Topologically invariant Berry phase defined in nonlinear normal modes for general and strongly nonlinear dynamics

Topological numbers, such as quantized Berry phase and Chern number, are known to govern the edge modes of linear systems. However, topological phases are challenging to characterize in systems with general and strong nonlinearities. Here, we show that adiabatic geometric Berry phase naturally arises from nonlinear normal modes, whose quantized value guarantees the emergence of nonlinear topological boundary modes.

Published in Physics

Topologically invariant Berry phase defined in nonlinear normal modes for general and strongly nonlinear dynamics
Like

Share this post

Choose a social network to share with, or copy the URL to share elsewhere

This is a representation of how your post may appear on social media. The actual post will vary between social networks

Topological edge states lead to exotic boundary properties, including robust chiral edge propagations and polarized responses, that are immune to disorders and backscattering. These unconventional states are protected by integer numbers called topological invariants, which cannot be easily changed upon the variation of system parameters unless topological transitions cause these integer numbers to jump. Originally developed in quantum states, this modern concept is extended to classical structures that enable many pioneering applications.

However, most interactions in strongly nonlinear systems are beyond Kerr, such as electrical, acoustic, plasmonic, and biophysical systems. As there is no analytic solution of nonlinear normal modes, the topological invariants are hitherto undefined. Strong nonlinearities may destroy the topological nature of weakly nonlinear systems by breaking their intrinsic symmetries. Thus, existing linear and weakly nonlinear theories are not always correct to predict their strongly nonlinear topological attributes. Moreover, it is intriguing to ask what exotic physics arise when topology meets general strong nonlinearities. Thus, it is demanding to invoke the topological number that precisely describes the topological attributes of “beyond-Kerr” general strongly nonlinear dynamics.

Our Work: We investigate the topological invariant and properties of one-dimensional generalized nonlinear Schrödinger equations. This theoretical framework describes a wide range of nonlinear physics, such as mechanically isostatic frames, electrical circuits, deep water waves, and biophysical processes. As the magnitudes are comparable between the nonlinear and linear parts of the interactions, the system is in the “strongly nonlinear regime”, where perturbation theory naturally breaks down. Consequently, nonlinear normal modes are remarkably distinct from sinusoidal waves. Remarkably, this work demonstrates that the notion of adiabatic geometric phase, namely nonlinear Berry phase, can still be analytically defined from these “non-sinusoidal” normal modes.

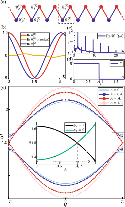
Fig.1. Nonlinear topological bands and boundary normal modes. (a) Amplitude-dependent nonlinear bulk bands. The inset shows the amplitude dependence of quantized nonlinear Berry phase.  (b) The spatial-temporal profile of the strongly nonlinear topological normal mode in the topological phase.  (c) The absence of nonlinear topological boundary modes in the topologically trivial phase. 

Without utilizing linear analysis, we establish a symmetry-based non-perturbative strategy, to show the quantization of nonlinear Berry phase under reflection symmetry. This integer-valued phase serves as the topological index of the nonlinear system, in which the emergence of nonlinear topological modes is assured by the non-trivial index. Analogous to the robustness of linear topological states, the integer invariant protects nonlinear topological normal modes from disorders.

In summary, our work reveals the universality of the notion of topological protection, even in strongly and general nonlinear motions. We hope that the geometric Berry phase derived from nonlinear normal modes, and the non-perturbative methodology established in this work, can help trigger future research interests in both topological physics and nonlinear dynamics.

For more information, please refer to our paper published in Nature Communications, “https://www.nature.com/articles/s41467-022-31084-y#citeas”.

Please sign in or register for FREE

If you are a registered user on Research Communities by Springer Nature, please sign in

Follow the Topic

Physics and Astronomy
Physical Sciences > Physics and Astronomy

Related Collections

With Collections, you can get published faster and increase your visibility.

Women's Health

A selection of recent articles that highlight issues relevant to the treatment of neurological and psychiatric disorders in women.

Publishing Model: Hybrid

Deadline: Ongoing

Biosensing

With this cross-journal Collection, the editors of Communications Biology, Nature Biomedical Engineering, Nature Sensors, Nature Communications, and Scientific Reports welcome the submission of primary research Articles focusing on the development of engineered biosensing devices with the potential to be applied in biomedical research and in the management of disease conditions.

Publishing Model: Hybrid

Deadline: Jun 30, 2026