Diminishing control of evaporation on rising land surface temperature of the Earth
Published in Earth & Environment and Sustainability
Improving water availability on the land and in the soil via planned large scale water redistribution systems as well as land use and land cover changes1 may be effective ways of mitigating increasing land surface temperatures due to global warming. A model-independent tool that can predict the expected drop in land surface temperature due to sought-for increases in evaporation rates (including transpiration of the vegetation) may be helpful when considering such interventions.
In our study we borrow certain building blocks from our earlier work in which land evaporation rates are estimated using a minimum number of meteorological variables, such as air pressure, air temperature, wind speed, net radiation, and some humidity measure of the air. As it turns out, an adiabatic approach (when a constant energy, Qn, at the land surface is fully consumed by evaporation or heat conduction into the air) on a monthly time-step and spatial resolution of a few square-kilometers (or coarser), yields reliable evaporation estimates2 globally.
An adiabatic approach entails that humidity of the air is tied to its temperature (T), either at the surface or near to it (e.g., 2-m above the ground). Humidity of the air can be expressed by the partial pressure of the water vapor in the air, called shortly as vapor pressure (e). During drying and wetting phases of the land under constant available energy at the surface (net radiation less heat conduction into the soil, the latter often negligible at a daily or longer temporal averaging), the (e, T) value pairs (at or near the surface) move along (quasi) straight and parallel trajectories (Fig. 1).

