Contact tracing is an imperfect tool for controlling COVID-19 transmission

Contact tracing has the benefit of only affecting those that are at a higher risk of infection. However, it hasn't worked well in the UK. In this modelling study we examined why contract tracing has been ineffective and found that the populations adherence to the scheme is the most important factor.

Published in Healthcare & Nursing

Like

Share this post

Choose a social network to share with, or copy the URL to share elsewhere

This is a representation of how your post may appear on social media. The actual post will vary between social networks

For many, the enduring memory of the coronavirus (SARS-CoV-2) pandemic will be the strict, nationwide lockdowns. These lockdowns were introduced as last resorts after other interventions, failed to control the spread of the virus. Prior to the availability of vaccines, contact tracing was an important tool in the public health policy toolbox. It was used, seemingly quite effectively, in the early stages of the pandemic in China and South Korea, but was less effective in other . It is different to lockdowns and social distancing in that it specifically targets individuals that are known to be at a higher risk of infection and also aims to control transmission in a way which disrupts only those who have been in close contact with someone known to be infected with the virus, contrasting with the large-scale impact of a lockdown. Furthermore, contact tracing has a long history in public health and is a core element of tuberculosis and sexual-transmitted disease control. However, the reasons for its limited impact in the UK and elsewhere are still under investigation.

How does contact tracing work?

The process of contact tracing starts when an individual tests positive for coronavirus. Then, the people that the infected individual has been in contact with for the previous few days are identified and asked to self-isolate. The hope is that if the close contacts have contracted the virus, they won’t themselves pass it on as they are in isolation. Unlike recommendations for people to stay home if they have symptoms of coronavirus, this process can block transmission by people who do not yet have symptoms. While the overall idea is quite simple, the implementation and details of such are system are varied and complex. Do you identify close contacts by asking for their names or with an app? How do you ensure they stay at home?

A schematic showing the stages of contact tracing. The index case self-reports and gives information on their contacts. The contracts are then asked to isolate. Some contacts will isolate when asked, and some of those will isolate for the full duration. Finally isolating contacts are sometimes allowed to leave isolation on the return of a negative test.
Image from https://royalsocietypublishing.org/doi/full/10.1098/rstb.2020.0270

It has become clear during the pandemic that contact tracing is not performing particularly well in the UK. An analysis by the Department for Health and Social Care found that contact tracing had reduced the R number (the number of new infections caused by each infected person) by between 2% and 5%. Factors such as delays in the system, poor integration with local authorities and low adherence to isolation rules have been suggested as reasons for this poor performance. At the same time, it isn’t clear how effective it is reasonable to expect the system to be. Many people infected with coronavirus are asymptomatic and a large proportion of transmission occurs before symptoms develop. Furthermore, the airborne nature of transmission makes it difficult to define what should and should not count as a close contact, especially compared to sexually transmitted diseases for example. Therefore it is important to identify what factors are causing the poor performance of contact tracing, what needs to be improved, and how effective we can hope for the system to be in the case of excellent implementation.

What factors are the most important for effect contact tracing?

In this study, co-led by Dr Emma Davis, we used computer simulations to model the spread of coronavirus and the contact tracing system. We found that adherence to self-isolation and self-reporting of symptoms were the most important factors affecting the performance of the contact tracing system. Importantly, in the presence of realistically low levels of adherence and self-reporting, improving other factors such as the proportion of contacts successfully identified had little effect. If sick people aren’t entering the system in the first place there’s only so much the contact tracers can do. Similarly, self-isolation is the only step that directly prevents transmission; you can run as many tests, and record as many contacts as you like, but until people actually stay at home, the system cannot reduce the rate of spread. This is a significant problem given that  only one in five people requested a test when they had symptoms. Therefore, improving adherence to the track and trace system is the most important change governments can make. Introducing programs such as financial aid for those having to isolate and increasing trust between leaders and the population, by ensuring politicians also follow guidelines, are the sorts of interventions that may increase these adherence rates.

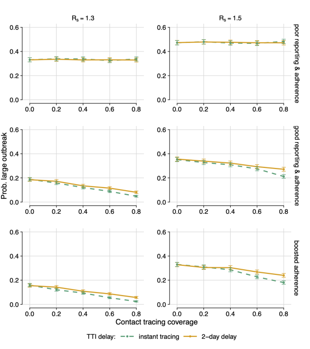
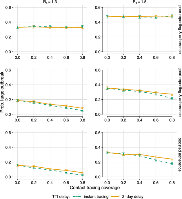
Plots of probability of a large outbreak in our simulations versus the R number, contact tracing coverage, adherence and delays in the testing system.
If adherence is low (top panels) neither contact tracing coverage (proportion of close contacts identified, x axis in each plot) nor tracing delays (line colour) affects the probability that a few cases of coronavirus will spread and infect thousands of people.

