Circulating tumor DNA: re-defining the tumor burden

Novel, unprecedented opportunities are being opened by the wide-spread use of liquid biopsy. Our work explores the fraction of circulating tumor DNA as a surrogate of disease burden in patients with metastatic colorectal cancer.

Published in Cancer

Circulating tumor DNA: re-defining the tumor burden
Like

Share this post

Choose a social network to share with, or copy the URL to share elsewhere

This is a representation of how your post may appear on social media. The actual post will vary between social networks

Estimating disease burden in patients with advanced cancers is a challenge in the daily clinical practice. Oncologists and other healthcare professionals simultaneously rely on several tools that can help to quantify the burden of disease. This is primarily aimed at providing an efficient prognostic stratification, allocating patients to proper treatments and monitoring the response or progression during the disease course. Histology-specific serum markers and radiologic assessments are used to this aim; unfortunately, the accuracy of serum markers is relatively low, whereas imaging cannot be used as early marker of tumor dynamics and has limitations as the radiology-based assessment of tumor burden is pretty subjective.

An increasing amount of evidence is available on the use of circulating tumor DNA (ctDNA) in colorectal cancer. The clinical usefulness of ctDNA spans from the localized disease - in which it allows the prediction of relapse and might guide adjuvant chemotherapy intensification or de-escalation1  - to the metastatic setting - in which it can reveal beforehand the occurrence of genetic events potentially leading to treatment resistance2. The potentials of ctDNA in colorectal cancer anticipate a widespread use in the routine clinical practice which is expected to take place in the incoming years. Nonetheless, the technologic evolution of sequencing platforms will allow to detect increasingly lower fractions of ctDNA with unprecedented precision while enlarging the number genetic loci analyzed.

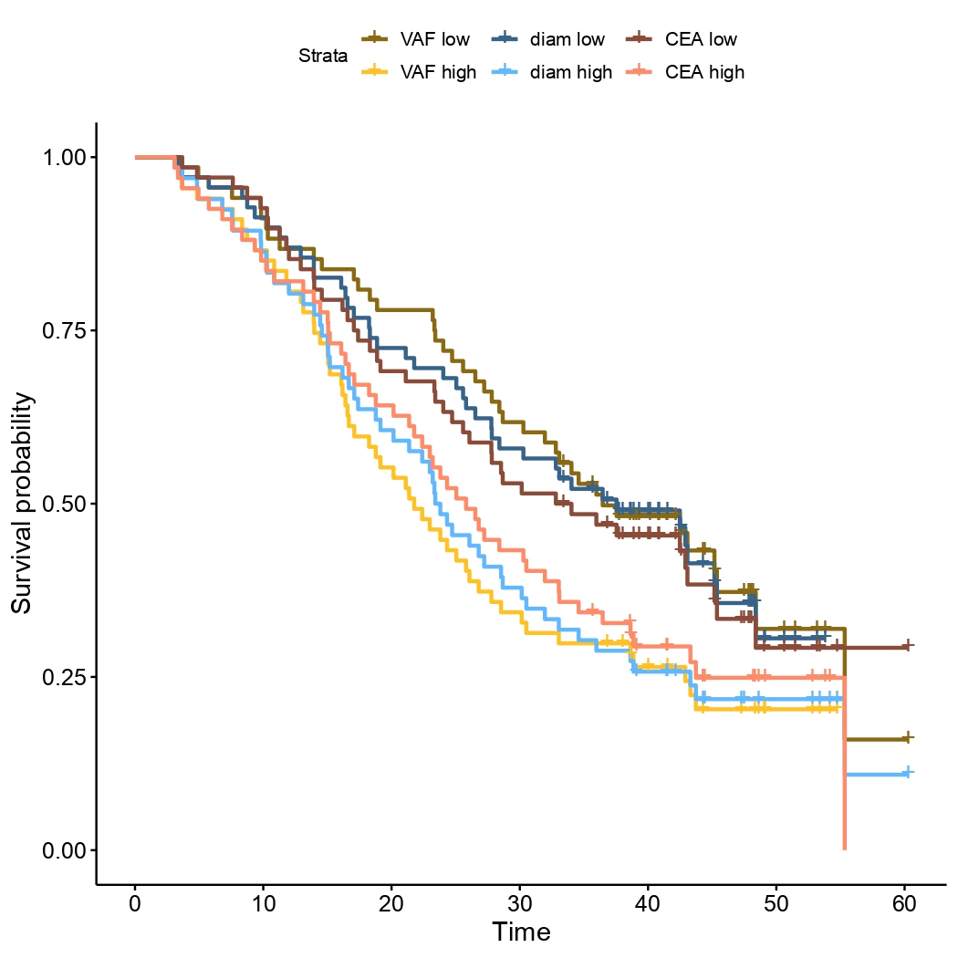
With these premises, we investigated whether the amount of baseline ctDNA could be used to estimate the disease burden of patients with metastatic colorectal cancer (mCRC) undergoing first line systemic treatment. To do so, we took advantage of baseline plasma samples collected from patients of the VALENTINO trial3 - a phase II randomized trial of FOLFOX plus panitumumab followed by 5FU/LV plus panitumumab maintenance or the same induction chemotherapy followed by panitumumab alone in patients with RAS wild-type mCRC. Samples were analyzed by means of NGS with a panel comprising 14 colorectal cancer-related genes. While so far much of the focus has been placed in the types of DNA alterations detected, we defined the "molecular" tumor burden as the highest Variant Allelic Fraction (VAF) detected in each patient, independently from the altered gene. The prognostic utility of VAF was thus tested against CEA and sum of RECIST-defined sum of the target lesions.

