Breaking and making of bonds: constructive remodeling of a polymer under mechanical loads.

Mechanical loads usually degrade polymers by breaking its backbone bonds, however, in some cases, they can make new backbone bonds and reverse the effect from destructive to constructive.

Published in Chemistry

Breaking and making of bonds: constructive remodeling of a polymer under mechanical loads.
Like

Share this post

Choose a social network to share with, or copy the URL to share elsewhere

This is a representation of how your post may appear on social media. The actual post will vary between social networks

A polymer subject to repeated compression, stretching, twisting or shearing, gradually degrades because applied load accelerate scission of backbone bonds1. Such “mechanochemical” degradation is universal to all known polymers,2-4 which explains the contemporary fascination with the small number of polymer mixtures in which mechanical load can initiate a sequence of chemical reactions that form new covalent bonds faster than the load breaks them5. This so-called constructive remodeling6 constitutes a potentially effective approach to autonomously reinforce over-stressed volumes of the loaded material that are at the highest risk of failure.

Although the existing realizations of this constructive remodeling demonstrate the power of chemical design, they have yielded no generalizable insights into what molecular and macroscopic factors determine whether bond fracture or bond formation wins and how. The common criticism of the demonstrated constructively remodeling polymers focuses on their extraordinary costs, suboptimal mechanical properties and processibility, and impracticality of materials saturated with small-molecule co-reactants. A more fundamental problem is mechanistic intractability of such materials, which has stymied efforts to extend constructive remodeling beyond proof-of-the-concept demonstrations.

We recently described7 a general, quantitative molecular model of constructive remodeling and simple strategies of controlling its course. We exploited the mechanistic tractability of the hitherto-unknown approach to constructive remodeling, in which new bonds are formed by macroradicals produced by mechanochemical fracture of simple hydrocarbon backbones. The relative simplicity of this chemistry allowed us to overcome the three main barriers that have so far precluded a hypothesis-driven design of practically useful polymers that counteract mechanochemical damage in real time at the molecular level. First, it provides a framework for quantitative molecular analysis of mechanochemical remodeling of bulk polymers in general. Second, it defines structural and kinetic parameters that control if remodeling is constructive or degradative, regardless of the underlying chemistry. Third, it demonstrates a strategy of exploiting mechanochemical chain scission, which is unavoidable in any polymer under load, to strengthen the material without the need for complex network architectures, labile monomers and multicomponent mixtures that so far have been thought to be required to achieve it.

Fragmentation of backbones is the most common reaction triggered by overstretching a macromolecule,3 and it always degrades the properties of the polymer because it shortens polymer chains. The most ubiquitous backbone bond in synthetic polymers, a single C-C bond, usually breaks into a pair of macroradicals. Previously, such mechanochemically generated macroradicals were used to initiate radical polymerizations of reactive olefins, such as styrenes or acrylates.8 Exploiting this approach required either decorating backbones with these reactive groups or swelling polymers in liquid monomers. Neither is practical and complicates mechanistic understanding of the reaction networks created by competition between macroradical-generating chain fractures and macroradical-triggered chain growth.

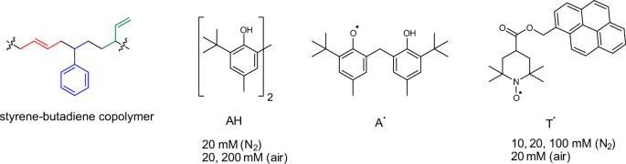
An alternative approach is to coerce C=C bonds already present in polymers to sustain a radical C-C bond-forming chain. A diverse class of polymers of enormous commercial importance, such as polybutadiene, have C=C bonds in abundance, but they have been assumed to be too inert to be useful for constructive remodeling. Yet, the challenges of quantifying the molecular kinetics, much less reaction mechanisms, in bulk polymers mean that these assumptions have never been properly tested. A constructive-remodeling approach reliant on C=C bonds potentially overcomes all major deficiencies that bedeviled the approaches reported so far to the design of molecularly self-reinforcing polymers. First, it yields new bonds practically indistinguishable from the failed bonds, minimizing the degradation of properties. Secondly, it eliminates the problem of reactive-group depletion, which limits the total (or “accumulated”) load that a polymer can withstand before failing catastrophically. Third, it relies on polymers already very familiar to industry, which makes them an ideal starting point for integrating constructive remodeling into existing and emerging engineering materials. The outstanding challenge is to enumerate the general molecular mechanism of such remodeling and factors that control the rates of spontaneous regeneration of C-C backbones under mechanical load. Our paper7 provides the conceptual and technical tools to do so and applies them to a representative example of an unsaturated polyolefin, a random copolymer of styrene and butadiene (structure in Fig. 1a).

Fig. 1 (a) Chemical structures of styrene-butadiene copolymer, a phenolic antioxidant (and its radicals) and modified TEMPO. (b) Representative sequence of the molar mass distributions (MMD) of the copolymer mechanically fatigued over indicated numbers of shearing cycles less the MMD of the pristine sample; neat copolymer sheared in air. (c) Normalized changes of the molar mass distributions of the copolymer sheared under various conditions. Each differential MMD was scaled to the same minimum value to facilitate comparisons.

