes more evident as you move towards the bulk water-edge of the bilayer. The most important result here is the fact that the bilayer in 62% (w/w) glycerol (purple) has lost most of its internal definition relative to the one in water (blue), with a small amount of swelling. Obviously, both water and water-glycerol bilayers are swollen relative to the dry bilayer. McDaniel et al. (1983) reported this swelling for egg PC, as well as DPPC. He reported a maximum swelling of egg PC at ~0.1 mol fraction glycerol, which corresponds to 36% mass fraction. Egg PC swelled from 63 Å to 72 Å, and then shrunk down. For DPPC, the maximum was at ~0.25 mol fraction glycerol, which caused swelling from 64 Å to 72 Å. They attributed this effect to changes in the dielectric permittivity of the fluid space, which alters van der Waals attractive interactions between bilayers. Thus, glycerol swells membranes by weakening the attraction between bilayers. This could be the mechanism behind the observed decrease in compressional moduli of liposomes in the presence of glycerol at a mass fraction of 62%, shown in the publication, which corresponds to a mol fraction of 0.24, which is in the range of maximum effects observed. Thus, glycerol decreases van der Waals forces between bilayers, causing them to swell and become softer.
This effect can be also be understood using the formalism of the Lifshitz approximation to the Hamaker coefficient in van der Waals’ interactions (Acevedo et al., 2011). Gögelein et al. (2012) and Gräbner et al. (2014) explained the phenomenon based on the fact that the dielectric constant of glycerol is much lower than that of water, while its refractive index is higher. When the absolute values of these parameters are introduced into the Lifshitz expression, one can calculate a net decrease in the magnitude of the Hamaker coefficient, which translates to a decrease in attractive interactions between macromolecular structures (Gögelein et al., 2012). The result of this would be a weakening of bilayer-bilayer interactions within a multilamellar structure, which then would be mechanically weaker and thus able to be broken down by relatively low external shear stresses, until a thermodynamically stable size is reached. This size would be dictated by the intrinsic curvature of the ensemble of phospholipids present.
McDaniel et al. also reported that the bilayer spacing became progressively smaller as the glycerol concentration was increased beyond 62% (w/w) (0.24 mol fraction). They reported a massive drop in the range 0.4 to 0.5 mol fraction glycerol, which corresponds to ~80% (w/w) glycerol. In this region they even observed interdigitation between the long fatty acid chains in the bilayer. These chains were being “shoved” into each other. Interestingly, it seems that our sunflower lecithin behaves more like DPPC than egg PC. However, somewhat worrying is the fact that if we choose the phase of the reflection order of the +1 instead of -1 for h>3, i.e., h=4 or h=5, then we see interedigitation too. This would show up as a positive "bump" at the bilayer center. However, the certainty about the phase of this reflection order is low... So, the results can be subjective, depending on the phase assignment for higher order reflections. One needs to have a good analysis for this phase assignment, which we did not have. This is interesting.
Are the arguments convincing, and what do you think of the glycerol containing pattern having lost all internal structure?
References
Acevedo, N.C., Peyronel, F. and Marangoni, A.G. (2011). Nanoscale structure intercrystalline interactions in fat crystal networks. Current Opinion in Colloid & Interface Science 16, 374-383.
Gögelein, C., Wagner, D., Cardinaux, F., Nägele, G. and Egelhaaf, S.U., 2012. Effect of glycerol and dimethyl sulfoxide on the phase behavior of lysozyme: Theory and experiments. The Journal of Chemical Physics 136, 015102.
Gräbner, D., Hoffmann, H., Förster, S., Rosenfeldt, S., Linders, J., Mayer, C., Talmon, Y. and Schmidt, J., 2014. Hydrogels from phospholipid vesicles. Advances in Colloid and Interface Science 208, 252-263.
Lesslauer, W., Cain, J.E., and Blasie, J.K. (1972). X-ray diffraction studies of lecithin bimolecular leaflets with incorporated fluorescent probes. Proc. Natl. Acad. Sci. USA 69, 1499-1503.
Levine, Y.K., and Wilkins, M.H.F. (1971). Structure of oriented bilayers. Nature New Biology 230, 69-71.
McIntosh, T. J., Simon, S.A., and MacDonald, R.C. (1980). The organization of n-alkanes in lipid bilayers. Biochimica et Biophysica Acta 597, 445-463.
McDaniel, R.V., McIntosh, T.J., and Simon, S.A. (1983). Nonelectrolyte substitution for water in phosphatidylcholine bilayers. Biochimica et Biophysica Acta 731, 97-108.
Torbet, J., and Wilkins, M.H.F. (1976). X-ray diffraction studies of lecithin bilayers. J. theor. Biol. 62, 447-458.
Wilkins, M.H.F., Blaurock, A.E., and Engelman, D.M. (1971). Bilayer structure in membranes. Nature New Biology 230, 72-76.
Follow the Topic
-
Scientific Reports
An open access journal publishing original research from across all areas of the natural sciences, psychology, medicine and engineering.
Related Collections
With Collections, you can get published faster and increase your visibility.
Advances in neurodegenerative diseases
Publishing Model: Hybrid
Deadline: Jun 30, 2026
AI for clinical decision-making
Publishing Model: Open Access
Deadline: Jun 23, 2026
Please sign in or register for FREE
If you are a registered user on Research Communities by Springer Nature, please sign in