Fig. 1: Sample air and surface isenthalps. The air isenthalp is for the wet-bulb of the aspirated psychrometer with zero available energy (Qnwb) at its surface. Twb is the wet-bulb while Tswet is the wet-surface temperature, the lowest temperature values the relevant surfaces can attain by evaporative cooling under isenthalpic (adiabatic under constant air pressure) conditions. The (e, T) value pairs (where the latter is the air temperature measured at the same height from the ground as Twb) also traverse the air isenthalp during wetting/drying cycles, but air temperature seldom reaches Twb due to large-scale entrainment of drier free tropospheric air into the surface boundary layer. Note that e is not measured, as the T and Twb values already determine it. The dry-environment temperature values (Tdry and Tsdry) are reached theoretically when the surface becomes completely devoid of moisture, i.e., es = e = 0, but large-scale horizontal advection of cooler air (with non-zero humidity) typically prevents it from occurring, yielding suppressed Tdry and Tsdry values and a near-vanishing vertical change for e > 0. During isenthalpic conditions (Qn is constant) the (e, T) value pairs can only move along the respective (air and surface) isenthalp of slope -γ. Here γ = 0.65 hPa °C-1.
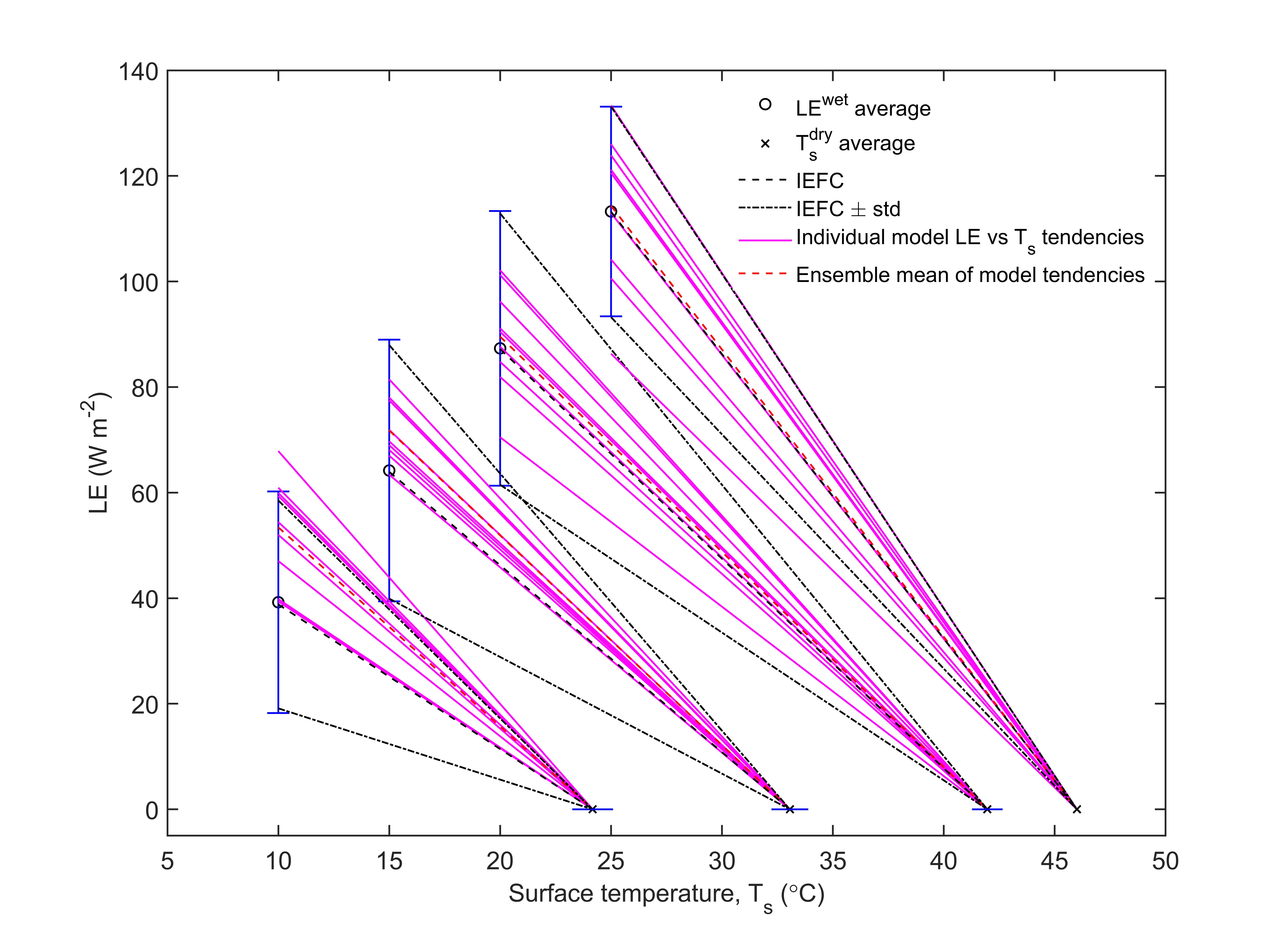
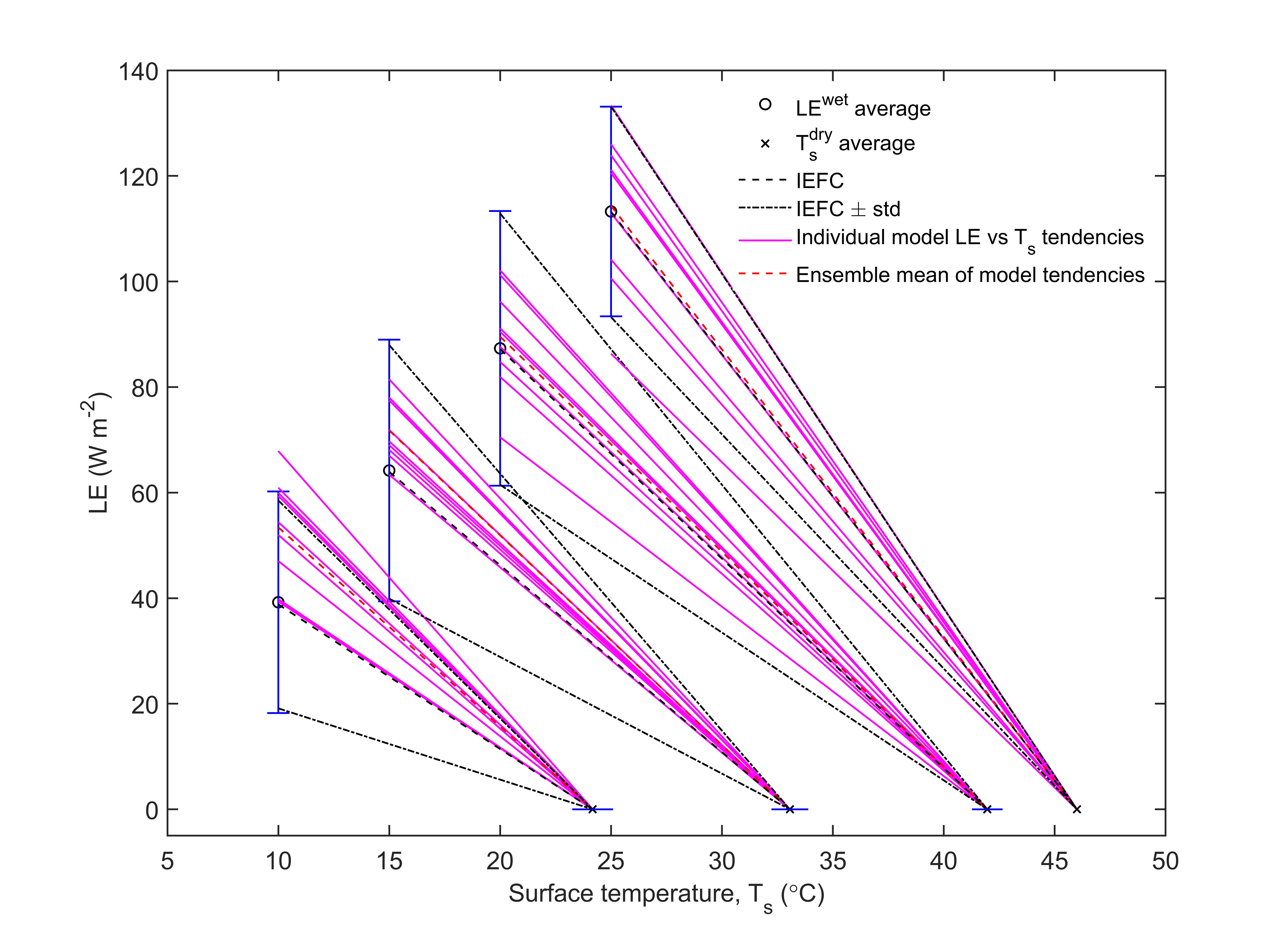
The surface isenthalp can be transformed into a representative land evaporation (LE) vs surface temperature (Ts) trajectory, by knowing the evaporation rates at the endpoints of the former. These, however, are known, as evaporation is negligible when the surface moisture is negligible, and it is the so-called Priestley-Taylor evaporation rate3 for a wet surface of considerable spatial extent (see above). As it turns out, the resulting evaporation vs surface temperature lines (Fig. 2) have increasing slopes with available energy at the surface, or more precisely, with the consequent increase in wet-surface temperature (Tswet). Fig. 2 demonstrates four of these lines starting at Tswet = 10, 15, 20, and 25 °C and sloping toward zero at the corresponding dry-surface temperature.