At moderately high levels of compliance, we found that improving other elements of the system can also improve the effectiveness of contact tracing. Highly sensitive tests also make the system more effective, as does successfully identifying and contacting a large proportion of close contacts. Reducing delays in the system can help, but using a faster but less sensitive test (such as lateral flow tests) does not. Interestingly, these factors were a bigger focus of media attention at the beginning of the pandemic, presumably because they are more directly under the control of the track and trace system. Overall, in the presence of good adherence, we found that a well implemented track and trace system might reduce the R number by around 15%. While any reduction in R is a good thing, this value suggests that contact tracing cannot control coronavirus on its own and must be used in conjunction with other interventions.

This analysis was performed by running many simulated coronavirus epidemics under a number of scenarios of contact tracing effectiveness. In the simulation we included a number of details of coronavirus epidemiology. We included a latent period between an individual being infected and becoming infectious. We allowed 50% of individuals to be asymptomatic and those individuals that did experience symptoms did so after an incubation period. We also modelled the fact that each person may infect different numbers of people; a large proportion of individuals in our simulations infected either zero or one other person, but a few were so called superspreaders that infected five, ten or more individuals.

We also included many of the details of the test and trace system including delays between someone testing positive and theirs contacts being asked to isolate, and the fact that isolated individuals can stop isolating after a negative test (which may have been a false negative). To choose the level of adherence we should use in our various scenarios we used a recent large survey. An important aspect of surveys on behaviour is that people tend to be optimistic about how well they would comply if asked to isolate in the future, while asking people what they actually did in the past gives a more realistic picture. For our low adherence scenario we used what people actually did in the past. For our high adherence scenario we used what people claimed they intended to do.

Much of the computer code used to run the simulations was adapted from that written for a previous study by Hellewell et al. (2020). The fact that they made their code openly available meant we could rapidly get our simulations running. This work was organised by the RAMP initiative, that meant we knew the questions that policy makers needed answers to. These two facts combined meant we could rapidly conduct useful analyses and report the results to policy makers via SPI-M, a UK government advisory body.

What role does contact tracing have in the future?

Now that we have vaccines that have been tested and proved safe and effective, one might ask what the role of contact tracing is. Firstly, it must be noted that while contact tracing focusses on individuals at higher risk of infection, it still results in many uninfected people isolating. These societal costs relative to the epidemiological benefits must be re-evaluated as vaccines change the relationship between transmission and severe illness. Meanwhile, it is also important to remember that much of the world still has low vaccine coverage, and in these areas contact tracing will remain important. Furthermore, given that the vaccines are imperfect, we can continue to use contact tracing to reduce the burden of coronavirus as the virus becomes endemic rather than epidemic. Finally, one of the take home messages from this pandemic was that the world was underprepared for a pandemic; studies like this will help us respond more effectively during future pandemics.

 Overall, contact tracing remains an important intervention, with fewer societal costs than lockdowns or long periods of social isolation. The fact that it is a targeted intervention allows it to be useful, without effecting every individual in a country. However, with a virus like coronavirus, it is not easy to set up an effective national system but our study has shown that contact tracing can have a small but worthwhile effect in reducing transmission. Most importantly, contact tracing relies on the adherence of the population. There are specific policies such as economic support for people that are isolating that will improve adherence. But other factors such as trust in politicians and public health workers are harder to encourage at short notice once a pandemic has already started.

Please sign in or register for FREE

If you are a registered user on Research Communities by Springer Nature, please sign in

Follow the Topic

Health Care
Life Sciences > Health Sciences > Health Care

Related Collections

With Collections, you can get published faster and increase your visibility.

Women's Health

A selection of recent articles that highlight issues relevant to the treatment of neurological and psychiatric disorders in women.

Publishing Model: Hybrid

Deadline: Ongoing

Biosensing

With this cross-journal Collection, the editors of Communications Biology, Nature Biomedical Engineering, Nature Sensors, Nature Communications, and Scientific Reports welcome the submission of primary research Articles focusing on the development of engineered biosensing devices with the potential to be applied in biomedical research and in the management of disease conditions.

Publishing Model: Hybrid

Deadline: Jun 30, 2026