When a sample of this copolymer is sheared at 10 °C, its molar mass distribution (MMD) changes rather unexpectedly (Fig. 1b): in addition to the appearance of short chains, which is common for all polymers under load and reflects mechanochemical chain fracture, chains of 2-10 times higher mass than the original accumulate. This behavior is observed for both neat polymers sheared in an inert atmosphere (N2) or in air, and for polymers containing additives that react with C-based radicals, such as TEMPO or a phenolic antioxidant (structures in Fig. 1a). The proportion of the original chains that convert to smaller or larger chains depends on the shearing conditions, but a fraction of initial chains always grows, illustrating the potential of this approach for self-healing (Fig. 1c). 

To understand the reaction network that enables the observed changes in the composition and microstructure of the sheared samples, we first used DFT calculations to identify a small number of elementary reactions, such as mechanochemical homolysis of C-C bond (r1, Fig.2), addition of a C-based radical to an sp2-C (r2, Fig.2), or recombination of different radicals (r6, Fig.2), that are kinetically competent to occur at the reaction temperatures. Although mechanochemical fracture of a copolymer chain produces an intractable number of structurally distinct macroradicals, in terms of their reactivity, they all fall into two types, which we call aR (for alkyl radicals), and sR (for stabilized radicals, Fig. 2). The much more reactive alkyl radicals are responsible for the observed chain growth by spontaneously adding to backbone or pendant C=C bonds of adjacent chains (r2, Fig.2), each addition generating a larger and more branched alkyl radical. Conversely, stabilized radicals mostly recombine (r6a, Fig.2), thus contributing disproportionately to the low-mass fraction of the products of mechanochemical remodeling. Small-molecule radicals (O2, TEMPO) or H-atom donors (e.g., an antioxidant, AH) dissolved in the sheared material, enable further reactions (r4, r5, r6b-d, Fig.2) that (typically) compete with chain growth of aR, shifting the stoichiometry of the remodeling from products with higher-than-original mass to fragments of the original chains.

Fig. 2 The simplest mechanism of the mechanochemical remodeling of an unsaturated polyolefin under various practically-relevant loading conditions.

To demonstrate that the mechanism in Fig. 2 correctly reproduces all experimental observations, we developed a microkinetic mechanistic model that allowed us to track the tens of thousands of distinct species (e.g., polymer chains of different size, topology and composition) whose interconversion drives the remodeling. We suggest that this approach will be useful for other problems in mechanistic polymer chemistry where the number of kinetics components seems intractable9.

We demonstrated that C=C bonds already present in numerous commercial polymers can be used effectively for the formation of new backbone bonds by exploiting the macroradical products of scission of overstretched polymer. Under diverse, practically relevant loading conditions, the new bond formation causes the average polymer chain in the stressed sample to grow despite simultaneous competing chain scissions, providing means to suppress or even reverse mechanical degradation autonomously and in real time. The detailed molecular mechanism of this process suggests how the competition between chain growth and chain fracture can be controlled and exploited.

https://www.nature.com/articles/s41467-022-30947-8

References

1.  Boulatov, R. The Challenges and Opportunities of Contemporary Polymer Mechanochemistry. ChemPhysChem 18, 1419-1421, (2017).

2.  Akbulatov, S. & Boulatov, R. Experimental Polymer Mechanochemistry and its Interpretational Frameworks. ChemPhysChem 18, 1422-1450, (2017).

3.  O’Neill, R. T. & Boulatov, R. The many flavours of mechanochemistry and its plausible conceptual underpinnings. Nat. Rev. Chem. 5, 148-167, (2021).

4.  Anderson, L. & Boulatov, R. Polymer Mechanochemistry: A New Frontier for Physical Organic Chemistry. Adv. Phys. Org. Chem. 52, 87-143, (2018).

5.  Zhang, H. et al. Mechanochromism and Mechanical-Force-Triggered Cross-Linking from a Single Reactive Moiety Incorporated into Polymer Chains. Angew. Chem. Int. Ed. 55, 3040-3044, (2016).

6.  Ramirez, A. L. et al. Mechanochemical strengthening of a synthetic polymer in response to typically destructive shear forces. Nat. Chem. 5, 757-761, (2013).

7.  Wang, C. et al. The molecular mechanism of constructive remodeling of a mechanically-loaded polymer. Nat. Commun. 13, 3154, (2022).

8.  Krusenbaum, A., Gratz, S., Tigineh, G. T., Borchardt, L. & Kim, J. G. The mechanochemical synthesis of polymers. Chem. Soc. Rev. 51, 2873-2905, (2022).

9.  Vinu, R. & Broadbelt, L. J. Unraveling reaction pathways and specifying reaction kinetics for complex systems. Annu. Rev. Chem. Biomolecular Eng. 3, 29-54 (2012).

Please sign in or register for FREE

If you are a registered user on Research Communities by Springer Nature, please sign in

Follow the Topic

Chemistry
Physical Sciences > Chemistry

Related Collections

With Collections, you can get published faster and increase your visibility.

Women's Health

A selection of recent articles that highlight issues relevant to the treatment of neurological and psychiatric disorders in women.

Publishing Model: Hybrid

Deadline: Ongoing

Biosensing

With this cross-journal Collection, the editors of Communications Biology, Nature Biomedical Engineering, Nature Sensors, Nature Communications, and Scientific Reports welcome the submission of primary research Articles focusing on the development of engineered biosensing devices with the potential to be applied in biomedical research and in the management of disease conditions.

Publishing Model: Hybrid

Deadline: Jun 30, 2026