My interest in molecular clusters was first stirred as an undergraduate researcher when I investigated metal chalcogenide clusters and their role as superatomic building blocks. A great number of molecular clusters can be viewed as having been excised from the structure of a three-dimensional material. Deriving clusters from two-dimensional materials, however, has the intriguing potential to combine traditional quantum confinement with two-dimensional physics. The Long group also has a long-standing interest in molecular clusters, and upon joining this group for graduate school I became involved with developing methods for isolating such two-dimensional molecular clusters. In our new report, we demonstrate using metal–organic frameworks as ligand scaffolds to synthesize and study a series of metal halide 2DQDs (M19X38; M = Fe, Co, Ni; X = Cl, Br).
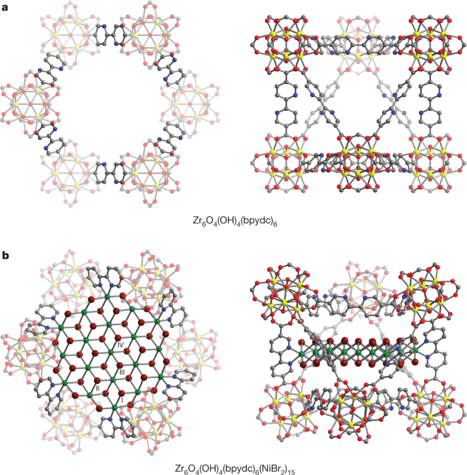
The Long group first became interested in using metal–organic frameworks as templates for inorganic structures through an Office of Naval Research Multi-University Research Initiative aimed at stabilizing high-nuclearity metalloid clusters. We proposed to leverage the well-defined pore environments of metal–organic frameworks to template cluster growth. Knowing that most clusters can only be synthesized with the aid of capping ligands, we focused on frameworks with pores lined with coordinating groups that could serve as nucleation points for cluster growth, as well as stabilize cluster surfaces. Our first strategy for this project was to grow metal clusters using low-valent metal complexes in the bipyridine-functionalized metal–organic framework Zr6O4(OH)4(bpydc)6. As we made initial attempts to execute this strategy, Miguel was also working on a separate project aimed at studying the effect of pore confinement on the reactivity of ethylene oligomerization catalysts.1, 2 Here, mononuclear bipyridine nickel bromide complexes were prepared within the same zirconium framework as catalyst precursors. Miguel had hoped to characterize the nickel-metalated framework by single-crystal X-ray diffraction during an overnight shift at the small molecule crystallography beamline at the Advanced Light Source. After resolving the nickel–bipyridine complexes, however, Miguel noticed several additional residual electron density peaks near these sites in the structural refinement. The closest peak was assigned as another nickel center, and the peaks next to this site were then assigned as bromide. As he proceeded to assign the remaining peaks, we were astonished to find that it was a sheet!

We quickly recognized that this sheet—measuring just 1.5 nm across—represented a fragment excised from a single monolayer of the bulk NiBr2 structure. This result perfectly fit in with our efforts to template inorganic structure growth; six of the bipyridine linkers that line the framework pores enforce a hexagonal cluster shape and prevent further cluster growth, affording a well-defined NiBr2 nanosheet that can be characterized by crystallography. Critically, we realized that the migration of NiBr2 units to form of sheets at the interior of the framework requires an equilibrium between the sheets and nickel species in solution. This realization ultimately allowed us to expand the scope of this result to other metal halides and to follow sheet growth by crystallography.
Motivated by our interest in investigating unique magnetic behaviors, we identified FeCl2 as a material that might display superparamagnetism if isolated as a monolayer and confined at the nanometer scale. In the bulk layered material, each iron atom displays Ising-type anisotropy, with its spin oriented perpendicular to FeCl2 planes. While single-layer FeCl2 has yet to be prepared, we were encouraged by recent reports of CrI3 monolayers displaying ferromagnetic ordering. Gratifyingly, we succeeded in preparing the material Zr6O4(OH)4(bpydc)6(FeCl2)19 and indeed observed magnetic hysteresis up to 3 K.
Overall, we have demonstrated that metal–organic frameworks can be used to template the growth of nanosized, inorganic structures, and we believe that this approach will continue to yield materials that have new and exciting electromagnetic properties. Moreover, this project has been particularly satisfying for us as it demonstrates the interdependence of ideas and people within research groups as well as how crucial insight can be gained from serendipitous discovery in research.
References
1. Gonzalez, M. I., Bloch, E. D., Mason, J. A., Teat, S. J. & Long, J. R. Single-crystal-to-single-crystal metalation of a metal-organic framework: a route toward structurally well-defined catalysts. Inorg. Chem. 54, 2995–3005 (2015).
2. Gonzalez, M. I., Oktawiec, J. & Long, J. R. Ethylene oligomerization in metal-organic frameworks bearing nickel(II) 2,2'-bipyridine complexes. Faraday Discuss. 201, 363–379 (2017).
Follow the Topic
-
Nature
A weekly international journal publishing the finest peer-reviewed research in all fields of science and technology on the basis of its originality, importance, interdisciplinary interest, timeliness, accessibility, elegance and surprising conclusions.
Please sign in or register for FREE
If you are a registered user on Research Communities by Springer Nature, please sign in