Aerosols in the Southern Tibetan Plateau exhibit weak cloud-forming potential
Published in Earth & Environment
As the "Asian Water Tower," cloud characteristics in the Tibetan Plateau region hold paramount importance, as they regulate the distribution of regional water resources and significantly influence global climate. However, there has been scarce reporting on the crucial physical process of cloud formation—known as aerosol activation process—in the Tibetan Plateau region. The ambiguous nature of aerosol activation properties in this region has increased uncertainty in regional cloud precipitation simulations and climate predictions. Leveraging the Second Tibetan Plateau Scientific Expedition and Research Program (STEP), the cloud physics research team from Lanzhou University conducted the Ground-based in-situ Aerosol-Cloud-Precipitation Experiment on the southern slope of the Tibetan Plateau (GACPE-STP) during the summer and autumn of 2023. The experimental platform and observation equipment are depicted in Figure 1. One of the objectives of this experiment is to unveil the aerosol activation characteristics in this region.
Figure 1. Location of GACPE-STP Site and Photograph of Observation Platform
Aerosol hygroscopicity quantifies the aerosol's ability to absorb water vapor, reflecting its activation capability. In this experiment, we designed four different methods to measure and calculate aerosol hygroscopicity. The results, as shown in Figure 2, indicate a consistently low hygroscopicity, with mean values all less than 0.1, significantly lower than the widely used continental aerosol hygroscopicity recommendation of 0.3. Possible reasons for this weak hygroscopicity exhibited by aerosols in the Tibetan Plateau region include the emission of volatile organic compounds from alpine meadows and the unique biomass burning practices of local residents, such as yak dung and Tibetan incense. Additionally, based on the relationship between aerosol hygroscopicity and particle size, we established a hygroscopicity parameterization suitable for this region.
Figure 2. Temporal Variation and Parameterization of Hygroscopicity (κ)
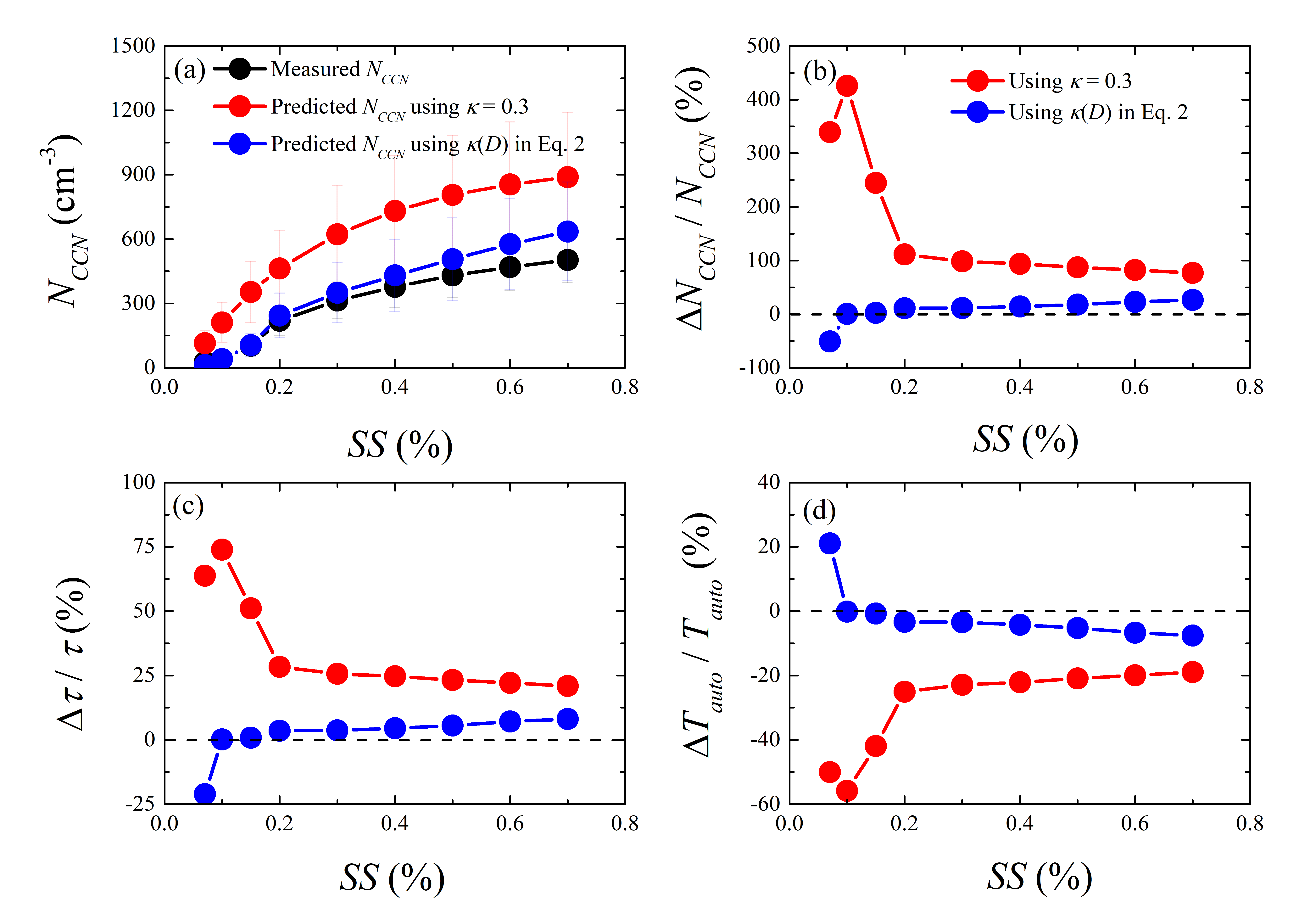
