Using static magnetic field to recover ammonia efficiently by DNRA process
Published in Earth & Environment
Ammonia (NH3) plays a vital role as a key component in both food and fertilizer production, serving as a fundamental raw material for various industries and agricultural practices. High nitrate-concentration wastewater has been perceived as a promising source for ammonia recovery. Dissimilatory nitrate reduction to ammonium (DNRA), which could convert NO3- to NH4+ in two steps, may offer a possible solution. Microorganisms possess intrinsic magnetism and can exhibit magnetic bioeffects induced by external magnetic fields. Considering our previous findings, we applied SMF with suitable intensity to promote DNRA process.
In this work, Functional genes, microbial community structure, and metabolism pathways were discussed. SMF of 40 mT shortened the start-up time of DNRA from 75 days to 41 days, while 80 mT SMF delayed it to 103 days. On day 80, DNRA potential rate under 40 mT SMF, reached 174 ± 11 μmol kg−1 h−1, significantly surpassing 0 mT (88 ± 6 μmol kg−1 h−1) and 80 mT SMF (52 ± 4 μmol kg−1 h−1). SMF of 40 mT also accelerated community succession and the enrichment of functional bacteria like Geobacter (from 15.71% to 32.11%). qPCR results suggested that 40 mT SMF promoted the rapid enrichment of DNRA functional gene nrfA and 80 mT SMF promoted the enrichment of nirS gene on day 40.

Fig. 1 Possible mechanisms of SMF promotion on DNRA process. Under 40 mT SMF, two-component system regulated various functions, such as cell motility and extracellular electron transfer, via histidine kinase domain and sensory domain. Quorum sensing was influenced by SMF, regulating the flagellar motor. SMF possibly enhanced the interspecies electron transfer of Geobacter, enabling the transfer of electrons to other bacteria and further improving DNRA process.
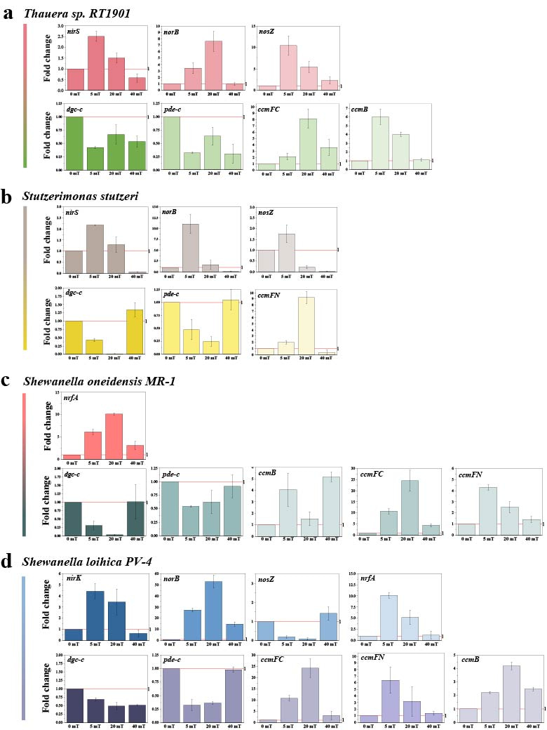
Dynamic responses of Thauera sp. RT1901, Stutzerimonas stutzeri, Shewanella oneidensis MR-1, and Shewanella loihica PV-4 to SMF at transcriptional levels confirmed SMF could improve the nitrogen removal and electron transfer of DNRA and denitrification bacteria. An evident increase in the transcript level of DNRA and denitrification genes was observed under 5 and 20 mT SMF. CcmFC, ccmFN, and ccmB were also enhanced by 5 and 20 mT SMF, which suggested SMF could promote electron transfer and further enhanced nitrogen transformation. However, the expressions of dgc-c and pde-c were downregulated under 5 and 20 mT SMF. The lower expression of dgc and pde might lead to greater energy conservation in EPS secretion, bacterial proliferation, or other process. Consequently, nitrogen metabolism could access additional energy resources to advance further. 
Fig. 2 The RT-qPCR results of the functional genes.
In recent years, substantial global endeavors and investments have been aimed at advancing renewable energy sources. Industrial operations across different parts of the world have resulted in numerous direct and indirect adverse environmental outcomes. The widespread prevalence of nitrate wastewater holds a dual significance, potentially contributing to ecological harm while also presenting an opportunity for ammonia reclamation. In contrast to traditional nitrate removal methods, the implementation of DNRA provides the benefit of nitrogen recovery from nitrate wastewater while concurrently curbing the emission of the greenhouse gas N2O from denitrification. Our work validated the possibility of using SMF to improve DNRA process for ammonia recovery and investigated the underlying mechanisms, which could promote the application of DNRA in full-scale.
Follow the Topic
-
npj Clean Water
This journal publishes high-quality papers which report cutting-edge science, technology, application, policy and societal issues that contribute towards a more sustainable supply of clean water.
Related Collections
With Collections, you can get published faster and increase your visibility.
Advancing Artificial Intelligence Innovations for Resilient and Sustainable Clean Water: Novel Methodologies and Case Studies
Publishing Model: Open Access
Deadline: Feb 28, 2026
Advancing Sustainable Solutions at the Water-Energy Nexus: Interdisciplinary Approaches and Technologies
Publishing Model: Open Access
Deadline: Jan 31, 2026
Please sign in or register for FREE
If you are a registered user on Research Communities by Springer Nature, please sign in