Colossal barocaloric effects near room temperature in plastic crystals of neopentylglycol
Published in Electrical & Electronic Engineering
The very first steps of this work took place about thirty years ago during the PhD Thesis of Prof. Tamarit, when he acquired expertise on high-pressure thermodynamics and solid-solid phase transitions of plastic crystals. At that time such compounds were attracting interest for thermal storage applications, and it was difficult to imagine that three decades later they would return to the cutting edge of research. Ten years ago, already as a group leader specialized in high-pressure calorimetry, he confluenced with the expertise in magneto- and elastocaloric effects of Prof. Mañosa, an old friend and former classmate, who conceived driving caloric effects by pressure in Heusler alloys. The convergence of their complementary knowledges and lab capabilities led to the resurgence of the field of barocaloric effects in the solid state referred in the seminal paper in Nature Materials 9, 478 (2010) (at present, the most cited reference in the field). After several joint barocaloric studies focused on magnetocaloric compounds, Prof. Tamarit finally recovered plastic crystals from his storehouse of memories and realized that these compounds should display an outstanding barocaloric performance. Now, our work and an independent study on the same compound have provided concomitant experimental proof of that hypothesis. Importantly, our work has demonstrated reversible effects that can be implemented in a cyclic device, and has led to a joint 2016 patent that includes other organic materials developed in parallel by the group of Dr. Moya.

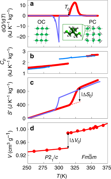
As recognized by the US department of Energy, solid-state caloric effects are among the most promising solutions to replace huge greenhouse power of hydrofluorocarbon fluids used in modern refrigerators, but after decades of intense research there is no feasible Technology available in the market yet. A review paper on calorics encompassed the question “Is there light at the end of the tunnel?” in its title. Thermal changes driven by magnetic and electric fields are still uncompetitive for fridges and air conditioning, and only elastocaloric effects are making significant improvements. In parallel, the newer field of barocaloric effects can be revolutionary as it takes advantage of a wide range of materials that appear to be unuseful or limiting under other external fields. For instance, barocaloric performance has mostly overcome electrocaloric and magnetocaloric performances in ferroelectric and magnetostructural materials, respectively. Other systems as diverse as superionic conductors, spin crossovers and hybrid perovskites have also shown excellent barocaloric performances. But plastic crystals could make the difference as, for the first time, refrigerating capacities in the solid state reach comparable values to current harmful fluids, which exceed previously reported materials in almost one order of magnitude. The clue lies in the huge exchange of heat across a first-order transition mainly originating in the freeing of orientational motion of molecules whose centers of mass remain in the crystal lattice nodes, which permits this mesophase to mechanically behave as solid phase.
In the light of the rapid progress of the field of barocaloric effects, time has now arrived to demonstrate technical viability with a proof-of-concept and, for this, we encourage companyies to get involved on this fascinating subject. In turn, this will help to refine the search for optimal materials, likely within plastic crystal families. Let us see what future awaits us.
Follow the Topic
-
Nature Communications
An open access, multidisciplinary journal dedicated to publishing high-quality research in all areas of the biological, health, physical, chemical and Earth sciences.
Related Collections
With Collections, you can get published faster and increase your visibility.
Women's Health
Publishing Model: Hybrid
Deadline: Ongoing
Advances in neurodegenerative diseases
Publishing Model: Hybrid
Deadline: Mar 24, 2026
Please sign in or register for FREE
If you are a registered user on Research Communities by Springer Nature, please sign in