The weak hygroscopicity implies a poor ability of aerosols in the region to absorb water vapor, making them less likely to activate and form cloud droplets, thereby affecting cloud microphysics and radiative properties. Through theoretical calculations and comparison with recommended hygroscopicity values for continental regions, further evaluation was conducted on the impact of weak hygroscopicity on aerosol-cloud-precipitation capabilities and radiative balance. As depicted in Figure 3, using the recommended hygroscopicity value of 0.3 for continental regions would significantly overestimate cloud droplet number concentration in the region, with an overestimation exceeding 400% when the supersaturation is 0.1%. This would consequently overestimate the cooling effect of clouds and underestimate their ability to coalesce and form precipitation. Adopting the hygroscopicity parameterization proposed in this study can effectively mitigate these predictive biases. These findings unveil the activation characteristics of aerosols in the Tibetan Plateau region. We advocate for more in-situ measurement experiments in the Tibetan Plateau region, both at point and regional scales, which will contribute to a better understanding of cloud formation processes in high-altitude regions and facilitate improvements in regional cloud precipitation and global climate simulations.

Figure 3. Impact of Weak Hygroscopicity on Aerosol Activation and Indirect Effects
The aforementioned findings have been published in NPJ Climate and Atmospheric Science, with Dr. Yuan Wang from Lanzhou University as the first author and Professor Jiming Li from Lanzhou University as the corresponding author. Collaborating institutions in this research include the Chinese Academy of Meteorological Sciences, China Meteorological Administration, Leibniz Institute for Tropospheric Research, and SRON Netherlands Institute for Space Research.
Wang, Y., Li, J., Fang, F., Zhang, P., He, J., Pöhlker, M.L., Henning, S., Tang, C., Jia, H., Wang, Y., Jian, B., Shi, J., Huang, J. In-situ observations reveal weak hygroscopicity in the Southern Tibetan Plateau: implications for aerosol activation and indirect effects. npj Clim Atmos Sci 7, 77 (2024). https://doi.org/10.1038/s41612-024-00629-x
Follow the Topic
-
npj Climate and Atmospheric Science
This journal is dedicated to publishing research on topics such as climate dynamics and variability, weather and climate prediction, climate change, weather extremes, air pollution, atmospheric chemistry, the hydrological cycle and atmosphere-ocean and -land interactions.
Related Collections
With Collections, you can get published faster and increase your visibility.
Atmosphere-Biosphere Interactions
Publishing Model: Open Access
Deadline: Oct 31, 2026
Atmospheric rivers
Publishing Model: Hybrid
Deadline: May 31, 2026
Please sign in or register for FREE
If you are a registered user on Research Communities by Springer Nature, please sign in