Fig. 2: Graphical representation of isenthalpic cooling/warming of the land surface due to changes in monthly evaporation (LE) rates. Isenthalpic theory: black dashed line. Model-obtained LE vs Ts relationships: cyan line. The isenthalp-specific energy flux capacity (IEFC) of the land surface is the average slope of the LE vs Ts relationship for a given Tswet value and generally increases with the energy available at the surface for evaporation and heat conduction into the air. IEFC is obtained as the sample average of the LEwet(Tswet – Tsdry)-1 ratios coming from 0.5° grid-cells that are selected for a given target Tswet value of 10, 15, 20, or 25 °C. A cell is selected, provided its estimated wet-surface temperature is within 1% of the prescribed Tswet value. The wet-environment evaporation rate, LEwet, for the selected cell then comes from the Priestley-Taylor equation3 while the dry-surface temperature, Tsdry, from the corresponding surface isenthalp. The whiskers denote the mean and standard deviation of the ensuing LEwet and Tsdry values. Model results represent nine monthly 0.5° global models.
As seen, global evaporation models (three remote-sensing based, three reanalyses, two land-surface models and a hydrological one) generally back up our LE vs Ts estimates. The remote-sensing based models agree the most strongly with our model-independent results.
The increasing slope of these LE vs Ts trajectories, however, have some serious consequences. Firts, under large Qn (i.e., Tswet = 25 °C, hot summer conditions in mid-latitudes) the amount of evaporated water needed to cool the land surface by 1 °C is about double the amount under small Qn (Tswet = 10 °C, typical spring/autumn conditions in mid-latitudes). Second, as a consequence, the larger the average Qn due to global warming, the more water is needed to evaporate for the same cooling rate. Today an estimated 5 ± 3% of extra water may be needed to evaporate globally for the same cooling effect as before the industrial era when near-surface air temperature over land was about 1.5 °C cooler on average. This may exacerbate water shortages in arid/semi-arid regions of the world where water availability is already critical and gets only worse as global warming continues.
In summary, the LE vs Ts trajectories (i.e., IEFC lines) of Fig. 2 may help in estimating the surface cooling effects of planned/existing large scale changes in i) water availability (e.g., in the form of irrigation projects), as well as; ii) land use and/or land cover (e.g., reforestation), as demonstrated by a case study example in our study. The same trajectories can be included in existing/future climate models as additional constraints in their land surface components, just to name a few possible practical applications.
References
1Alibakhshi, S., Cook-Patton, S.C., Davin, E. et al. Natural forest regeneration is projected to reduce local temperatures. Commun Earth Environ 5, 577 (2024). https://doi.org/10.1038/s43247-024-01737-5
2Ma, N., Szilagyi, J., Zhang, Y. Calibration-free complementary relationship estimates terrestrial evapotranspiration globally. Water Resour Res 57(9), e2021WR029691 (2021). https://doi.org/10.1029/2021WR029691
3Priestley, C. H. B. & Taylor, R. J. On the assessment of surface heat flux and evaporation using large-scale parameters. Month Weather Rev 100(2), 81-92 (1972).
Follow the Topic
-
Communications Earth & Environment
An open access journal from Nature Portfolio that publishes high-quality research, reviews and commentary in the Earth, environmental and planetary sciences.
Related Collections
With Collections, you can get published faster and increase your visibility.
Climate extremes and water-food systems
Publishing Model: Open Access
Deadline: May 31, 2026
Drought
Publishing Model: Hybrid
Deadline: Jun 30, 2026
Please sign in or register for FREE
If you are a registered user on Research Communities by Springer Nature, please sign in