Unveiling Topological Unwinding in Exciton-Polariton Condensate Arrays

Published in Physics

Unveiling Topological Unwinding in Exciton-Polariton Condensate Arrays
Like

Share this post

Choose a social network to share with, or copy the URL to share elsewhere

This is a representation of how your post may appear on social media. The actual post will vary between social networks

In our recent paper, "Topological unwinding in an exciton-polariton condensate array" published in Communications Physics, we delved into the collective behaviors of exciton-polariton condensates and uncovered a fascinating mode transition process.

Topological Defects in Physics

Topological defects – defects protected by the topological structure of the system – play a crucial role in various areas of physics, from condensed matter physics to cosmology. These defects, which include vortices, domain walls, and dislocations, often dictate the physical properties and behaviors of materials. In the context of our study, topological defects in exciton-polariton condensates lead to intriguing mode switching that can potentially be harnessed for advanced quantum technologies.

Exciton-Polariton Condensates as a Platform of Non-Equilibrium Many-Body Phenomena

Exciton-polaritons, or simply polaritons, are quasiparticles that arise from the strong coupling of excitons (electron-hole pairs) and photons within semiconductor microcavities. This coupling results in particles with an extremely low effective mass, allowing them to form Bose-Einstein condensates (BECs) even at room temperatures. Such BECs of exciton-polaritons are called exciton-polariton condensates, or polariton condensates for short. Despite their short lifetimes, polariton condensates can be sustained through continuous laser pumping, making them a compelling platform for exploring nonequilibrium many-body phenomena.

Our Discovery: From π-State to Zero-State by Topological Defects

Our study focuses on an array of exciton-polariton condensates exhibiting mode switching from a π-state to a zero-state. The π-state, a state at the edge of the first Brillouin zone with the phase difference by π between neighboring sites, possess a distinct topological structure in the condensate wave function. In contrast, the zero-state, the ground state with a uniform phase distribution, has no such phase winding. Previously, experimental results published in Nature [C. W. Lai et al., Nature (London) 450, 529 (2007)] observed the mode switching from π-state to zero-state in these systems. The mode switching was interpretated based on single-particle transitions, but the underlying mechanisms is yet to be understood. Our research presents a new perspective highlighting the collective phase unwinding process by topological defects. This process underscores the importance of nonlinear collective motions and topological considerations in understanding the behavior of polariton condensates.

To clarify the mechanism of this phenomenon, we employed a formalism known as the generalized Gross-Pitaevskii equation (gGPE) with an extension to describe the collective dynamics of the condensate wave function and the single-particle transitions on equal footing. The gGPE describes the dynamics of the condensate wave function, encapsulating the interparticle interactions, external potential, dissipation due to the photon loss from the cavity, and nonlinear gain. This formalism allows us to simulate the behavior of polariton condensates in a periodic potential and capture the collective dynamics, especially the topological defects, of the condensate. Based on the standard gGPE formalism, we have introduced additional terms describing the effects of single-particle transitions to study the competition between the collective and single-particle transitions.


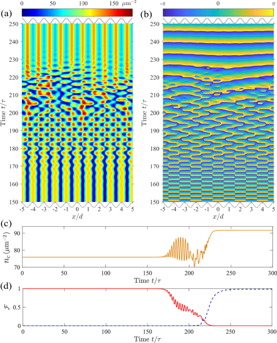
Our simulations revealed that, with sufficiently large pumping strength, the system undergoes a mode transition from the π-state to the zero-state. This transition is characterized by large-amplitude oscillations and phase-unwinding events, ultimately leading to the stabilization of the zero-state. The figure below highlights these large-amplitude oscillations and phase-unwinding events, around time t/τ = 200-220, showcasing the complex dynamics at play.

figure

Figure: Simulation results depicting the phase transition in polariton condensates. The left panel shows the density profile, while the right panel illustrates the phase profile over time. The transition from the π-state to the zero-state is marked by the emergence of large-amplitude oscillations and phase slips.

The irregular oscillation in density breaks the quasi-momentum conservation of such a nonlinear system whose Hamiltonian depends on the state. Furthermore, the topological protection of the phase winding can also be violated by the emergence of zeros of condensate wave function (i.e., topological defects) owing to the irregular oscillation. Over time, these oscillations facilitate the unwinding of the phase from the π-state configuration to the zero-state configuration. This complex process highlights the intricate interplay between nonlinearity and topology in driving the mode transition.

Experimental Evidence

By reanalyzing data from the previous experiment [C. W. Lai et al., Nature (London) 450, 529 (2007)], we found evidence supporting our collective phase unwinding scenario. This reanalysis confirmed that the observed mode-switching phenomena were not merely due to single-particle transitions but involved complex collective dynamics of the condensate wave function. The consistency between our simulations and the experimental data strengthens the validity of our theoretical prediction and provides deeper insights into the underlying mechanism of the mode transition in polariton condensates.

Implications and Future Directions

Our findings open a new avenue for controlling polariton condensates in quantum devices. By manipulating topological defects, one can actively control mode switching, paving a way for advanced quantum simulations and potential applications in prospective quantum polaritonic devices. Understanding the underlying mechanisms of these transitions can lead to innovative approaches in designing quantum circuits and other technologies relying on topological states.

For a more detailed exploration of our work, we invite you to read our full paper here. We look forward to further discussions and developments in this exciting field.

Please sign in or register for FREE

If you are a registered user on Research Communities by Springer Nature, please sign in

Follow the Topic

Bose-Einstein Condensate
Physical Sciences > Physics and Astronomy > Quantum Physics > Bose-Einstein Condensate
Polariton
Physical Sciences > Physics and Astronomy > Quantum Physics > Quantum Optics > Polariton
Quantum Fluids and Solids
Physical Sciences > Physics and Astronomy > Quantum Physics > Quantum Fluids and Solids

Related Collections

With Collections, you can get published faster and increase your visibility.

Relativistic Astrophysical Plasmas in space and the lab

From particle acceleration near the speed of light to plasma dynamics in the presence of intense electromagnetic fields, this collection highlights the transformative discoveries and innovative techniques pushing the boundaries of modern plasma physics. We aim to showcase new horizons in the study of the fundamental processes that govern high-energy astrophysical phenomena, providing a deeper understanding of the universe and driving progress in relativistic and ultrarelativistic laboratory astrophysics.

Publishing Model: Open Access

Deadline: Jun 30, 2026

Physics-Informed Machine Learning

This cross-journal Collection between Nature Communications, Nature Computational Science, Communications Physics, Communications AI & Computing, and Scientific Reports brings together the advances in Physics-Informed Machine Learning.

Publishing Model: Hybrid

Deadline: May 31, 2026