As key finding, patients with higher baseline VAF displayed poorer survival outcomes and, most intriguingly, VAF retained a stronger prognostic value compared to "canonical" disease burdens surrogates - namely CEA and RECIST. Collectively, 104 of the 135 patients composing the final cohort had a VAF determined by TP53 or APC - which is coherent with the clonal nature of these mutations in mCRC with RAS wild-type status in tumor tissue.

Kaplan Meyer curves comparing the prognostic value of CEA, RECIST sum of diameters and VAF. Medians are used as cut-offs
Overall survival Kaplan Meyer curves showing the different prognostic impact of CEA, RECIST sum of diameters and VAF. Medians are used as cut-offs.

Far from being a complete replacement for CEA kinetics and radiological response, VAF might implement CEA in the disease response monitoring - particularly in patients bearing a non-expressing marker disease - while it could be used to anticipate radiological response or to guide radiological monitoring of a patient disease. This approach might of particular interest also in tumor histotypes different from colorectal cancer who lack validated serum markers for disease monitoring.

Considering that the assessment of baseline VAF is easy and rapid, this marker has translational relevance and several potential clinical applications: first, it might be used as a stratification factor for future randomised trials or as a selection criterion to guide patients' enrolment in trials on intensified upfront regimens, as done in the VISNU-1 trial in patients with 3 or more baseline circulating tumor cells4; second, post-hoc analyses of randomised studies investigating FOLFOXIRI-based regimens5, 6 might reveal a predictive role of ctDNA burden and, reasonably, a relatively higher benefit of chemotherapy intensification in the high VAF subgroup.

In the expanding scenario of liquid biopsy, we look forward for external validations of our approach for disease burden estimation in patients with metastatic cancers, possibly implementing matched tumor sequencing for the enrichment of cfDNA panels with individually mutated genes or combining the total amount of cfDNA with relative tumoral DNA abundance.

 REFERENCES

  1. S. Lonardi, C. Montagut, F. Pietrantonio, E. Elez, A. Sartore-Bianchi, N. Tarazona et al. The PEGASUS trial: Post-surgical liquid biopsy-guided treatment of stage III and high-risk stage II colon cancer patients. Journal of Clinical Oncology 2020 38:15_supplTPS4124-TPS4124
  2. J. Tie, I. Kinde, Y. Wang, H.L. Wong, J. Roebert, M. Christie et al. Circulating tumor DNA as an early marker of therapeutic response in patients with metastatic colorectal cancer. Ann Oncol. 2015 Aug;26(8):1715-22. doi: 10.1093/annonc/mdv177. Epub 2015 Apr 7.
  3. F. Pietrantonio, F. Morano, S. Corallo, R. Miceli, S. Lonardi, A. Raimondi et al. Maintenance Therapy With Panitumumab Alone vs Panitumumab Plus Fluorouracil-Leucovorin in Patients With RAS Wild-Type Metastatic Colorectal Cancer. JAMA Oncol. 2019 Sep 1;5(9):1268-1275. doi: 10.1001/jamaoncol.2019.1467.
  4. E. Aranda, J. M. Viéitez, A. Gómez-España, S. Gil Calle, A. Salud-Salvia, G. Begoña et al. FOLFOXIRI plus bevacizumab versus FOLFOX plus bevacizumab for patients with metastatic colorectal cancer and ≥3 circulating tumour cells: the randomised phase III VISNÚ-1 trial. ESMO Open. 2020 Nov;5(6):e000944
  5. B. Borelli, R. Moretto, S. Lonardi, A. Bonetti, C. Antoniotti, F. Pietrantonio et al. TRIPLETE: a randomised phase III study of modified FOLFOXIRI plus panitumumab versus mFOLFOX6 plus panitumumab as initial therapy for patients with unresectable RAS and BRAF wild-type metastatic colorectal cancer. . ESMO Open 2018 Jul 9;3(4):e000403.
  6. C: Cremolini, C. Antoniotti, D. Rossini, S. Lonardi, F. Loupakis, F. Pietrantonio et al. Upfront FOLFOXIRI plus bevacizumab and reintroduction after progression versus mFOLFOX6 plus bevacizumab followed by FOLFIRI plus bevacizumab in the treatment of patients with metastatic colorectal cancer (TRIBE2): a multicentre, open-label, phase 3, randomised, controlled trial. Lancet Oncol. 2020 Apr;21(4):497-507.

Please sign in or register for FREE

If you are a registered user on Research Communities by Springer Nature, please sign in