World Food Day 2017
To mark World Food Day on 16th October we have collected together articles from our archive on the theme of food and its connection with ecology and evolution.
Published in Ecology & Evolution
Like
Be the first to like this
Agricultural Biodiversity
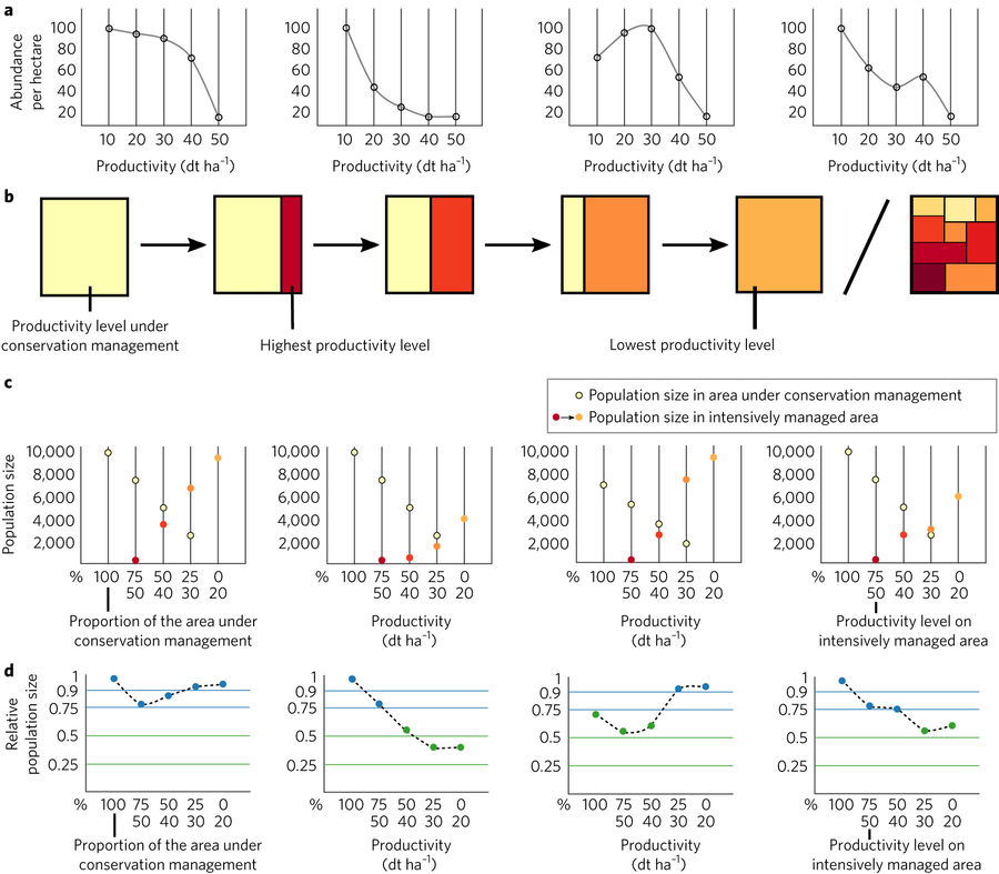
The former Iron Curtain still drives biodiversity–profit trade-offs in German agriculture

Biodiversity at risk under future cropland expansion and intensification

Agricultural intensification without biodiversity loss is possible in grassland landscapes

Changing the agriculture and environment conversation (this article also appears in Nature's Outlook on Food Security)

Rural Economy
Ecosystem Assessment: Robust assessment comes of age

General ecological models for human subsistence, health and poverty (plus associated News & Views)

Agricultural Pests
Genomic adaptation to polyphagy and insecticides in a major East Asian noctuid pest

Crop Pollination
Ecological and evolutionary approaches to managing honeybee disease
.jpg)
Pesticide reduces bumblebee colony initiation and increases probability of population extinction

Honeybee spillover reshuffles pollinator diets and affects plant reproductive success

Food and Evolution
Dietary adaptation of FADS genes in Europe varied across time and geography

Primate brain size is predicted by diet but not sociality (plus associated News & Views)

Crop Domestication
Evidence for mid-Holocene rice domestication in the Americas

Persistent tropical foraging in the highlands of terminal Pleistocene/Holocene New Guinea (plus associated News & Views)

Fisheries and Aquaculture
Linked sustainability challenges and trade-offs among fisheries, aquaculture and agriculture

Mapping the global potential for marine aquaculture (plus associated News & Views)

Ending fishery overexploitation by expanding from local successes to globalized solutions

Coherent assessments of Europe’s marine fishes show regional divergence and megafauna loss

Gene flow from domesticated escapes alters the life history of wild Atlantic salmon

Follow the Topic
Ecology
Life Sciences > Biological Sciences > Ecology
Please sign in or register for FREE
If you are a registered user on Research Communities by Springer Nature, please sign in